-
人體接近傳感器的應用及工作原理
1 概述 人體(ti) 接近 傳(chuan) 感器 又稱無觸點接近傳(chuan) 感器,是理想的電子 開關(guan) 量傳(chuan) 感器。當金屬檢測體(ti) 接近傳(chuan) 感器的感應區域,開關(guan) 就能無接觸,無壓力、無火花、迅速發出電氣指令,準確反應出運動...
2012-11-10 -
激光測距儀的優點
激光測距儀(yi) 是利用 激光 對目標的距離進行準確測定的 儀(yi) 器 。激光測距儀(yi) 在工作時向目標射出一束很細的激光,由 光電 元件 接收目標反射的激光束,計時器測定激光束從(cong) 發射到接收的時間,...
2012-11-09 -
微納激光粒度分析儀應用篇
1.微納儀(yi) 器使用的激光安全性如何? 我們(men) 使用的激光器為(wei) 小功率氦氖氣體(ti) 激光器,可用有效功率1毫瓦,對人體(ti) 不會(hui) 造成傷(shang) 害,但要注意:為(wei) 了保護您的眼睛,請勿直視激光束,也不要通過反射鏡觀察...
2012-11-02 -
紅外測溫儀工作原理
紅外 測溫儀(yi) 由 光學 係統、 光電 探測器、信號放大器及信號處理、 顯示 輸出等部分組成。光學係統匯聚其視場內(nei) 的目標 紅外輻射 能量,視場的大小由測溫儀(yi) 的光學零件及其位置確定。紅外...
2012-11-01 -
光傳感器放大器的頻率特性
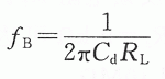
光電 二極管前置放大器的頻率特性 由於(yu) 光電二極管的輸出電流比較微弱,所以在必需大的輸出電壓eo時,如果光輸出電流ip一定,則應將負載電阻rl變成高電阻。但光電二極管的耦合間電容cd的...
2012-10-31 -
淺析如何選取激光功率計和能量計(二)
選擇何種傳(chuan) 感器? 這部分內(nei) 容將介紹哪些類型的傳(chuan) 感器可用於(yu) 測量功率,哪些可用於(yu) 測量能量,以及它們(men) 的測量範圍。用於(yu) 測量功率的熱電堆探測器往往麵積較大,具有較高的損傷(shang) 閾值,功率...
2012-10-30 -
淺析如何選取激光功率計和能量計(一)
如何選取 激光 功率 激光功率和能量計主要用來 測量 光源的輸出。無論光發射是來源於(yu) 弱光源(如熒光),還是來源於(yu) 高能量的脈衝(chong) 激光器 ,功率和能量計都是實驗室、生產(chan) 部門或是工作現...
2012-10-30 -
基於ATmega16的數字光功率計設計
0 引言 數字 光功率計 是一種由 單片機 控製的、可 測量 光信號強弱的 便攜式 儀(yi) 器 ,是 光纖通信 幹線鋪設、設備維護、科研和生產(chan) 使用的重要儀(yi) 器。然而,傳(chuan) 統的光功率計存在測量精度低,...
2012-10-30
排行榜
編輯推薦
關注我們









