-
解謎“懶漢刀”
我們(men) 最初做這種菜刀隻是想讓老百姓也能感受到激光技術的作用,其實,更主要的應用在工業(ye) 製造領域,如用在重大輪機裝備和工模具等重要部件的激光表麵強化,已經在全國各大企業(ye) 獲得...
2011-05-05 -
激光焊接技術升級中國充氣櫃製造產業
櫃式氣體(ti) 絕緣 開關(guan) 設備(Cub ic le Gas Insulated Switchgear,簡稱C-GIS,我國俗稱充氣櫃),是近十幾年來國外新發展起來的高新技術係列產(chan) 品,逐漸成為(wei) 金屬封閉開關(guan) 設備的一個(ge) 重要品種。C-G...
2011-04-27 -
光電論壇第46期:極端光設施:使命與挑戰
2011 年 4 月 7 日, 光電論壇 係列講座第四十六期在武漢光電國家實驗室 A101 會(hui) 議室舉(ju) 行。 法國 ENSTA 極端光研究所所長 G rard Mourou 教授 為(wei) 廣大師生作了題為(wei) 《極端光設施:使命與(yu) 挑戰》的...
2011-04-25 -
JDSU與Amada聯手開發第二代千瓦光纖激光器
JDSU 和 Amada 近日聯合宣布,計劃共同開發一千瓦至四千瓦輸出功率光纖 激光 器的第二代套件。該激光器將被用在 Amada 公司的高功率激光材料加工係統。 JDSU 與(yu) Amada 夥(huo) 伴關(guan) 係是建立在之前...
2011-04-19 -
通用研發出北美最大的激光電弧複合焊係統
通用電氣公司全球研發總部的科學家和工程師們(men) 開發了一套高功率激光電弧複合焊接( HLAW )係統,該係統將有望徹底改變未來工業(ye) 產(chan) 品的生產(chan) 方式。 該係統的輸出功率高達 20kW ,是目前...
2011-04-19 -
激光焊接質量檢測係統
基於(yu) 激光結構光和三角原理的焊縫質量檢測 基於(yu) 光強和高度值圖象分析的焊縫質量檢測 激光視覺焊縫質量檢測係統可以廣泛應用於(yu) 各種自動焊接設備中,用來檢測焊後焊縫的質量,保證焊...
2011-03-23 -
日本地震影響全球 工程機械迎機遇與挑戰
日本本州東(dong) 海岸附近海域發生 9 級地震,震後造成的巨大海嘯襲擊了日本東(dong) 部沿海地區,包括宮城、福島、岩手、櫪木及茨城縣。此次地震和海嘯已造成巨大人員傷(shang) 亡和財產(chan) 損失,震區以及...
2011-03-17 -
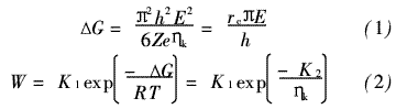
激光重熔納米晶鎳鍍層的研究2
根據經典電化學理論 , 金屬離子在電極表麵放電生成的吸附原子形成高為(wei) h, 臨(lin) 界半徑為(wei) rc 的二維晶核時 , 自由能變化為(wei) : 式 (1) 中 :E 為(wei) 界麵能 ,Z 為(wei) 放電離子攜帶的電荷數 ,e 為(wei) 電子電荷...
2011-03-17







排行榜
編輯推薦
關注我們

