-
用於激光誘導光譜分析的激光器研製成功
北京國科世紀激光技術有限公司(以下簡稱:國科激光)研製生產(chan) 的Pathfinder300係列燈泵激光器可廣泛應用於(yu) 光譜分析、光化學反應、流場顯示、激光測距、激光清洗及可調諧激光器泵浦等領域...
2011-10-31 -
VA液晶顯示器光程差測量方法分析
引言 隨著液晶顯示器的不斷發展,對顯示對比度提出了更高的要求。使用垂直排列的液晶顯示器即VA 液晶顯示器,可以更好地減少底部漏光,更大地提高顯示對比度。VA 液晶顯示器盒內(nei) 液晶分...
2011-10-27 -
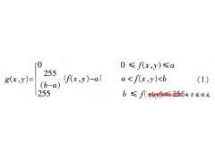
基於FPGA的彩色圖像增強係統設計
在從(cong) 圖像源到終端顯示的過程中,電路噪聲、傳(chuan) 輸損耗等會(hui) 造成圖像質量下降,為(wei) 了改善顯示器的視覺效果,常常需要進行圖像增強處理。圖像增強處理有很強的針對性,沒有統一的*價(jia) 標準,...
2011-10-27 -
PCB板布局簡單規則
這幾天還是關(guan) 注一些簡單入門的東(dong) 西吧,主要介紹一些PCB中一些建議規則 1.我們(men) 要注意貼片器件(電阻電容)與(yu) 芯片和其餘(yu) 器件的最小距離芯片:一般我們(men) 定義(yi) 分立器件和IC芯片的距離0.5~0.7mm,...
2011-10-27 -
1X5/1X5c雙向精密自準直儀
...
2011-10-26 -
S2WA-Z數字阿貝折射儀
...
2011-10-26 -
快捷的傳感器係統設計方案
前言 截至目前為(wei) 止,基於(yu) 傳(chuan) 感器 的應用設計要求為(wei) 每一個(ge) 係統量身定製優(you) 化的模擬解決(jue) 方案。這類設計工作少則數天,多則幾個(ge) 星期,往往涉及很多環節,包括選擇相關(guan) 組件並建立原型,以...
2011-10-26 -
MEMS慣性感測的技術變革
引言 雖然自微電子機械係統技術(MEMS)第一次被用於(yu) 安全氣囊和汽車壓力傳(chuan) 感器領域,至今已有20年左右,但真正讓人們(men) 更了解慣性傳(chuan) 感器的用途,卻是任天堂Wii和蘋果iphoness的熱銷,因為(wei) 這些產(chan) ...
2011-10-25







排行榜
編輯推薦
關注我們

