在從(cong) 圖像源到終端顯示的過程中,電路噪聲、傳(chuan) 輸損耗等會(hui) 造成圖像質量下降,為(wei) 了改善顯示器的視覺效果,常常需要進行圖像增強處理。圖像增強處理有很強的針對性,沒有統一的*價(jia) 標準,從(cong) 一般的圖片、視頻欣賞角度來說,濾除噪聲、擴展對比度、銳化以及色彩增強等處理能顯著提升視覺效果。
這裏設計一個(ge) 基於(yu) FPGA的實時視頻圖像處理係統,包含增強對比度擴展和色飽和度兩(liang) 種處理方法,相比於(yu) DSP和ASIC方案來說,FPGA在性能和靈活性方麵具有絕對優(you) 勢,應用FPGA設計視頻通信係統更普遍。
1 原理和算法
圖像增強處理可以在頻域和空間域進行,典型的頻域方法如直方圖增強處理,適合於(yu) 軟件係統實現;而硬件係統更適合於(yu) 空間域處理,因此本文所述的處理方法都將在空間域進行。
1. 1 對比度擴展
對比度擴展又稱灰度變換,其目的是在拓展感興(xing) 趣的灰度區間的同時,壓縮不感興(xing) 趣的灰度區間。最簡單有效的方法是線性變換,滿足以下關(guan) 係:

f(x,y)和g(x,y)分別表示輸入圖像和輸出圖像的灰度值。經過變換,線性拉伸了在a~b內(nei) 的灰度值,同時對[0,a]和[b,255]灰度區間進行抑製。從(cong) 顯示設備的角度來說,一般民用級別的顯示器都不具備完美表現256灰階的能力,因此抑製過暗[0,a]和過亮[b,255]的灰度區間而增強中間區域的動態範圍,可以避免灰階的浪費。從(cong) 另一個(ge) 角度來講,通常一幅圖像所包含的過暗和過亮的像素點本來就是少數,有目的有針對性地擴展中間範圍灰度而壓縮兩(liang) 頭的灰度,可增強圖像質量,得到更好視覺效果,而圖像信息的損失卻很小。
1.2 色彩增強
色彩增強的目的是在保證顏色不失真的前提下,有針對性地增加圖像的色彩飽和程度,使其看起來更鮮豔生動,層次感更強。
1.2.1 HSI模型簡介
在彩色圖像處理中,RGB、YCbCr、CMYK等是常用的色彩模型,其算法和相互間的轉換很易用硬件實現,但是它們(men) 都不能很好適應實際上從(cong) 人的角度來解釋的顏色。
研究表明,從(cong) 人的角度來觀察一個(ge) 彩色物體(ti) 時,一般用色調、色飽和度和亮度這3個(ge) 參量來描述該物體(ti) 。色調描述純色的屬性,而飽和度給出一種純色被白光稀釋的程度的度量。亮度即圖像的明暗程度,是一個(ge) 主觀的描述量。基於(yu) 這3個(ge) 參量建立的HSI彩色模型是開發基於(yu) 彩色描述的圖像處理方法的理想工具。下麵簡單闡述HSI模型的原理。

圖1所示是一個(ge) RGB彩色空間的立方體(ti) 模型,邊長歸一化為(wei) 1,原點處為(wei) 黑色,相對的頂點處為(wei) 白色。連接黑白兩(liang) 點得到灰度軸,這根軸上的飽和度為(wei) 0,即沒有彩色分量。在灰度軸上有相同投影點的點具有相同的亮度,即垂直於(yu) 灰度軸的平麵內(nei) 的點具有相同的亮度值。
在立方體(ti) 內(nei) 任取一點P,它與(yu) 灰度軸確定一個(ge) 平麵。根據顏色學的理論,所有顏色都是由位於(yu) 那些顏色定義(yi) 的三角形內(nei) 的3種顏色產(chan) 生的,在這個(ge) 平麵內(nei) ,三角形的3個(ge) 頂點分別是黑色、白色和P的顏色,而黑色和白色是不能改變色調的,所以這個(ge) 平麵內(nei) 的點具有與(yu) P點相同的色調,即等色調麵。直觀地說,越靠近灰度軸的點,顏色越淡,所以色飽和度的定義(yi) 就是該點與(yu) 灰度軸的距離:距離越遠,飽和度越強;距離越近,飽和度越弱;距離為(wei) 0則飽和度也為(wei) 0,這時就完全沒有彩色。
實際上,用垂直於(yu) 灰度軸的平麵內(nei) 的彩色點軌跡來表示HSI空間(等亮度麵)。當平麵沿灰度軸上下移動時,由於(yu) 立方體(ti) 邊界的切割而構成的橫截麵所決(jue) 定的邊界呈三角形或呈六邊形。這裏以六邊形為(wei) 例,如圖2所示。

由圖2看出,三原色是按120°分割的,青、品紅和黃被稱為(wei) 二次色,也是按120°分割,一次色與(yu) 二次色之間相隔60°。圖中任給出一點Q,若以紅軸作參考,則Q向量與(yu) 紅軸的夾角H決(jue) 定其色調,而向量長度S決(jue) 定其飽和度,整個(ge) 平麵在灰度軸上的位置決(jue) 定了平麵內(nei) 所有點的亮度I。於(yu) 是得到由RGB到HSI的轉換關(guan) 係:

1.2.2 色飽和度增強算法
HSI模型可以方便地對色調和飽和度進行調整,但是其運算比較複雜,很難用硬件來實現。不過根據其原理,可以直接在RGB空間進行色飽和度的調整。這裏假設RGB立方體(ti) 內(nei) 任一點P(r,g,b),容易求出其在灰度軸上的投影點P*

,連接P和P*,這是一條等色調線,如圖3所示。

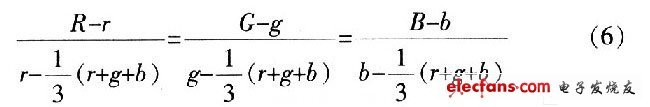
隻要在P*P的延長線上找到合適的點(如P1或P2),就可以對P點的飽和度進行增強。由於(yu) 已知P和P*的坐標,可以求得直線P*P方程:

令式(6)的值為(wei) t,可求得直線P*P的參數方程:

則色飽和度的調整就可通過調整t的取值來實現。當t∈(-1,0)時,得到的點在P*和P之間,飽和度減弱;當t>O時,得到的點在P*P之外,飽和度增強。
2 設計思路
2.1 對比度擴展
用硬件實現浮點運算效率較低,這裏采用查表的方法,在YCbCr空間進行灰度變換,如圖4所示。

2.2 色飽和度增強
色飽和度調整在RGB空間進行,設計為(wei) 流水線操作,如圖5所示。

色飽和度增強是有針對性的,對於(yu) 不同色飽和度的像素要作不同的處理。可以把一幅圖像的色飽和度分為(wei) 4個(ge) 等級,對於(yu) 色飽和度低的像素進行增強處理,而對於(yu) 飽和度很高的像素則不進行處理甚至是抑製處理。圖5所示是進行2級的色飽和度調整的流水線操作:第1級令t=1,運算結果若溢出則轉入第2級調整(t=0.5)。若運算結果還是溢出,則輸出保持原輸入值(iR,iC,iB)。流水線操作使得平均每個(ge) 像素的飽和度調整隻需1個(ge) 時鍾周期就能完成,隻是輸入相對輸出有6個(ge) 時鍾周期的延時。為(wei) 了達到更好的效果,可以增加飽和度調整運算的級數,後果是需要占用更多的硬件資源以及帶來更長的延時。
3 係統結構
該實驗平台為(wei) Ahera公司的DE2開發板。係統結構如圖6所示。
#p#分頁標題#e#
4 測試結果
用ModelSim對灰度變換模塊進行仿真的結果,如圖7所示。對色飽和度增強模塊進行仿真的結果,如圖8所示。

視頻圖像測試對比效果如圖9和圖10所示。


5 結論
由實驗結果可知,該方法能有效改善圖像畫質,提升視覺效果。色飽和度增強處理由於(yu) 其算法的特點,用硬件係統很難做到實時處理。從(cong) 基本原理出發,找到一種比較簡便的,在RGB空間就能進行的色飽和度增強處理方法,在滿足實時性要求的同時,能有效達到色彩增強的目的。但也是由於(yu) 視頻圖像處理的實時性要求以及硬件係統實現的特點,該方法更多地講究效率,某些細節部分還不夠完善,比如色彩失真等問題。進一步研究重點可能就在於(yu) 如何優(you) 化硬件配置以及解決(jue) 算法中浮點運算的問題。
轉載請注明出處。







相關文章
熱門資訊
精彩導讀



















關注我們

