-
山東大學獨辟蹊徑:用水替代激光掃描儀
近日,山東(dong) 大學另辟蹊徑,成功實現用水對3D物體(ti) 建模。傳(chuan) 統的建模方式主要采用激光掃描儀(yi) 和攝像頭對物體(ti) 表麵進行掃描,在光束未達到的地方就無法取樣建模,特別是縫隙、異型孔、微小凸起等結構處,一些透明或其他特殊材料采用傳(chuan) 統方式也不易建模。...
2017-08-16 -
浙江大學課題組發現超快光開關
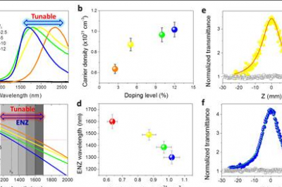
任何材料的光學性質都可以從(cong) 其介電常數導出。我們(men) 知道介電體(ti) 的介電常數大於(yu) 0,而金屬的介電常數小於(yu) 0。當材料的介電常數趨近於(yu) 0時,其光學性質會(hui) 發生許多奇妙的變化。...
2017-08-15 -
Astrella工業級超快激光放大器滿足你的超高要求!
飛秒激光放大器的應用領域極其廣泛,例如, THz 成像、固態研究、細胞生物學和光化學。最近,在超快科學領域的工業(ye) 革命中湧現出了新一代一體(ti) 化超快激光放大器,並且已經完成組裝和測試,能夠提供24/7工業(ye) 級性能。...
2017-08-14 -
國產光纖激光放大器 未來不求人
上海光機所高功率激光單元技術研發中心石英光纖材料課題組,近日在大模場有源光子晶體(ti) 光纖的研製方麵取得了重要進展,成功製備獲得了纖芯直徑大於(yu) 50μm、NA小於(yu) 0.03的大芯徑光子晶體(ti) 光纖,並在皮秒脈衝(chong) 放大器中實現平均功率超過百瓦、單脈衝(chong) 能量大於(yu) ...
2017-08-11 -
上海交通大學:等離子體鏡助力產生固體高次諧波
張傑院士、劉峰特別副研究員帶領的團隊利用上海交通大學的200 TW飛秒激光裝置,研究了激光對比度對固體(ti) 靶表麵高次諧波產(chan) 生的影響。該團隊利用等離子體(ti) 鏡係統把激光主脈衝(chong) 10 ps以前的對比度從(cong) 10-8提高至10-10,成功獲得階次為(wei) 21階的高次諧波。...
2017-08-09 -
美國萊斯大學利用木頭開發出激光誘導石墨烯
據物理學組織網站2017年7月31日報道] 美國萊斯大學研究人員通過改變木頭的表麵,使木頭成為(wei) 電導體(ti) 。研究人員使用激光將薄膜圖案變黑,並置於(yu) 鬆木上。這是一種木頭和納米材料的複合結構。研究成果發表在《先進材料》雜誌。...
2017-08-08 -
科學家驗證40年前中微子預言 50年後或像激光一樣普及
據gizmodo北京時間8月7日報道,物理學家預言了許多他們(men) 希望發生的現象,但在他們(men) 有生之年,這些現象可能都不會(hui) 被發現。例如,一名物理學家就認為(wei) ,在一定條件下,普遍存在但難以探測到的中微子(一種粒子)將能使整個(ge) 原子核發生振蕩。...
2017-08-08 -
木頭+激光=石墨烯?科學家還真做到了!
2014 年的時候,由 James Tour 帶領的該校一支化學家團隊,開發出了一種通過激光加熱聚合物表麵來製造 3D 石墨烯泡沫的工藝,其稱之為(wei) “激光誘變石墨烯”簡稱 LIG 。而現在,他們(men) 又將這項技術用到了最新的研究成果中。...
2017-08-04
排行榜
編輯推薦
關注我們









