-
半導體泵浦電源
常用電源選取案例: 美國 20W 半導體(ti) 泵浦模塊,需要12VDC, 25A,選取電源為(wei) LDD-25-12 (25A, 12V)美國50W 半導體(ti) 泵浦模塊,需要18VDC, 30A,選取電源為(wei) LDD-30-18 (30A, 18V) 美國75W半導體(ti) 泵浦模塊,需要36VDC...
2011-12-26 -
LDD係列半導體激光電源(上)
半導體(ti) 激光器是一種高功率密度並具有極高量子效率的器件,微小的電流變化將導致光功率輸出的極大變化和器件參數(如激射波長、噪聲性能、模式跳動)的變化,這些變化直接影響器件的...
2011-12-26 -
三合一激光電源
在半導體(ti) 側(ce) 泵激光打標機中,通常需要半導體(ti) 激光電源、Q驅和激光打標頭電源,這些單獨的電源體(ti) 積大,致使激光打標機體(ti) 積大,不易搬動。為(wei) 適應市場需求,我司最近成功開發出了三合一激...
2011-12-26 -
DCS係統中UPS的選用及維護
摘 要 :針對DCS 對其供電電源的嚴(yan) 格要求,通過分析在線式靜態交流不停電電源係統UPS 的性能和工作方式,闡明了選用在線式UPS 是DCS 係統的最優(you) 電源保證,並結合曲線圖說明了如何選擇UPS 及其配...
2011-12-26 -
PLC係統與電源係統的整合應用
摘要:為(wei) 保證鐵路交通係統的快速高效的運行,目前鐵路交通係統對信號的電源係統的可靠性要求越來越高,因此鐵路交通係統中信號的電源係統監控的實時監控變得更加重要,本項目為(wei) 此提...
2011-12-26 -
隨著激光技術迅速發展電源企業未來全麵解析
照明行業(ye) 的發展,將給照明電源企業(ye) 帶來更多的商業(ye) 機會(hui) 。那麽(me) ,有哪些機會(hui) 促進會(hui) 促進照明行業(ye) 的發展呢? 城市夜間景觀照明 近年來隨著電子技術、激光技術、全息技術、光纖和導光管技術...
2011-12-26 -
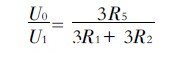
雙管正激小功率電源的設計與實現(二)
由電路圖可知輸入輸出比: 當反饋電壓3 腳從(cong) 0. 5 V~ 3. 5 V 時, 輸出脈寬從(cong) 被死區時間控製輸入端確定的最大導通時間裏下降到零。 3 電源電路 3. 1 電源主電路 從(cong) 圖3 可以看出, 電路結構簡單,...
2011-12-26 -
雙管正激小功率電源的設計與實現(一)
正激變換由於(yu) 拓撲簡單, 升/ 降壓範圍寬, 廣泛應用於(yu) 中小功率電源變換場合。正激變換器的輸出功率不象反激變換器那樣受變壓器儲(chu) 能的限製, 因此輸出功率較反激變換器大, 但是正激變...
2011-12-26
排行榜
編輯推薦
關注我們









