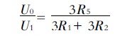
由電路圖可知輸入輸出比:

當反饋電壓3 腳從(cong) 0. 5 V~ 3. 5 V 時, 輸出脈寬從(cong) 被死區時間控製輸入端確定的最大導通時間裏下降到零。
3 電源電路
3. 1 電源主電路
從(cong) 圖3 可以看出, 電路結構簡單, 容易實現, 並在MOSFET 橋臂增加了霍爾傳(chuan) 感器, 以保證輸出反饋電流環的要求。為(wei) 了增加電路的通用性, 設計的電路板增加了雙路輸出的功能, 隻要改變變壓器的設計, 即可以完成多路輸出。當兩(liang) 個(ge) 主功率開關(guan) 管截止時, 原邊繞組的電壓極性相反, 使另外一橋臂的兩(liang) 個(ge) 二極管導通, 電壓被箝位在輸入電壓值。因此開關(guan) 管承受的電壓與(yu) 輸入電壓相同。在輸入電壓最大值低於(yu) 350 V時, 開關(guan) 管隻需要選擇450 V 的耐壓值即可。這裏我們(men) 選用N 溝道MOSFET , IRF830( 4. 5 A/ 500 V) 。
3. 2 直流側(ce) 電壓采樣
隻要合理選擇電阻的參數值,就可以把高壓側(ce) 的輸出電壓降為(wei) 需要的采樣電壓值。
3. 3 流過主電路開關(guan) 管的電流采樣
圖5 中4R1接主電路上的霍爾傳(chuan) 感器, 有效地避免因變壓器原邊電流過流而可能出現燒壞主電路功率開關(guan) 管的現象。為(wei) 此, 必須對流過MOSFET 開關(guan) 管的脈衝(chong) 電流大小進行采樣。當發生過流時, 係統應能夠快速反應做出相應的保護措施。流過MOFET 脈衝(chong) 電流經開環霍爾電流傳(chuan) 感器轉換為(wei) 電壓信號, 再經過簡單RC 濾波和同相比例放大器得到需要的電流采樣值。

3. 4 主控製電路
主控芯片電路如圖6。T L494 的13 腳接到高電平, 運行在推挽輸出模式。10 腳作為(wei) 驅動信號輸出接口, 驅動電流可達500 mA。4 腳外圍電路是軟啟動部分。由於(yu) T L494 內(nei) 部放大器15、1 6、3 腳組成的放大器構成了過流保護電路, 一旦檢測到電流過流, 則3 腳輸出高電平封閉了1、2、3腳組成的放大器。同時, 使得PWM 輸出占空比減少, 保證主電路開關(guan) 管的安全。


反饋電壓的PI 調節部分的LM324 內(nei) 部的一個(ge) 放大器組成的電壓閉環。T L494 的1、2、3 腳組成的內(nei) 部放大器構成了電流閉環。當輸出電壓偏高時, 經過了電壓閉環電路後, ULOOP 變小, 經過了電流閉環後,FB 端口電壓變大, 輸出PWM 脈寬變小, 輸出電壓調低。當變壓器原邊電流增大時, 經過了電流閉環後,FB 端口電壓變大, 輸出PWM 脈寬變小, 電流值減小,可見構成的雙環係統可以穩定的運行。
3. 5 MOSFET 驅動電路
主電路的兩(liang) 個(ge) MOSFET 開關(guan) 管要求同時開通, 同時關(guan) 閉。主控芯片TL494 發出的控製信號, 要一分為(wei) 二來驅動MOSFET。驅動信號經過推挽電路, 再經過脈衝(chong) 變壓器可以很方便的得到一對同相位的控製信號。
4 試驗波形
通過調壓器在供電電源端輸入110 V 的交流電壓, 使得係統穩定的工作在30 V、1 A 的負載下, 觀察TL494 電源芯片輸出的驅動信號波形、MOSFET 開關(guan) 管Ugs、Uds 、負載正常工作時的波形、以及突然加載、突然掉載情況, 其試驗波形如圖7。
5 結束語
開關(guan) 電源最重要的兩(liang) 個(ge) 部分就是DC-DC 變換器和控製電路。文中通過樣機測試表明, 該電路實用可靠, 工作穩定。其不足之處是在提倡環保技術的今天,沒有進行PFC 和軟開關(guan) 技術設計。
轉載請注明出處。








相關文章
熱門資訊
精彩導讀


















關注我們

