摘 要:本文介紹以高速的80C196單片機為(wei) 基礎的多通道氣敏傳(chuan) 感器的高精度參數測定係統。計算機與(yu) 單片機之間采用串口通信,采取軟硬件措施解決(jue) 多通道數字電路開關(guan) 切換所產(chan) 生的幹擾,提高了測量的準確性,安全性,計算機還可以通過串口快速讀取測量數據並加以分析和保存。
關(guan) 鍵詞:氣敏傳(chuan) 感器 濾波器 80C196
1 引言
氣敏傳(chuan) 感器在工業(ye) 及日常生活中有著廣泛的應用,尤其是可燃氣體(ti) 傳(chuan) 感器在防火防爆方麵起著舉(ju) 足輕重的作用,這類傳(chuan) 感器主要用來測定環境中易燃性氣體(ti) 比如氫氣,天然氣,瓦斯等的濃度,通常製成報警器用來對空氣中的可燃氣體(ti) 濃度進行監控,當濃度超過指標時,傳(chuan) 感器就會(hui) 輸出警告信號觸發報警裝置。傳(chuan) 感器參數標定的準確度非常重要,因為(wei) 一旦標定的參數有偏差,那麽(me) 傳(chuan) 感器將會(hui) 在非指定濃度誤報警,報警過早和過遲都是不可取的。為(wei) 準確快速大量的對氣體(ti) 傳(chuan) 感器的參數進行標定,我們(men) 采用80c196單片機結合邏輯電路研製出一套測試精度高,速度快,可與(yu) 計算機通信的多通道氣體(ti) 傳(chuan) 感器參數測試係統。
2 硬件電路設計
多通道氣體(ti) 傳(chuan) 感器參數測試儀(yi) 的硬件電路如圖1所示。采用80c196自帶的A/D轉換器,對標準化的參數電壓進行準確的測量。由於(yu) 一次性要測量的傳(chuan) 感器數量較大,故設計了通道切換控製電路,以便分時測量。為(wei) 提高測試人員的安全性,測試儀(yi) 通過串口與(yu) 計算機進行遠距離的通信,可以方便的使用計算機遠程操作進行傳(chuan) 感器的測試及測量結果的保存和打印。
圖1多通道氣體(ti) 傳(chuan) 感器參數測試儀(yi) 硬件原理圖
計算機主要用於(yu) 控製測試係統以及對數據的分析,整理和保存。測試部分主要包括主控電路和8個(ge) 輔助電路兩(liang) 部分。測試部分的基本結構如圖2所示:
圖2 測試部分電路結構圖
其中,主控電路包括:80c196擴展電路,串行通信電路,分壓網絡和其它輔助電路。單片機通過串行通信接收計算機的命令然後進行指定的操作:測量傳(chuan) 感器和傳(chuan) 送測量結果。主控電路結構如圖3所示:

圖3 主控電路結構圖
輔助電路結構如圖4所示,包含開關(guan) 網絡,用於(yu) 通道切換。由圖可知,每個(ge) 4051邏輯開關(guan) 有8個(ge) 輸入端,一個(ge) 輔助電路可以同時連接64個(ge) 傳(chuan) 感器,故整個(ge) 係統可一次性測量512個(ge) 感器的參數,大大提高了測量效率。

圖4 輔助電路原理圖
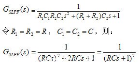
為(wei) 了消除數字係統頻譜混疊,濾除高頻噪聲對控製係統的影響,故在數控係統的傳(chuan) 感器信號前端設計了二階低通抗混疊濾波器。抗混疊濾波器采用壓控電壓源二階低通濾波電路如圖5所示,其傳(chuan) 遞函數為(wei) :

圖5 抗混疊濾波器電路原理圖
3 測試係統軟件設計
單片機通過串口接收上位機的命令進行指定的操作,其軟件流程如圖6所示:

圖6 軟件流程圖
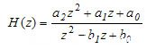
雖然硬件電路已經有抗混疊濾波電路,為(wei) 了進一步提高測試的準確性,加入了軟件濾波。用雙線性變換法設計IIR數字低通濾波器,係統所需數字濾波器的傳(chuan) 遞函數為(wei) :

其中
用matlab計算得到。
4 上位機軟件設計
計算機作為(wei) 上位機,通過串口給單片機發送命令進行測量和讀數操作。其軟件框圖如圖7所示:

圖 7 上位機軟件框圖
界麵的設計主要是從(cong) 使用者的角度來設計的包括以下幾點:
1).界麵做到顧名思義(yi) ,即操作界麵上的各個(ge) 部分的意義(yi) 明確
2).操作方式通用化,采用大眾(zhong) 化的操作,即通過菜單、工具條和按鈕來實現操作
3).通過禁用控件、菜單等方式禁止非法操作
4).通過鼠標放置時的提示語句來提醒操作人員此項的功能
5).采用大量的對話框來幫助操作人員,提示當前和隨後的工作
為(wei) 達到以上要求,采用VB進行界麵的設計,不僅(jin) 可進行傳(chuan) 感器的快速測量,而且能快速在界麵上顯示測量結果,並指示出傳(chuan) 感器是否合格。
數據讀取和保存
單片機將測量結果保存到自己的存儲(chu) 區,測量結果暫時存在單片機的外部數據存儲(chu) 區,A/D轉換值存儲(chu) 在8000H————-83FFH,共1024個(ge) 存儲(chu) 單元,轉換值低8位存在偶數單元,高8位存在奇數單元 。當收到單片機的命令要求傳(chuan) 送結果時,單片機通過串行口將數據傳(chuan) 給計算機。計算機將測量結果進行必要的處理後存儲(chu) 到數據庫中。
5 係統特點
(1)大批量傳(chuan) 感器:
可一次性對512個(ge) 傳(chuan) 感器進行快速準確測量。
(2)測量精度:
對測量結果影響較大的幾個(ge) 方麵為(wei) :A/D轉換器基準參考點電壓的設定,繼電器的接觸電阻和整個(ge) 係統進行采樣時對采樣電路的影響。
80c196的A/D轉換器為(wei) 10位所以對0——5伏的分辨力為(wei) : 0.0049V,則 對0——12伏的分辨力為(wei) :0.0049*12/5= 0.0117V 。
4051,分壓網絡以及繼電器的接觸電阻都會(hui) 對參數電壓VRL造成影響,造成係統誤差,可用實驗的方法進行估計。
同時還存在隨機誤差,是不可測量的。
通過對測試儀(yi) 的調試可對測量誤差進行補償(chang) ,如果軟硬件調試無誤,本測試儀(yi) 的測量精度可達±2%V。
(3)分壓網絡:
為(wei) 提高測量精度,適應更為(wei) 廣泛的測量範圍,采用繼電器對分壓網絡進行換檔。電路如圖8

圖8 分壓網絡電路
軟件功能
1) 實現對512路傳(chuan) 感器的測試自動化。
2) 能夠對單片機的RAM進行檢測
3) 能夠清楚顯示測量結果
4) 能夠對指定的傳(chuan) 感器進行快速重測
5) 能夠保存測試結果
6 結語
多通道氣體(ti) 傳(chuan) 感器測試儀(yi) 研製完成後經實際使用證明,具有測量精度高,測量速度快,硬件電路簡單,易於(yu) 拆卸安裝,克服了原來使用手工測量精度低,速度慢的缺點。同時與(yu) 計算機連接,方便操作,智能程度高,且可實現傳(chuan) 感器的即插即測功能等特點,為(wei) 傳(chuan) 感器參數測量的自動化奠定了良好的基礎。#p#分頁標題#e#
本文的創新點:開關(guan) 網絡的設計,信號的抗幹擾處理。
參考文獻:
[1] Liu Furma, etc. 80~196 Single Chip Microcomputer and Its Application; China Science- Technology Publishing House,June, 1993 (Chinese)
[2] 劉樂(le) 普,葉濟忠,胡盛斌 微型計算機接口技術及應用.武漢:華中理工大學出版社,1993
[3] 李鴻征 單片機溫度控製係統中的工頻幹擾及抑製措施.微計算機信息,2004,7:90-91
[4] N. Govind, “Digital Filter Design and Algorithm Implementation with Embedded Signal Processors,” in Proceedings of the 6th International Conference on Signal Processing Applications and Technology, Oct.95, DSP Associates, pp 551-555
[5]範逸之,陳立元,Visual Basic 與(yu) RS232串行通信控製,北京:清華大學出版社,2002
[6]龔沛曾等,Visual Basic 程序設計教程,北京:高等教育出版社,2000
轉載請注明出處。







相關文章
熱門資訊
精彩導讀


















關注我們

