考慮到固體(ti) 激光器的應用特點,隻介紹它的脈衝(chong) 特性和轉換效率。
1. 固體(ti) 激光器的激光脈衝(chong) 特性
脈衝(chong) 激光器工作在非連續輸出的非穩態,其工作過程不能用2.2節中給出的穩態速率方程描述。一般的脈衝(chong) 固體(ti) 激光器產(chan) 生的激光脈衝(chong) 是由一連串不規則振蕩的短脈衝(chong) (或稱尖峰)組成的,各個(ge) 短脈衝(chong) 的持續時間約為(wei) (0.1~1)m,各短脈衝(chong) 之間的間隔約為(wei) (5~10) s。泵浦光愈強,短脈衝(chong) 數目愈多,其包絡峰值並不增加。第4章中討論過的調Q技術和鎖模技術能夠改變這種特性,產(chan) 生巨脈衝(chong) 或超短光脈衝(chong) ,這裏不再重複。
2.轉換效率
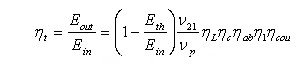
固體(ti) 激光器運轉時,轉換效率低是它的最突出的問題之一。在實際工作中,固體(ti) 激光器的轉換效率常用總體(ti) 效率ηt衡量。總體(ti) 效率定義(yi) 為(wei) 激光輸出與(yu) 泵浦燈的電輸入之比。對於(yu) 連續激光器(用功率描述)和脈衝(chong) 激光器(用能量描述)分別表示為(wei)
(1)#p#分頁標題#e#
(2)
式中Pout和Pin分別為(wei) 輸出和輸入功率,Eout和Ein分別為(wei) 輸出和輸入能量,Pth和Eth分別為(wei) 閾值功率和能量,Vp和V21分別為(wei) 激活離子吸收的光頻率和激光頻率;ηL為(wei) 泵浦燈的電光轉換效率,ηc為(wei) 聚光腔的聚光效率,ηab為(wei) 激活離子的吸收效率,η1為(wei) 激活離子由激發態E3向激光上能級E2躍遷的量子效率,ηcou為(wei) 輸出耦合效率。通常,紅寶石激光器的總體(ti) 效率為(wei) (0.5#p#分頁標題#e#~1)%左右, YAG激光器的總體(ti) 效率可以做到(1~2)%,在最好的情況下,可接近3%。
轉載請注明出處。







相關文章
熱門資訊
精彩導讀



















關注我們

