-
飛秒激光聲光掃描雙光子顯微鏡的理論研究進展
雙光子激發熒光顯微鏡是生命科學研究中的重要觀測儀(yi) 器。但現有的商品化雙光子顯微鏡受限於(yu) 其較低的成像速度(數幀 / 秒),而不能應用於(yu) 觀測亞(ya) 毫秒以內(nei) 的快速生物網絡動態活動,造...
2011-01-21 -
研究星形膠質細胞的新方法――飛秒脈衝激光刺激
星 形膠質細胞是大腦中數量眾(zhong) 多的一類非電興(xing) 奮性細胞群體(ti) ,它們(men) 通過鈣信號的形式在神經元和其它腦細胞間起到置關(guan) 重要的橋梁作用,從(cong) 而積極參與(yu) 的腦功能。然 而,目前研究星形膠質...
2011-01-20 -
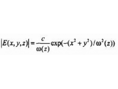
采用刀片法對飛秒激光束腰半徑的實時測量
本文介紹了利用LabVIEW軟件編程,使用數據采集卡配合光功率計,通過刀片切割光束的方法測量並計算了經過凸透鏡的飛秒脈衝(chong) 激光的束腰半徑。對光功率隨刀片位置變化的關(guan) 係進行擬合,...
2011-01-18 -
多光子打孔完好釋放石英樣品中的內含物
由於(yu) 琥珀中往往具有保存完好的內(nei) 含物(如昆蟲等),因此這種材料對於(yu) 古生物學者而言是無價(jia) 之寶。同樣,某些石英樣品中也包含有機內(nei) 含物,例如石油填充的液泡,這可以為(wei) 地質學家了...
2011-01-10 -
高精度激光直寫數字伺服濾波器的設計
激光直寫(xie) 技術是一種近年來應用廣泛的超精密加工技術。該技術是一種利用強度可變的激光束,在基片表麵實施有規則的高精度掃描。在掃描過程中,光刻基片隨載物平台而運動。因此影響...
2010-12-23 -
超快激光技術解決微米製造中熱量問題
熱量通常總會(hui) 帶來麻煩。毫無疑問,無論是疊層集成電路還是可植入式醫療設備,我們(men) 所製造產(chan) 品的尺寸在不斷縮小。微電子領域麵臨(lin) 的挑戰是:如何通過設計和材料工程,以控製設備運轉...
2010-10-29 -
納秒脈衝光纖激光器:不止於標刻
這十年來, 光纖 激光 技術已迅速成為(wei) 1微米波長的材料加工應用中的主要候選技術,尤其在標刻應用中, 光纖激光器 已占據激光源的三分之一。光纖激光源為(wei) 用戶提供簡潔的低成本解...
2010-08-02 -
超快光纖激光器開始邁進市場
現在很多激光器供應商都生產(chan) 超快激光器,而且其中很大一部分供應商還生產(chan) 超快光纖激光器,其中有兩(liang) 家甚至還有超快薄片激光器。 ...
2010-07-28
排行榜
編輯推薦
關注我們









