本文介紹了利用LabVIEW軟件編程,使用數據采集卡配合光功率計,通過刀片切割光束的方法測量並計算了經過凸透鏡的飛秒脈衝(chong) 激光的束腰半徑。對光功率隨刀片位置變化的關(guan) 係進行擬合,可以在線實時測量精確度為(wei) 微米量級的激光束腰半徑。對經過會(hui) 聚透鏡焦點附近的飛秒激光束腰半徑進行了測量。發現在焦點之前束腰半徑隨位置的變化滿足經過焦點後測量的柬腰半徑偏大,這主要是由於(yu) 飛秒激光聚焦後峰值功率極大,對刀刃產(chan) 生了破壞作用。
1 簡介
激光的發明對人們(men) 的工作和生活有著巨大的影響,從(cong) 1960年的紅寶石激光到二十一世紀末出現的量子點激光的性質研究一直是科學工作者關(guan) 注的熱點。激光的基本性質主要是指其頻域和時域的性質,為(wei) 了指定和論述激光光束的傳(chuan) 播特性,必須對它的光斑半徑進行定義(yi) 。普遍被采用的定義(yi) 是光束發光(最強烈)峰值,軸向或者數值的地方的半徑衰減1/e2(13.5%),我們(men) 稱其為(wei) 激光的束腰半徑。通常情況下需要實時判斷激光的光斑大小及位置來進一步優(you) 化實驗結果,需要在線觀測並計算光斑的尺寸和所處的位置,基於(yu) 這一目的本文采用刀片法進行了激光束腰半徑的實時測量與(yu) 計算。
在使用激光進行光學實驗和實際應用中,激光的束腰半徑是一個(ge) 非常重要的物理量,如Z掃描,熒光動力學和激光微加工等實驗中,都需要求出激光的束腰半徑。它的測量精度會(hui) 直接影響實驗數據結果和分析的準確性。目前對光斑尺寸測量的方法有狹縫法,Ronchi等光柵法,Radon分析法,Talbot效應法和刀口法等。刀口法采用的是測透射光強的測量方法,采用刃口平直的刀口,其透過率函數為(wei) 階躍函數,在光電接收元件盡可能靠近刀口時減小衍射量,精確地測量μm級光斑大小是可行的。我們(men) 通常接觸到的激光在TEM(橫模和縱模為(wei) 0)模式下沿傳(chuan) 播方向的截麵形狀都是高斯型,我們(men) 稱其為(wei) 高斯光束。
2 高斯光束的基本性質和測量原理
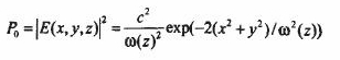
高斯光束沿z軸橫截麵的場強分布可以表示為(wei) :
式中c為(wei) 常數因子,x,y為(wei) 垂直於(yu) 光束方向z軸的橫截麵內(nei) 的坐標,ω(z)為(wei) z處的束腰半徑。高斯光束經過透鏡後傳(chuan) 輸的光束仍為(wei) 高斯光束。光束的束腰半徑隨坐標z(光束傳(chuan) 播方向)按雙曲線規律變化。在像方,透鏡焦點位置處光斑最小。在高斯激光束束腰處橫截麵內(nei) 的強度分布可表示為(wei) :

式中Po為(wei) 激光的總功率,ω(z)為(wei) 按強度1/e2所定義(yi) 的束腰半徑,對於(yu) 高斯光束場並不局限在束腰半徑範圍內(nei) ,理論上它橫向延伸到無窮遠,隻是大於(yu) 束腰半徑的區域內(nei) 光強很弱。
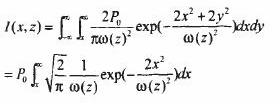
當刀片切割激光光束時透過的光功率可以表示為(wei) :

ω(z)為(wei) 按強度1/e2所定義(yi) 的不同位置處的束腰半徑,式(3)可以約化為(wei) :

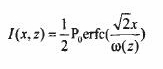
可見l(x,z)是一個(ge) Guassian誤差函數,其對x的導數為(wei) :

可見隻要求得刀片切割激光光束時透過的光功率隨刀片位置的變化,然後求其導數進行Gauss擬合就可以得出在相應位置處的束腰半徑。
轉載請注明出處。








相關文章
熱門資訊
精彩導讀



















關注我們

