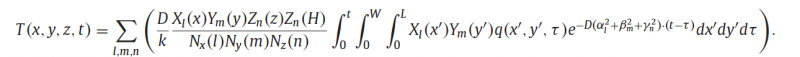
對於激光作用於金屬薄板的溫度場模型(圖1),目前主要研究方法包括解析方法、數值方法以及人工智能方法。其中數值方法和人工智能方法可以較準確地模擬複雜工況,但一般來說耗時較大。對於人工智能方法還需要建立大量的訓練樣本。相對的,解析方法則可以在一定程度上快速預測溫度場。該研究工作考慮對流換熱邊界條件,通過直接求解有限大邊界的三維熱傳導方程,以求得溫度場隨時間的函數。首先通過分離變量法求解該模型所對應的本征值問題,得到一組完備的基函數(本征函數)。然後將方程的非齊次項和溫度函數在該基函數上展開為級數形式,係數待定。最後將該級數代入原方程,通過積分變換求得各項係數,從而得到溫度場的解析解(圖2)。實際求解過程中,由於指數項的存在,該級數收斂較快,計算代價小。另外,可以通過采用低差異序列的準蒙特卡洛方法處理任意激光掃描路徑下的溫度分布。因此,對於任意給定激光掃描路徑,均可通過該方程快速求得任意點在任意時刻的溫度。進一步,該研究通過實驗和有限元計算驗證了該解的正確性。驗證實驗采用鋁合金AA6061T6板件為對象,YAG連續波激光係統為光源,並紀錄激光掃描過程中P1、P2、P3點(圖1)的溫度曆程。結果顯示,測量結果、有限元模型以及解析解在一定範圍內是一致的。
上述研究獲得了國家自然科學基金青年基金項目的支持。
圖1 激光作用於(yu) 有限大薄板的物理模型
圖2 溫度場的解析解
圖3 解析解的實驗、有限元驗證
轉載請注明出處。







相關文章
熱門資訊
精彩導讀



















關注我們

