本文作者楊昌盛1, 徐善輝1, 周軍(jun) 2, 何兵2, 楊依楓2, 渠紅偉(wei) 3, 趙智德4, 楊中民1,由激光行業(ye) 觀察整理,僅(jin) 供交流學習(xi) 之用,感謝分享!
1. 華南理工大學發光材料與(yu) 器件國家重點實驗室, 廣州 510640;
2.中國科學院上海光學精密機械研究所上海市全固態激光器與(yu) 應用技術重點實驗室, 上海 201800;
3. 中國科學院半導體(ti) 研究所固態光電信息技術實驗室, 北京 100083;
4. 蘇州長光華芯光電技術有限公司, 蘇州 215000;
一、引言
大功率光纖激光器是以稀土離子摻雜雙包層光纖為(wei) 工作介質的一種新型全固態激光器。相比於(yu) 傳(chuan) 統固體(ti) 激光器而言, 其具有結構緊湊、轉換效率高、光束質量好、易於(yu) 散熱等明顯優(you) 勢, 在先進製造業(ye) 、軍(jun) 事國防、科研、醫療等眾(zhong) 多領域有著重要的應用前景,是國際上激光技術領域的研究熱點。得益於(yu) 雙包層光纖拉製技術與(yu) 大功率半導體(ti) 激光器製作工藝的不斷發展與(yu) 完善, 光纖激光器的轉換效率與(yu) 輸出功率獲得大幅度提升。
尤其在工業(ye) 加工、定向能武器、長距離遙測、激光雷達等應用需求的牽引下, 以美國IPGPhotonics公司、Nufern公司、nLIGHT公司、英國SPI公司和德國通快集團等為(wei) 代表的國外研究機構、企業(ye) , 紛紛對大功率光纖激光器進行積極研發, 相繼推出了連續波功率從(cong) 數十瓦到數萬(wan) 瓦的商用化光纖激光器產(chan) 品, 並且部分產(chan) 品對我國實行限製性出口或者禁運。可以發現, 激光及其激光技術的發展與(yu) 應用, 極大地促進了人類生產(chan) 力的蓬勃發展, 深刻地影響了人們(men) 生活的方方麵麵。
其中, 激光製造具有非接觸、超精細、快速、無應力等優(you) 勢, 正推動著傳(chuan) 統製造向智能製造的轉型, 以“光製造”為(wei) 代表的新技術對工業(ye) 製造帶來了革命性變革, 而萬(wan) 瓦級大功率光纖激光作為(wei) 高端激光製造的核心光源, 極其重要。目前, 實現萬(wan) 瓦級乃至數萬(wan) 瓦級單模光纖激光的主要技術方式包括兩(liang) 種: (1) 直接單根光纖輸出; (2) 激光合束輸出。前者是將一定功率(千瓦量級)光纖激光器作為(wei) 種子源, 通過單根高性能摻Yb3+雙包層光纖直接將功率放大至萬(wan) 瓦級甚至更高功率, 由於(yu) 受到非線性效應、泵浦源亮度、光纖材料和器件本身損傷(shang) 等一些因素的限製, 單根光纖激光的輸出功率畢竟有限, 其寬譜、嚴(yan) 格單模輸出時的理論極限功率約為(wei) 13 kW。後者是將多路光纖激光通過相幹合束或者光譜合束的方式, 產(chan) 生高光束質量的激光輸出。早在2013年, 美國IPG Photonics公司用半導體(ti) 激光器(LD)進行端麵泵浦(圖1(a)), 實現了當前最高功率20 kW近單模(M2小於(yu) 2)激光輸出。2014年, 美國洛克希德馬丁公司采用光譜合束技術實現了33 kW輸出; 至2016年, 美國空軍(jun) 實驗室采用相幹合成技術實現了4.9 kW單模輸出。

國內(nei) 科研院所與(yu) 企業(ye) 也積極開展了大功率光纖激光的研究, 其中中國科學院上海光學精密機械研究所(簡稱中科院上海光機所)、清華大學分別基於(yu) LD端麵泵浦, 實現了單纖7和10 kW輸出; 國防科技大學和中國工程物理研究院用分布式側(ce) 麵耦合包層泵浦(GT-wave泵浦, 如圖1(b)所示), 於(yu) 2014和2015年分別實現了1和2 kW輸出; 中科院上海光機所和中國工程物理研究院采用光譜合成技術分別實現了10.8和9.6 kW輸出; 國防科技大學采用相幹合成技術實現了功率2.16 kW單模激光輸出。此外, 國內(nei) 能夠研發、生產(chan) 、銷售大功率光纖激光器的代表性企業(ye) 主要包括:武漢銳科公司和深圳創鑫公司。其中武漢銳科公司推出了輸出功率涵蓋1~10 kW的大功率連續多模光纖激光器產(chan) 品; 深圳創鑫公司也推出了連續功率1.5 kW單模光纖激光器和4 kW多模光纖激光器產(chan) 品。
通過對比國內(nei) 外的研究結果, 可以發現: 國內(nei) 研究機構對於(yu) 大功率光纖激光剛剛邁入萬(wan) 瓦級功率的門檻, 且停留在實驗樣機的狀態, 對於(yu) 商品化產(chan) 品跟國外研究機構或激光器廠商的差距較大。究其原因, 我國在萬(wan) 瓦級光纖激光技術方麵的落後主要源於(yu) 在高增益光纖材料與(yu) 元件、高質量激光泵源、高性能激光種子源等技術的落後和進口的限製, 使得國產(chan) 萬(wan) 瓦級大功率光纖激光存在以下技術瓶頸: (1) 高增益雙包層光纖的稀土離子摻雜均勻性差導致增益不均衡,在大功率激光輸出時存在一定損傷(shang) 和暗化效應; (2) 大功率下光纖光柵退化與(yu) 損傷(shang) 、合束器與(yu) 包層光剝離器承受激光功率較低, 無法滿足萬(wan) 瓦級激光的工作要求; (3) 激光泵源的輸出功率與(yu) 亮度不高, 與(yu) 光纖耦合效率較低, 導致大功率光纖激光器的插拔效率較低;(4) 用於(yu) 大功率激光合束的單頻激光種子源功率低、噪聲高, 導致合束後激光質量差、激光功率無法提升。
因此, 亟待發展新型萬(wan) 瓦級光纖激光材料和器件,突破其關(guan) 鍵技術, 實現擁有自主知識產(chan) 權的國產(chan) 化高增益光纖、光器件、高亮度泵浦源、高性能種子源等, 打破國外技術封鎖和產(chan) 品壟斷,為(wei) 我國單路萬(wan) 瓦級高功率光纖激光的國產(chan) 化提供基礎支撐, 為(wei) 未來萬(wan) 瓦以上更高功率光纖激光鋪平道路, 最終能夠對我國高技術產(chan) 業(ye) 和國防建設的可持續化發展產(chan) 生重大意義(yi) .
本文主要從(cong) 構築與(yu) 製約萬(wan) 瓦級光纖激光的關(guan) 鍵部分——光纖激光材料與(yu) 器件出發, 介紹了近年來高增益光纖材料與(yu) 元件、高質量激光泵源、高性能激光種子源的研究進展情況, 分析了當前高增益雙包層光纖與(yu) 元件(光纖光柵、包層光剝離器、合束器等)、激光泵源、單頻激光種子源等關(guan) 鍵技術, 介紹了國內(nei) 外一些科研院所與(yu) 企業(ye) 在光纖激光材料與(yu) 器件方麵所做的部分工作, 並對大功率光纖激光材料與(yu) 器件的發展動向進行了展望.
二、研究現狀
在近十年以來, 大功率光纖激光技術得到了飛快發展, 究其原因除了光纖激光器本身的獨特優(you) 勢之外,受到市場行為(wei) 推廣的光纖激光材料與(yu) 器件(即高增益雙包層光纖、光纖光柵、合束器、包層光剝離器、大功率泵浦源等)對激光器的發展起到了至關(guan) 重要的作用。圖2所示為(wei) 萬(wan) 瓦級大功率光纖激光裝置結構示意圖, 無論是“單路光纖放大”還是“多路光束合成”方案,光纖激光係統都主要由:激光種子源、激光泵源、光纖材料與(yu) 元件(合束器、包層光剝離器等)等幾個(ge) 關(guan) 鍵部分組成,下麵分別予以介紹。

2.1 核心光纖材料與(yu) 元件
1988年, Snitzer等人描述了包層泵浦光纖激光器。1989年, 英國南安普頓大學的Hanna等人報道光纖激光輸出, 隨後其發展潛力逐漸顯現出來, 高功率激光輸出功率的記錄不斷被刷新。20世紀90年代晚期,大模場麵積雙包層光纖的采用進一步促進了激光功率的提升, 使用大模場麵積光纖的同時采取模式(橫模)控製技術, 使得激光在大芯徑少模光纖中能夠單模運轉, 極大地提高了非線性效應的閾值。從(cong) 20世紀90年代開始, 俄羅斯、英國、美國、法國和日本等發達國家的主流研究機構先後對雙包層光纖激光器相關(guan) 材料和器件開展了大量的研究工作。
在大功率光纖激光器應用中,摻Yb3+大模場麵積光纖及基於(yu) 大模場麵積光纖的無源光器件占據了主流位置。2009年, 美國的IPG Photonics公司率先研製出單纖輸出功率達10 kW的摻Yb3+雙包層光纖, 並采用此種光纖搭建了萬(wan) 瓦級光纖激光器裝置, 其方案示意如圖3所示。同時, 美國Nufern公司、英國SPI公司等研究單位也先後掌握了高增益光纖材料核心技術,並且推出了相應的數千瓦級光纖激光器產(chan) 品. 在高功率光無源器件方麵, 最近, 德國Laser Component公司推出了單臂承受功率達到2 kW的光纖合束器產(chan) 品, 加拿大ITF公司推出了單臂承受功率超過400 W的光纖合束器產(chan) 品。加拿大TeraXion公司推出了承受功率超過3 kW的光纖光柵產(chan) 品。包層光剝離器方麵目前國外公開報道的結果較少, 一般認為(wei) 已經達到千瓦量級水平。

國內(nei) 科研院所與(yu) 企業(ye) 在大功率光纖激光器的研究方麵起步較晚, 但發展迅速, 已經取得了矚目的成績。清華大學、國防科技大學、中科院上海光機所、天津大學、中國工程物理研究院、中國科學院西安光學精密機械研究所等眾(zhong) 多單位積極開展了大功率光纖材料和元件的理論與(yu) 實驗研究,推動了國內(nei) 大功率光纖激光的發展。在光纖材料方麵, 華中科技大學研製的大模場麵積摻Yb3+光纖在國內(nei) 率先獲得了大於(yu) 7 kW輸出, 中國電子科技集團公司(簡稱中電集團)第23研究所、46所等單位也推出了數千瓦的產(chan) 品。在光纖合束器方麵, 中科院上海光機所研製的(6+1)×1光纖合束器目前單臂承受功率已超過1.2 kW; 深圳朗光科技有限公司開發的商用(6+1)×1光纖合束器單臂承受功率>200 W。在光纖光柵方麵, 中科院上海光機所研製了承受功率超過1 kW的大模場麵積光纖光柵,並完成了其高功率封裝與(yu) 測試。在包層光剝離器方麵, 深圳朗光科技有限公司開發了基於(yu) 大模場麵積雙包層光纖的包層光剝離器, 其最大承受功率達到800W, 中科院上海光機所研製的包層光剝離器承受功率>700 W。
2.2 高亮度半導體(ti) 激光泵源
隨著半導體(ti) 激光器製作工藝的不斷發展, 無論其作為(wei) 直接光源還是作為(wei) 其他激光器的泵源, 半導體(ti) 激光器在加工、國防、顯示及醫療等領域都展現出巨大的應用前景。尤其是將帶尾纖耦合輸出的半導體(ti) 激光器作為(wei) 泵源直接抽運光纖激光器, 其中泵浦波長、泵源亮度、泵源功率對於(yu) 光纖激光器來說至關(guan) 重要。一般而言,摻Yb3+雙包層光纖中的鐿離子(Yb3+)具有很高的吸收截麵、較寬的吸收光譜(典型值為(wei) 910~980 nm), 能與(yu) InGaAs半導體(ti) 泵浦源有效結合, Yb3+的典型吸收譜如圖4所示。波長範圍處於(yu) 910~980 nm的高功率多模半導體(ti) 激光器能夠很好地滿足大功率光纖激光對泵源的使用要求。總之, 大功率光纖激光器非常需要高亮度半導體(ti) 激光芯片及由多個(ge) 芯片合束的高功率光纖耦合輸出模塊。
在高亮度半導體(ti) 激光器芯片方麵, 隨著外延結構設計、外延晶體(ti) 生長、腔麵處理工藝、芯片封裝等核心技術的不斷發展, 9xx nm半導體(ti) 激光器的功率從(cong) 20年前的1 W發展到目前的15 W(90 μm條寬)左右, 即保持著平均15%的年增幅。其中9xx nm半導體(ti) 激光器芯片是泵源的核心器件,國際上技術領先的單位有美國IPG Photonics, Lumentum Operations LLC(原JDSU),美國nLight Photonics等。截止到2016年, 上述公司的90 μm條寬單管芯片功率水平保持在10~15W。長期以來我國在此領域遠落後於(yu) 國外, 國內(nei) 關(guan) 於(yu) 半導體(ti) 激光器的研究早期主要受到外延及腔麵處理技術水平的限製, 在功率、效率等關(guan) 鍵性能方麵均落後於(yu) 國外,可靠的單管芯片功率遠低於(yu) 10 W(90 μm條寬)。國內(nei) 山東(dong) 浪潮華光與(yu) 中電集團13所目前976 nm單管芯片在售產(chan) 品最高功率為(wei) 8 W。相比而言, 近年快速發展的蘇州長光華芯公司依靠自身技術的積累,成功推出的976 nm單管芯片產(chan) 品功率已達13~15 W, 且有較好的發展態勢, 比肩國際水平。
在半導體(ti) 激光泵源(光纖耦合輸出模塊)方麵,早期是基於(yu) 單個(ge) 芯片的光纖耦合輸出方式, 但是其輸出功率僅(jin) 幾瓦。後來, 隨著合束技術的出現與(yu) 不斷發展,通過集成多個(ge) 芯片從(cong) 而提高泵源的耦合輸出功率。目前,工業(ye) 應用的半導體(ti) 激光泵源輸出功率一般小於(yu) 200W, 能夠推出輸出功率超過500 W的單波長成熟泵源產(chan) 品的廠家極少。一些著名的國外廠商,如:德國Dilas公司於(yu) 2011年報道了功率775W(光纖芯徑200 μm, 數值孔徑0.22)的單波長976 nm激光輸出;美國Teradiode公司於(yu) 2011年報道了功率1040 W(光纖芯徑200 μm, 數值孔徑0.18)的單波長966 nm光纖耦合輸出模塊,而Teradiode公司此後基於(yu) 光譜合束技術, 推出了多款多波長的光纖耦合輸出模塊, 包括於(yu) 2012年報道的2.03kW(芯徑50 μm, 數值孔徑0.15)產(chan) 品及2014年宣布交付的4 kW(芯徑100 μm, 數值孔徑0.18)產(chan) 品, 量(BPP)均小於(yu) 4 mm mrad。

國內(nei) 半導體(ti) 激光泵源在早期主要集中於(yu) 低功率(10~200W量級)工業(ye) 產(chan) 品。當前,國內(nei) 能夠研發、生產(chan) 半導體(ti) 激光泵源的單位主要包括: 北京凱普林、大族天成、中國科學院長春光學精密機械與(yu) 物理研究所(簡稱中科院長春光機所)等幾家。其中, 中科院長春光機所報道了500 W的輸出結果, 北京凱普林光纖耦合輸出模塊最高輸出功率在200 W左右。分析與(yu) 國外產(chan) 生差距的原因, 一方麵封裝以及光纖耦合技術水平較低, 另一方麵沒有發展相應的半導體(ti) 激光器芯片技術, 進一步限製了泵源產(chan) 品能力。蘇州長光華芯公司利用自行研製的90 μm條寬芯片,開發了功率800W(芯徑200 μm, 數值孔徑0.22)的單波長976 nm半導體(ti) 激光泵源, 是報道並銷售600 W以上功率單波長光纖耦合輸出模塊的國內(nei) 唯一一家, 其擁有自主知識產(chan) 權和可靠的半導體(ti) 激光泵源產(chan) 品生產(chan) 能力。
2.3 光子晶體(ti) 激光泵源
早在2002年, 德國柏林工業(ye) 大學的Ledentsov和Shchukin提出了光子晶體(ti) 激光器的概念, 該激光器利用光子晶體(ti) 模式調控, 從(cong) 芯片層次實現單橫模和近圓形光斑輸出, 更容易獲得高光束質量和高亮度激光,因而可以用作傳(chuan) 統固體(ti) 激光器或光纖激光器的理想泵源。國際上的科研機構, 如俄羅斯Ioffe物理技術研究所、德國柏林工業(ye) 大學、以色列PBC公司和FBH公司均開展了相關(guan) 的研究工作, 在國際上發表了一係列研究成果,報道了工作波長分別為(wei) 650 nm,850 nm,980 nm以及1060 nm的光子晶體(ti) 激光器, 最高轉換效率接近60%, 最高脈衝(chong) 輸出功率超過了20W。
2010年, 德國柏林工業(ye) 大學和俄羅斯Ioffe物理技術研究所研製了980 nm波段光子晶體(ti) 激光器,垂直遠場發散角7°,連續輸出功率2.2W,亮度87MW/cm2/sr。2015年,德國柏林工業(ye) 大學和FBH公司成功研製了1060 nm波段光子晶體(ti) 激光器,連續輸出功率1.9 W,垂直遠場發散角14°, 亮度72 MW/cm2/sr; 寬條長腔長最大輸出功率9.5 W(條寬100 µm, 腔長3 mm)。最近2016年, 德國柏林工業(ye) 大學對1064 nm光子晶體(ti) 激光器的轉換效率進行了研究,通過理論和實驗證實: 減少光子晶體(ti) 激光器的串聯電阻, 可以有效增加轉換效率。

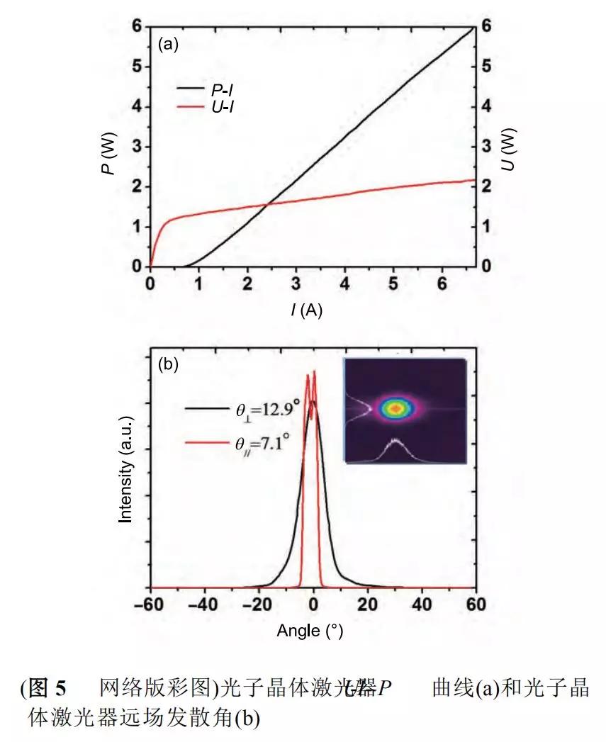
國內(nei) 科研院所, 如中國科學院半導體(ti) 研究所和中科院長春光機所也積極開展了高功率高光束質量光子晶體(ti) 激光器的相關(guan) 研究。至2003年以來, 中國科學院半導體(ti) 研究所就一直從(cong) 事光子晶體(ti) 激光器的研究,國際上率先研製出了905 nm波段光子晶體(ti) 激光器,單管連續輸出功率大於(yu) 5 W, 垂直發散角小於(yu) 10°(最小6.5°), 窄脈衝(chong) 峰值功率大於(yu) 20 W; 研製出了976 nm波段光子晶體(ti) 激光器, 單管連續輸出功率大於(yu) 6 W, 垂直發散角小於(yu) 13°, 其實驗結果如圖5所示。此外, 中科院長春光機所於(yu) 2015年報道了808 nm光子晶體(ti) 激光器, 單管連續輸出功率為(wei) 4.6 W, 垂直發散角4.91°。
2.4 高性能單頻光纖激光器
單頻光纖激光是指腔內(nei) 以振蕩單一縱模形式輸出, 具有輸出光譜線寬窄、頻率可調諧、相幹長度長、噪聲低、結構緊湊等優(you) 勢, 使其在光纖傳(chuan) 感、激光測距、高精度光譜學、非線性頻率轉換、相幹合束等領域有著重要的應用價(jia) 值。目前, 實現單頻光纖激光輸出的技術主要有環形腔和線性短腔兩(liang) 種方式,環形腔腔長較長、結構複雜、缺乏有效的鑒頻機製, 容易出現跳模現象. 而線性短腔包含分布反饋(DFB)和分布布拉格(Bragg)反射(DBR)結構, 線性短腔結構簡單、不易跳模、工作穩定、效率較高。利用石英光纖作為(wei) 增益介質的短腔結構可以實現穩定的單頻運轉, 得到線寬2~15 kHz的單頻激光輸出, 但輸出功率通常僅(jin) 為(wei) 幾個(ge) 毫瓦。為(wei) 了提高激光輸出功率, 往往需要提高光纖中稀土離子的摻雜濃度。與(yu) 石英玻璃相比, 多組分玻璃對稀土離子具有良好的溶解度, 可達上百萬(wan) ppm, 且未發現因稀土離子高濃度摻雜而引起的熒光猝滅現象。如摻雜磷酸鹽玻璃光纖可將傳(chuan) 統單頻激光器中增益介質的使用長度減少至厘米量級,腔內(nei) 縱模間隔可達幾個(ge) 千兆赫, 可以從(cong) 腔內(nei) 直接實現功率幾百毫瓦的單頻激光輸出, 圖6所示為(wei) 典型的短腔DBR結構單頻光纖激光器裝置結構示意圖.

早在2005年初, 美國NP Photonic公司就推出了基於(yu) 磷酸鹽玻璃光纖作為(wei) 增益介質的單頻光纖激光器,優(you) 異的激光性能使其成為(wei) 了目前市場上的主流產(chan) 品。但到目前為(wei) 止, 僅(jin) 美國NP Photonic公司研製出了基於(yu) 短光纖技術的窄線寬單頻光纖激光器, 其輸出波長為(wei) 1.06 µm, 輸出功率達到200 mW, 斜率效率達31%, 輸出線寬小於(yu) 3 kHz。國內(nei) 華南理工大學在磷酸鹽玻璃光纖的製作、單頻諧振腔結構設計以及單頻光纖激光器研製等方麵也取得了一些進展, 成功拉製出高增益磷酸鹽玻璃光纖, 構建了厘米量級線性短腔,直接從(cong) 腔內(nei) 分別實現了波長1.06 μm,功率大於(yu) 400 mW,線寬小於(yu) 7 kHz和波長1950 nm,功率大於(yu) 100mW,線寬小於(yu) 6 kHz的兩(liang) 類單頻光纖激光輸出。此外, 華南理工也開展了單頻光纖激光器的線寬壓窄、噪聲抑製等研究工作。采用虛擬折疊腔與(yu) 慢光技術相結合的方式, 實現了3 dB線寬壓窄至600 Hz的單頻光纖激光輸出。采用飽和非線性放大效應和光電反饋技術, 在0.8~50 MHz頻率範圍內(nei) 將單頻光纖激光的噪聲抑製到−150 dB/Hz, 接近量子噪聲極限,其實驗結果如圖7所示。

基於(yu) 單一諧振腔方式的窄線寬單頻激光器, 一般使用單模纖芯泵浦方式, 其單模泵源功率低, 無法直接實現數瓦級乃至更高功率輸出。為(wei) 了實現大功率單頻光纖激光輸出, 通常將小功率單頻激光作為(wei) 種子源, 使用主振蕩功率放大(master oscillator poweramplifier, MOPA)技術方案進行單頻激光的放大, 使用MOPA結構可以實現數瓦到數百瓦量級的單頻光纖激光輸出。比較有代表性的國內(nei) 外研究工作: 2012年, 德國漢諾威激光中心實現了301 W的非線偏振光纖激光輸出。2014年, 美國空軍(jun) 實驗室利用光子晶體(ti) 光纖實現了811 W的1064 nm單頻激光輸出, 為(wei) 空間結構單頻激光的最高功率水平。2012年, 國防科技大學實現了310 W非線偏振單頻光纖激光。2013年,國防科技大學又實現了332 W的線偏振單頻激光輸出,為(wei) 目前國際上全光纖結構線偏振光纖激光的最高功率水平, 其裝置結構示意圖如圖8所示。同樣, 主要由於(yu) 非線性效應的影響, 單頻、嚴(yan) 格單模輸出時的極限功率在1 kW量級。然而, 大功率光纖激光器合成技術可以使多路激光光束疊加, 在提高輸出功率的同時獲得良好的光束質量。

大功率光纖激光器合成技術已成為(wei) 國際上的研究熱點, 多個(ge) 國家都對此展開了廣泛而深入的研究, 已有多家單位實現了數百瓦至千瓦級的功率輸出。當前, 主流的光束合成方法包括: 主動相幹合成、被動相幹合成和非相幹光譜合成3種。光束合成要求小功率高性能單頻光纖激光器或者窄線寬激光器(通常線寬千兆赫量級)作為(wei) 種子源, 經過功率放大後至千瓦量級, 然後作為(wei) 單元(孔徑)激光器模塊進行合束研究。比較有代表性的研究工作是, 麻省理工學院林肯實驗室Yu等人於(yu) 2011年采用主動相位控製方法, 完成了8路500 W摻Yb3+光纖放大器的相幹合成。實驗上采用商用光纖放大器, 成功地將功率5 mW, 線 寬10 GHz的種子源放大至功率500 W量級, 係統總輸出功率4 kW, 合成效率達到了78%。


國內(nei) 有單位對光譜合成技術進行了研究, 中科院上海光機所實現了10.8 kW光纖激光輸出,其裝置結構示意圖如圖9所示; 中國工程物理研究院則實現了9.6 kW輸出。基於(yu) 相幹合成技術, 國防科技大學實現了功率2.16 kW單模激光輸出,如圖10所示為(wei) 其4 路500 W級光纖放大器相幹偏振合成係統示意圖。
三、發展分析
由上述分析可以看出, 萬(wan) 瓦級大功率光纖激光的發展主要涉及到大功率激光光纖材料與(yu) 元件、高質量激光泵源、高性能單頻光纖激光種子源等幾項關(guan) 鍵技術。在大功率激光光纖材料與(yu) 元件方麵, 目前適合萬(wan) 瓦級光纖激光係統的高增益大模場麵積光纖和合束器、光纖光柵、包層光剝離器等無源光器件, 存在著國內(nei) 產(chan) 品無法滿足需求以及麵臨(lin) 國外禁運的問題。目前各主流科研院所和公司都在為(wei) 製備高增益光纖材料、高功率承受性合束器、光纖光柵和包層光剝離器等產(chan) 品而努力, 今後的發展方向將主要集中於(yu) Al, F, P等新元素的引入對摻Yb3+石英玻璃光學和光譜性能的影響規律和機理的研究, 從(cong) 而製備出低損耗、高光學均勻性、低纖芯數值孔徑的大模場麵積光纖; 進一步提高光纖合束器的製備工藝、光纖光柵的刻寫(xie) 工藝以及對包層光剝離器剝離方法、剝離深度、長度等參數的精確控製,實現光無源器件的低損耗、高功率承受性等指標性能。
在高質量激光泵源方麵: 隨著應用領域對光纖激光器輸出功率需求的持續增強, 高亮度千瓦級半導體(ti) 激光泵源的研發也在加快, 通過不斷地提高半導體(ti) 激光器芯片的功率、亮度等參數。由於(yu) 受限於(yu) 常規激光合束方式, 空間合束在增加激光功率的同時, 降低了整體(ti) 光束質量; 偏振合束和波長合束可以在不改變光束質量的同時增加激光功率,但功率提高倍數有限。光譜合束是近年來迅速發展的一種實用化合束方式,采用前腔麵鍍有增透膜的半導體(ti) 激光芯片與(yu) 外部光學係統整體(ti) 構成諧振腔, 每個(ge) 激光單元振蕩波長均與(yu) 外部光柵色散和外腔反饋匹配, 所有激光單元沿相同方向諧振, 實現合束激光的光束質量與(yu) 激光單元保持一致。因此, 通過光譜合束和更高密度的空間合束將是當前的研究重點。另外, 高光束質量光子晶體(ti) 激光可以從(cong) 芯片層實現高亮度高功率激光輸出, 是未來半導體(ti) 激光器的重要發展方向之一。單芯片高光束質量光子晶體(ti) 激光技術的發展不僅(jin) 可促進基礎科學領域研究的不斷深化, 隨著科學技術水平的不斷提升和應用領域上的不斷拓展和創新, 未來在很多領域可以逐漸取代其他激光光源, 尤其可以在工業(ye) 、信息、醫療和國防等領域得到重要的應用.
在高性能單頻光纖激光器方麵: 雖然國際上諸多單位采用MOPA技術方案, 開展了單頻激光的功率提升技術研究, 但是大都采用自由空間裝置結構, 主要問題是在線寬控製、噪聲抑製等方麵研究深度不夠。此外, 非保偏輸出的單頻光纖放大器的綜合性能不能滿足諸多實際應用的要求。因此, 在較長一段時間內(nei) , 打破單頻光纖激光放大的限製性因素, 實現全光纖化、更高功率、更低噪聲、線寬可控等高性能激光輸出將是單頻光纖激光器的重要發展方向。
四、結語
隨著大模場麵積雙包層摻雜光纖製造工藝與(yu) 和高質量泵浦技術的發展, 單根單模雙包層光纖激光器的輸出功率以驚人的速度迅速提高, 與(yu) 其他種類的激光器以及常規固體(ti) 激光器相比, 大功率光纖激光器具有結構緊湊、轉換效率高、光束質量好、熱管理方便等一係列優(you) 點。但是, 在高端激光製造對核心光源的需求背景下, 隨著光纖激光器進一步深入地發展,高增益光纖材料與(yu) 元件、高質量激光泵源、高性能激光種子源成為(wei) 了製約萬(wan) 瓦級大功率光纖激光發展的主要因素。

轉載請注明出處。







相關文章
熱門資訊
精彩導讀



















關注我們

