光學相幹層析技術( Optical Coherence Tomography, 簡稱OCT )以低相幹
測量為(wei) 原理,是一種新型成像技術,可進行活體(ti) 組織顯微鏡結構的非接觸式、非侵入性斷層成像。OCT是超聲的光學模擬品,而縱向分辨力更高,又不象X 射線和射頻電磁場一樣對生物體(ti) 產(chan) 生不良影響。因此OCT 特別適用於(yu) 那些具有高散射,非透明性質的樣品,而生物體(ti) 就是這樣的樣品。
目前OCT越來越多的被應用到生物體(ti) 組織的診斷,特別是眼科以及皮下組織的病變診斷。其穿透深度幾乎不受眼透明屈光介質的限製,可觀察眼前節,又能顯示眼後節的形態結構,在眼內(nei) 疾病尤其是視網膜疾病的診斷,隨訪觀察及治療效果評價(jia) 等方麵具有良好的應用前景。
圖1為(wei) OCT影象和超聲波檢測結果進行對比,很顯然,OCT的分辨率更高,影象更清晰。

圖1
OCT的基本原理如圖2所示,基本功能部分為(wei) 2Х2的WDM,將檢測光和參考光都輸入光纖,並在光纖耦合器中分成2部 分,一部分進入參考臂,一部分進入采樣臂。當參考臂上反射回來的光和采樣臂上反射回來的光進行幹涉的時候,在幹涉臂探測器上將獲得最強信號。然後對不同空 間點的采樣,就可以獲得不同空間的信息。經過濾波,數模轉換等處理,將該信息轉換成可視頻顯示的圖象。因此,光是信號載波,光信號和最終的獲得的信息是相 關(guan) 聯的,光源的選擇對OCT的性能有重大影響。

圖2
對於(yu) OCT的光源選擇,有兩(liang) 點值得注意:
第一,人體(ti) 細胞對850nm以下的光,有較強的散射,而細胞中的水份對1500nm以上的光,吸收率又較高,這兩(liang) 點都對OCT的應用極其不利,因此,通常OCT的光源都要求波長在850-1600nm之間。圖3分別顯示了850nm和1300nm下的喉部軟骨組織OCT影像。1300nm下的圖象明顯更清晰。#p#分頁標題#e#

圖3
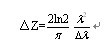
第二,OCT的縱向掃描分辨率由光源的相幹長度 / 決(jue) 定。

因此,為(wei) 了得到更高的分辨率,就必須選用寬光譜光源,例如以前常用的超輻射發光二極管(SLD)和目前比較熱門的飛秒激光泵浦的超連續譜。
超輻射發光二極管,譜寬通常為(wei) 40nm,最多可達到100nm。 而隨著超快激光技術的發展以及光子晶體(ti) 光纖的出現,現在可以使用飛秒激光泵浦的超連續光譜,譜寬可以達到幾百納米。光子晶體(ti) 光纖的出現,將給光信息技術領 域帶來一場革命性的變化。在光子晶體(ti) 光纖的超連續譜產(chan) 生過程中,飛秒激光器擁有比皮秒、納秒激光器更強烈的色散效應以及非線性效應,因此能夠獲得更大譜 寬。比如:德國menlosystems公司利用其飛秒光纖激光器作為(wei) 泵源,就產(chan) 生了約400nm的超連續譜。
我們(men) 以Menlosystems公司摻Yb光纖激光器(中心波長1030nm)很為(wei) 例,在鎖模狀態下,擁有56nm的寬光譜(FWHM)和58fs的脈衝(chong) 寬度。這使其將獲得更強的色散和非線性效應,從(cong) 而通過非線性光纖能夠獲得更大的光譜展寬。

圖4
當然,除了光源對OCT基 本功能的影響外,改變參考臂光程的掃描延遲線對整個(ge) 設備的性能也有影響。通常采用的延遲線有振鏡式,旋轉鏡對和電機平動式等。各有其優(you) 缺點:振鏡式的掃描 範圍小,非線性,但是速度快;旋轉鏡對的掃描範圍大,但是非線性;電機平動式的掃描線性度好,掃描範圍大,但是速度較慢。
綜上所述,OCT將半導體(ti) 激光、超快光學技術,超靈敏探測、電子學、計算機控製和圖像處理技術結合在同一係統之中,相對於(yu) 傳(chuan) 統檢測手段來說,擁有分辨率高,對樣品無傷(shang) 害,可獲得樣品的實時測量結果等特點。隨著超快激光和非線性光纖技術的飛速發展,我們(men) 有理由相信,OCT成像技術的發展將更令人期待。
轉載請注明出處。







相關文章
熱門資訊
精彩導讀



















關注我們

