各種便攜式電子產(chan) 品, 如照相機、攝像機、手機、筆記本電腦、多媒體(ti) 播放器等都需要DC-DC 變換器等電源管理芯片。這類便攜式設備一般使用電池供電, 總能量有限, 因此, 電源芯片需要最大限度地降低工作電壓,延長電池的使用壽命。傳(chuan) 統DC-DC 的工作電壓一般都在1. 0 V 以上, 本文設計了一種DC-DC 升壓型開關(guan) 電源的低壓啟動電路, 啟動電壓降低至0. 8 V,該電路采用兩(liang) 個(ge) 在不同電源電壓範圍內(nei) 工作頻率較穩定的振蕩器電路, 利用電壓檢測模塊進行合理的切換, 解決(jue) 了低輸入電壓下電路無法正常工作的問題, 並在0. 5μm CMOS 工藝庫( VthN = 0. 72 V, VthP = -0. 97 V) 下仿真。仿真結果表明, 在0. 8 V 低輸入電壓時, 通過此升壓型開關(guan) 電源, 可以將VDD升高至3. 3 V。
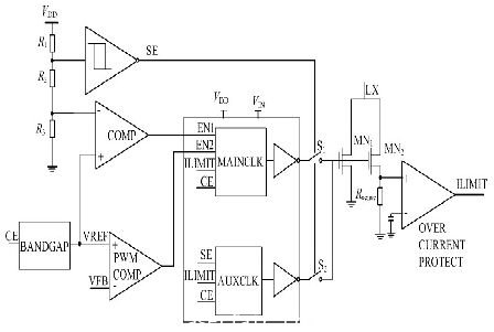
1 電路整體(ti) 示意圖
DC-DC 升壓型開關(guan) 電源在低輸入電壓下工作, 利用控製電路導通和關(guan) 斷功率管, 在功率管導通時, 電感儲(chu) 存能量; 當功率管關(guan) 斷時, 電感釋放能量, 對輸出電容充電, 輸出電壓升高。當輸入電源低至1. 0 V 以下, 如果DC-DC 芯片的驅動電壓取自輸入電源, 芯片內(nei) 部電路就不能正常工作, DC-DC 便無法啟動; 如果DC-DC 芯片的驅動電壓取自輸出電壓, 同樣, 芯片根本無法啟動及進行任何升壓動作。本文針對輸入電源電壓變化範圍較大, 在考慮商業(ye) 成本的情況下, 設計了2 個(ge) 振蕩器電路:主振蕩器和輔助振蕩器。輔助振蕩器靠輸入電壓供電,0. 8 V 即能起振, 在V DD升至1. 9 V 以前控製功率管的導通與(yu) 關(guan) 斷, 使V DD逐步抬升。主振蕩器靠輸出電壓即VDD供電, 在VDD升至1. 9 V 以後以一個(ge) 較穩定的頻率工作, 抬升並維持輸出電壓。電路的整體(ti) 示意圖如圖1所示。該電路包括主振蕩器、輔助振蕩器以及它們(men) 的切換電路、帶隙基準電路、PWM 比較器、過壓保護電路、過流保護電路等。

圖1 DC-DC 升壓型開關(guan) 電源芯片的整體(ti) 示意圖
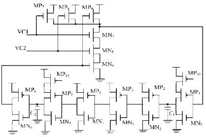
2 主振蕩器的設計
本文所設計的主振蕩器采用如圖2 所示的環形振蕩器結構。VC1, VC2 分別為(wei) 過壓保護電路, PWM 比較器的輸出信號, MP10和MP11 為(wei) 帶隙基準提供的鏡像電流, 合理的控製鏡像電流和電容C1 , C2 的大小, 即能夠使主振蕩器在1. 9~ 8 V 的V DD區間輸出350 kHz 左右較穩定的振蕩頻率。

圖2 主振蕩器電路
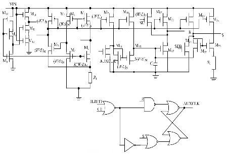
3 輔助振蕩器的設計
輔助振蕩器電路采用環形振蕩器結構, 它利用亞(ya) 閾值導通的原理, 使得起振電壓降至0. 8 V, 但是這個(ge) 輔助振蕩器在0. 8~ 1. 9 V 的VDD區間裏頻率變化很大, 會(hui) 在電路啟動階段造成很大的浪湧電流, 造成係統的不穩定。
設計的輔助振蕩器克服了以上缺點, 既保證了在0. 8 V 起振, 又避免了振蕩頻率變化過大, 但是, 在輔助振蕩器關(guan) 斷之後由於(yu) 工藝偏差可能會(hui) 在R, S端出現不確定狀態, 導致功耗過大, 並造成後續電路不能正常工作。本文在此基礎上加以改進, 增加M17 管, M18管, 所設計的輔助振蕩器如圖3 所示。

圖3 輔助振蕩器電路
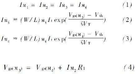
圖3 中, M1~ M13 是低輸入電壓偏置電流電路, 這個(ge) 電路的主要功能是在低輸入電壓下產(chan) 生一個(ge) 恒定的納安級的偏置電流。這一不隨電源電壓變化的偏置電流將為(wei) 圖3 所示的輔助振蕩器提供偏置。M8 ~ M13為(wei) 啟動電路, M3 , M4 都工作在亞(ya) 閾值區:

聯立式(1) ~ 式(4),可以得到:

式中: K = (W/ L ) M4 / ( W/ L ) M3 ,通過式(5) 可以發現,偏置電流I M1 , I M2與(yu) 輸入電源無關(guan) 。
恒流源I I 和I 4 對電容C1 充放電, 該振蕩器的核心模塊是兩(liang) 個(ge) 比較器, M21 , M22 組成COMP1, 該比較器閾值較高, 為(wei) M22 管的導通閾值, 記為(wei) V H = V th。M22 ,M23 , M24 , M25 , M26 , R2 組成COMP2, 該比較器閾值較低, 記為(wei) VL :

因為(wei) M26管的電流很小, 寬長比很大, 故:
![]()
SE 為(wei) 輔助振蕩器切換信號, SEB 為(wei) SE 的反信號。當V DD低於(yu) 1. 9 V 時, SE 為(wei) 高電平, M17 , M18 都截止, 不影響R, S 觸發器的翻轉, 輔助振蕩器工作, 開關(guan) S1 斷開, S2 閉合; 當VDD 高於(yu) 1. 9 V 時, SE 為(wei) 低電平, 輔助振蕩器關(guan) 斷, 開關(guan) S1 閉合, S2 斷開, M17 , M18 都導通, R=1, S= 0, AU XCLK 被鎖定為(wei) 高電平, 既減小了功耗, 也避免了輔助振蕩器關(guan) 斷之後R, S 端出現不確定狀態。
4 電路整體(ti) 仿真結果與(yu) 分析
整體(ti) 電路在0. 5μm CMOS 工藝庫( V thN= 0. 72 V,VthP = - 0. 97 V) 下仿真, 仿真條件為(wei) VIN = 0. 8 V, 仿真結果如圖4 所示。

圖4 兩(liang) 個(ge) 振蕩器的切換
從(cong) 圖4 可以看出, 電路啟動後, 首先輔助振蕩器V( aux clk) 起振, V DD逐漸升高, 升高至1. 4 V 時, 主振蕩器V( mainclk) 起振, 但此時隻有輔助振蕩信號通過開關(guan) S2 傳(chuan) 到功率管的柵極, 當VDD升高至1. 9 V 時, 輔助振蕩器關(guan) 掉, 主振蕩器信號通過開關(guan) S1 傳(chuan) 到功率管的柵極, VDD繼續升高至設定的輸出電壓3. 3 V 以後,由反饋電路控製主振蕩器的開啟與(yu) 關(guan) 斷, 來維持這一輸出電壓。
5 結 語
本文針對輸入電源電壓變化範圍較大, 設計了兩(liang) 種結構不同的振蕩器, 其在在不同電源電壓範圍內(nei) 工作的頻率較穩定, 並利用電壓檢測模塊進行合理的切換, 解決(jue) 了低輸入電壓下電路無法啟動的問題, 是一款適用於(yu) 商業(ye) 開發的DC-DC 升壓型開關(guan) 電源。
轉載請注明出處。







相關文章
熱門資訊
精彩導讀



















關注我們

