含量的表示方法
一、標準氣體(ti) 含量的表示方法
常見的標準氣體(ti) 含量的表示方法有:摩爾分數x;質量摩爾濃度m;質量分數w;質量濃度p;體(ti) 積分數φ;物質的量濃度c。
1、氣體(ti) 的摩爾分數(xB)
組分氣體(ti) B的物質的量與(yu) 標準氣體(ti) 中各組分物質的量的總和之比即為(wei) 標準氣體(ti) 的摩爾分數

式中 nB——標準氣體(ti) 中組分氣體(ti) B的物質的量;
ni——標準氣體(ti) 中各組分物質的量的總和。
此量的量綱為(wei) 1,通常用10-2(%),10-6表示。
2、氣體(ti) 的質量摩爾濃度(mB)
標準氣體(ti) 中組分氣體(ti) B的物質的量除以標準氣體(ti) 的總質量為(wei) 標準氣體(ti) 的質量摩爾濃度。

式中 nB——標準氣體(ti) 中組分氣體(ti) B的物質的量; mA——標準氣體(ti) 的總質量。
常用mol/kg,mol/g ,mmol/g 表示。
3、標準氣體(ti) 的質量分數(wB)
組分氣體(ti) B的質量與(yu) 標準氣體(ti) 中各組分的質量總和之比為(wei) 標準氣體(ti) 的質量分數。

此量的量綱為(wei) 1,通常用10-2(%),10-6表示。
4、標準氣體(ti) 的質量濃度(pB)
組分氣體(ti) B的質量(m)除以標準混合氣體(ti) 的體(ti) 積(V)為(wei) 標準氣體(ti) 的質量濃度。

常用kg/m3,g/L, mg/L ,ug/L 表示。
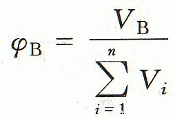
5、標準氣體(ti) 的體(ti) 積分數(φ B)
組分氣體(ti) B的體(ti) 積與(yu) 標準氣體(ti) 中各組分物質體(ti) 積的總和之比即為(wei) 標準氣體(ti) 的體(ti) 積分數。

此量的量綱為(wei) 1,通常用10-2(%),10-6表示。
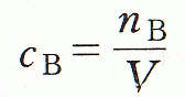
6、標準氣體(ti) 的物質的量濃芳(cB)
組分氣體(ti) B的物質的量與(yu) 標準氣體(ti) 的體(ti) 積之比即為(wei) 標準氣體(ti) 的量濃度。

常用 mol/m3,mol/L 表示。
二、氣體(ti) 含量之間的一般換算
1、摩爾分數(xB)與(yu) 質量濃度(pB)的換算

2、質量分數(wB)與(yu) 質量濃度(pB)的換算
因 wB=mB/m m=p·V(p為(wei) 組分的密度)
又 pB=mB/v mB=pB·V(pB)
故 wB=pB·V/p·V=pB/p
pB=p·wB
3、質量濃度(pB)與(yu) 物質的量濃芳(cB)的換算
由兩(liang) 者的定義(yi) 式可知:
pB=mB/V
cB=nB/V
兩(liang) 者的分母都是標準混合氣體(ti) 的體(ti) 積。則:
pB=cB·mB/nB
轉載請注明出處。







相關文章
熱門資訊
精彩導讀



















關注我們

