高溫或內(nei) 部功耗產(chan) 生的過多熱量可能改變電子元件的特性並導致其關(guan) 機、在指定工作範圍外工作,甚或出現故障。電源管理器件(及其相關(guan) 電路)經常會(hui) 遇到這些問題,因為(wei) 輸入與(yu) 負載之間的任何功耗都會(hui) 導致器件發熱,所以必須將熱量從(cong) 這些器件中驅散出來,使其進入PCB、附近的元器件或周圍的空氣。即使在傳(chuan) 統高效的開關(guan) 電源中,當設計PCB和選擇外部元器件時,也都必須考慮散熱問題。
設計電源管理電路時,在考察散熱問題之前對熱傳(chuan) 遞進行基本了解是很有幫助的。首先,熱量是一種能量,會(hui) 由於(yu) 兩(liang) 個(ge) 係統之間存在溫差而進行傳(chuan) 輸。熱傳(chuan) 遞通過三種方式進行:傳(chuan) 導、對流和輻射。當高溫器件接觸到低溫器件時,會(hui) 發生傳(chuan) 導。高振幅的高溫原子與(yu) 低溫材料的原子碰撞,從(cong) 而增加低溫材料的動能。這種動能的增加導致高溫材料的溫度上升和低溫材料的溫度下降。
在對流中,熱傳(chuan) 遞發生在器件周圍的空氣中。在自然對流中,物體(ti) 加熱周圍的空氣,空氣受熱時膨脹形成真空,導致冷空氣取代熱空氣。因此形成循環氣流,不斷將器件的熱量傳(chuan) 輸給周圍的空氣。另一種形式是強製對流,例如風扇主動吹冷空氣,從(cong) 而加速取代暖空氣。當物體(ti) 將電磁波(熱輻射)發送至周圍環境時就會(hui) 產(chan) 生輻射。輻射熱量無需介質傳(chuan) 遞(熱量可以通過真空輻射)。在PCB中,熱傳(chuan) 遞的主要方法是傳(chuan) 導,其次是對流。
下麵的等式給出了以傳(chuan) 導方式熱傳(chuan) 遞的數學模型:


其中H是傳(chuan) 熱速率(單位為(wei) J/s),K為(wei) 材料的導熱係數,A為(wei) 麵積,(TH–TL)為(wei) 溫差,d為(wei) 距離。當界麵之間的接觸麵積增大、溫差增大或界麵之間的距離減少時,熱量傳(chuan) 導速度加快。可以將熱傳(chuan) 遞模擬成一個(ge) 電路,方法是將能源(熱源或前麵等式中的H)等同於(yu) 電流源,高溫器件與(yu) 低溫器件之間的溫差等同於(yu) 電壓降,(K×A/d)部分作為(wei) 導熱係數,或將倒數(EQ2)等同於(yu) 熱阻(單位為(wei) ℃/W)。通常熱阻表示為(wei) 符號θ或Rθ或隻表示為(wei) RA-B,其中A和B是發生傳(chuan) 熱的兩(liang) 個(ge) 器件。使用電路模擬重寫(xie) 熱傳(chuan) 遞速率等式,得到以下結果:

該模擬可以深入進行,以描述器件的另一個(ge) 熱屬性,稱之為(wei) 熱容。正如將熱阻模擬為(wei) 電阻,可以將熱容(CT,單位為(wei) J/℃)模擬為(wei) 電容。將熱容與(yu) 熱阻並聯獲得熱阻抗(ZT)。圖1所示為(wei) 傳(chuan) 導傳(chuan) 熱的簡化RC模型。能源被模型化為(wei) 電流源,熱阻抗被模型化為(wei) CT與(yu) RT並聯。

圖 1. 簡化的熱阻抗模型。
在電路中,每個(ge) 熱界麵都有熱阻抗。熱阻抗因材料、幾何形狀、大小和方向的不同而各異。係統(或電路)的熱阻抗對環境溫度來說有一個(ge) 總熱阻抗,它可以分解為(wei) 電路中每個(ge) 元件的熱阻抗的並聯和串聯的組合。例如,在半導體(ti) 器件中,晶粒(也稱作結)與(yu) 周圍空氣(稱作熱阻抗)之間的總熱阻抗,即由結到環境之間的熱阻抗(ZJ-A),將是結構中每個(ge) 單獨材料的單個(ge) 熱阻抗的總和。
考慮到 在PCB上安裝的分立MOSFET。穩態熱阻抗(或熱阻RJ-A)是結到器件外殼的熱阻(RJ-C)、器件外殼到散熱器的熱阻(RC-S)與(yu) 散熱器到空氣的熱阻(RS-A)之和。(RJ-A=RJ-C+RC-S+RS-A)。此外,還可以有並行的散熱路徑,例如從(cong) MOSFET結經過器件外殼到PCB,再從(cong) PCB到環境溫度。
通常情況下,半導體(ti) 製造商會(hui) 給出結點到器件外殼的熱阻。另一方麵,RC-S和RS-A主要取決(jue) 於(yu) 散熱器和PCB的屬性。許多因素會(hui) 影響熱阻RC-A或RC-S,包括PCB的層數、到輔助麵的過孔數、與(yu) 其他器件的接近程度以及氣流速率。通常RJ-A會(hui) 列在器件數據表中,但該數字是在特定測試板條件下得出的,因此僅(jin) 適用於(yu) 在相同條件下測量的器件之間的比較。
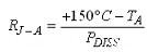
熱阻(RJA)是電子元器件的重要參數,因為(wei) 它是器件散熱的指標(基於(yu) 環境條件和 PCB布板)。換言之,RJ-A可以幫助我們(men) 根據環境條件和功耗估算工作結溫。
開關(guan) 電源中的散熱
電源管理電路中散熱考慮的典型示例,可以參考圖2所示美國國家半導體(ti) 提供的LM3554電路。該器件是一個(ge) 感應升壓轉換器,麵向蜂窩電話應用中的高功率閃光LED。LM3554是一個(ge) 很好的測試工具,因為(wei) 它是一個(ge) 小型器件(1.6mm ( 1.6mm ( 0.6mm),而且可以提供高達6W的輸出功率((1.2A閃光電流在5V LED中)。即使提供85%左右的效率,相對較大的輸出功率能力和微小的16-bump μSMD封裝,該器件都需要承受較高的工作溫度。

圖 2. 美國國家半導體(ti) 的 LM3554 閃光 LED 驅動器測試電路
LM3554中的初始散熱效應的主要表現是器件開關(guan) 的導通電阻增加和器件閾值的改變。在溫度過熱的極端情況下,該器件可能觸及熱關(guan) 機閾值而導致關(guan) 閉。知道準確的RJ-A,可以幫助確定器件在功率運行期間的結溫,並確保電路按照預期可靠地完成應用的要求。
在可能的情況下,該器件能夠擁有3.6V的輸入電壓、3.6V的LED電壓和1.2A的LED電流。在這種情況下,轉換器將輸出電壓升至高於(yu) VIN 300mV。這為(wei) 器件的兩(liang) 個(ge) 並聯電流源(負責調節LED電流)提供了300mV的淨電壓。
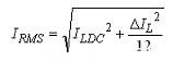
器件的總功耗將為(wei) 同步PFET、NFET和兩(liang) 個(ge) 電流源的功耗之和。PFET和NFET的功耗在電阻元件上,因此必須使用RMS電流來準確估算功耗。此電流就是RMS電感電流乘以開關(guan) 周期(NFET和PFET的導通時間)百分比。如果知道轉換器效率,可以用下麵的等式算出占空比:

針對我們(men) 的情況,VOUT=VLED+300mV,且效率大約為(wei) 90%。這可以算出PFET占空比(1-D)為(wei) 83%,NFET占空比為(wei) 17%。RMS電感電流等式為(wei) :
#p#分頁標題#e#
其中ΔIL為(wei) 峰到峰值電感電流,在我們(men) 的示例中大約為(wei) 140mA,ILDC是通過ILED/(1-D)算出的平均電感電流。
開關(guan) 中的總功耗變為(wei) NFET(RDS_ON=125mΩ) 的45mW加 PFET(RDS_ON=152mΩ)的265mW。此外,電流源的功耗為(wei) 300mV×1.2A=360mW,使得內(nei) 部總功耗達到668mW。數據表中給出的RJ-A為(wei) 60℃/W,且來自4層JEDEC測試板(詳見JESD51-7)。使用該RJ-A時,預測結溫在TA=50℃時為(wei) 83.4℃。這對器件將不構成問題,因為(wei) 它低於(yu) 150℃的熱關(guan) 機閾值,且低於(yu) LM3554數據表中指定的最大工作結溫125℃。
在另一種情況下,可以將 LM3554設置為(wei) 在同一閃光脈衝(chong) 期間恒定輸出+5V。300mV電流源淨電壓現在變為(wei) 5V–3.6V=1.4V,導致電流源功耗為(wei) 1.68W。假設器件在以1.2A電流提供5V電壓時效率仍為(wei) 90%,則占空比為(wei) 35.2%,從(cong) 而使直流電感電流1.85A具有288mA的ΔIL。NFET功耗現在為(wei) 151mW,PFET功耗為(wei) 338mW。總的內(nei) 部功耗2.169W,在TA=50℃時會(hui) 導致高達180℃的核心溫度,這比熱關(guan) 機閾值高30℃,且比最大工作結溫高55℃。
在現實中,該設備不會(hui) 安裝在4LJEDEC測試板上,而會(hui) 安裝在具有不同布線麵的PCB上,它靠近消耗功率的其他元件,且到低層的過孔數也各不相同。所有這些應用變量,加之許多其他因素都會(hui) 顯著影響RJ-A,從(cong) 而降低結溫計算的準確度。
測量熱阻抗(RJ-A和CJ-A)
我們(men) 需要的是代表實際電路的準確RJ-A。測量RJ-A有多種方法,一種方法是使用熱關(guan) 機閾值,將其設置為(wei) +150℃。要用這種方法測量RJ-A,我們(men) 可以讓LM3554在已知功耗(PDISS)下工作,然後慢慢提高環境溫度直到器件關(guan) 機為(wei) 止。該器件具有一個(ge) 內(nei) 部標誌,可以通過I2C兼容接口設置,在觸及熱關(guan) 機閾值時會(hui) 返回‘1’。使用這種方法獲得的RJ-A將為(wei) :

另一種方法是使用器件中的一個(ge) ESD保護二極管,並測量其VF與(yu) 溫度。相較而言這種方法稍微複雜一些,但得出的結果將更準確,這是因為(wei) VF可以在整個(ge) 溫度範圍下進行表征。多數半導體(ti) 器件的每個(ge) 引腳上都有ESD二極管,其陽極連接至GND,陰極連接至各自的引腳。
為(wei) 了測試 LM3554,我們(men) 可以查看LEDI/NTC 引腳,並從(cong) 該引腳拉出小電流(< 10mA),同時讓溫度變化。每個(ge) 引腳的最大絕對額定值最小為(wei) -0.3V,但那是由於(yu) ESD二極管在最高結溫 +150℃時的VF而引致的。如果將電流限製為(wei) 小於(yu) 10mA,我們(men) 可以在不損害器件和增加任何自熱的情況下查看二極管的VF。從(cong) +25℃到+125℃,該引腳的測量結果產(chan) 生線性響應,斜率大約為(wei) 1.3mV/℃。一旦這項工作結束,就可以在測量所選 ESD 二極管VF 的同時,讓器件在已知功耗下工作。當VF 達到穩態時,RJ-A 將為(wei) :

其中VF@TA是ESD二極管在TJ=TA時的VF,VF@SS是ESD二極管在已知功耗(PDISS)下TJ達到穩定狀態溫度之後的VF。
最後一種方法是使用MOSFET的導通電阻隨溫度而發生的變化。這種方法是在器件處於(yu) 上電模式時使用內(nei) 部PFET來完成。LM3554上的上電模式是指器件停止開關(guan) 並持續打開PFET。如果VIN升至比VOUT高150mV時就會(hui) 出現這種情況。在那時,升壓轉換器無需提升VOUT,而PFET會(hui) 使VIN直接到VOUT 。
因為(wei) 電流有些輕微依賴MOSFET的導通電阻,所以有必要在電流接近目標閃光電流時測量 PFET電阻。使用大測試電流的問題是它們(men) 可能導致器件發熱。克服此問題的方法是將閃光超時時間設置為(wei) 最低 32ms,並在示波器上測量PFET的電壓降。在+25℃到+125℃的情況下,使用1.2A閃光電流,結果顯示的斜率大約為(wei) 0.42mΩ/℃ 。要注意的一個(ge) 事情是PFET通過VOUT引腳供電,因此VOUT=5V時,其導通電阻會(hui) 低於(yu) VOUT=3.9V時的電阻值。
使用上述三種方法,當PDISS=1.67W時,使用熱量關(guan) 機測量法得出的結果為(wei) 45℃/W,使用ESD二極管VF測量法得出的結果為(wei) 42℃/W,使用PFET導通電阻法測量的結果為(wei) 48℃/W。圖3顯示了在0.856A閃光LED測試電流脈衝(chong) 期間,PFET的導通電阻以及ILED/NTC的ESD二極管的VF。器件的VIN設置為(wei) 5V,超時時間設置為(wei) 1024ms。VLED為(wei) 3.18V時,使得該電壓強製 LM3554 進入上電模式。在這種模式下,功耗完全由PFET和電流源導致。

圖 3. 閃光脈衝(chong) 期間 LM3554 PFET 的導通電阻和 LEDI/NETC 的 ESD 二極管。
在穩態下,LEDI/NTC的ESD二極管的VF為(wei) -622mV,對應結溫 95.2℃(環境溫度為(wei) 25℃時)。在穩定狀態下,測得的PFET導通電阻為(wei) 154mΩ,對應結溫105℃。圖3 還描繪了LM3554的熱容。VF和RPMOS的響應表現呈現類似於(yu) 一階RC的指數級上升,計算等式如下:

熱容則為(wei) :

使用ESD二極管的正向電壓時獲得的熱容為(wei) 0.009J/℃,使用PFET導通電阻時獲得的熱容為(wei) 0.0044 J/℃。溫度讀數之間的差異可能是由於(yu) 器件上的溫度梯度而造成的。PFET緊鄰電流源,預計其溫度上升將較快,且溫度會(hui) 比LEDI/NTC引腳的ESD二極管高,後者離IC上的功率器件較遠。造成這樣的溫度差異是由於(yu) 器件核心區域兩(liang) 個(ge) 測量點之間的熱阻和熱容引起的。另外,響應大約為(wei) 單次常量指數。實際上,功耗會(hui) 隨著PFET和電流源升溫而發生些微的變化。這將導致隨著結溫上升,PDISS也些微增加。
當處理脈衝(chong) 工作器件(如閃光LED驅動器)時,對熱阻抗模型比對單獨熱阻的考慮深入得多。例如,閃光脈衝(chong) 電流為(wei) 1.2A,VIN為(wei) 5V且VLED為(wei) 3.4V。在這種情況下,器件在上電模式下PDISS=2.14W。當RJ-A為(wei) 48℃/W且環境溫度為(wei) 50℃時,穩定狀態模型指示核心溫度會(hui) 上升至153℃,這比最高工作結溫高出28℃。如果我們(men) 考慮熱容(0.0044℃/J)並將200ms閃光脈衝(chong) 寬度計算在內(nei) ,則可以獲得對核心溫度更好的估算,大約為(wei) 113℃。
轉載請注明出處。








相關文章
熱門資訊
精彩導讀


















關注我們

