電感器和溫度
迄今為(wei) 止對關(guan) 於(yu) LM3554和高溫的討論也適用於(yu) LM3554的功率電感。與(yu) 半導體(ti) 器件(如LM3554)一樣,功率電感器損耗過多熱量將改變器件特性並導致電感和電源工作異常。功率電感溫度過高,通常會(hui) 導致直流繞線電阻增加和飽和電流限製降低。
電感器電阻
電感線圈的電阻溫度係數導致電感直流電阻會(hui) 隨著溫度變化。線圈通常為(wei) 銅製,溫度係數約為(wei) 3.9mΩ/℃,計算其電阻的等式如下:

或相當於(yu) 0.39%/℃變化。
讓我們(men) 再看一下LM3554,評估套件中指定的電感器是Toko生產(chan) 的FDSE0312-2R2。在 TA= 25℃時,測得的電阻為(wei) 137mΩ。在 85℃時,電阻變化 為(wei) 50℃×0.39%=19.5%(或變為(wei) 164mΩ)。在RMS電感電流為(wei) 2A且VIN=3.6V時,電感電阻變化會(hui) 導致效率降低約1.5%。
電感器飽和度
或許在高溫狀況下,功率電感最為(wei) 關(guan) 注的問題是額定飽和電流下降。使用較大的RMS電流時,內(nei) 部功耗導致電感溫度上升,從(cong) 而降低電感的飽和點。在飽和時,電感鐵磁核心材料已達到磁通密度(B(t)),該密度不再隨磁場強度(H(t))成正比增加。相反,當飽和時,由於(yu) 電感電流增加而引起任何磁場強度增加,會(hui) 導致非常小的磁通密度的增加。
如果在示波器上查看開關(guan) 穩壓器電感電流,我們(men) 會(hui) 看到器件進入飽和狀態時,電感電流斜率增加。這相當於(yu) 電感下降。紋波電流的增加將導致 RMS 電流和電感器的開關(guan) 損耗增加,這兩(liang) 項都會(hui) 增加電感的功耗並降低效率。
電感器在特定點達到飽和時會(hui) 產(chan) 生突然的飽和響應,或者會(hui) 與(yu) FDSE0312-2R2 電感器一樣產(chan) 生逐漸的飽和響應。然而,電感器製造商通常會(hui) 將飽和點指定為(wei) 既定電流和溫度下電感值的特定百分比跌幅。
圖4描繪了工作在飽和狀態下電感器的實例。該例子使用TDK生產(chan) 的VLS4010-2R2(2.2μH)電感器,在進入飽和狀態時出現急劇下降。當采用最小閃光脈衝(chong) 寬度32ms,在升壓模式下LM3554會(hui) 顯示出這種效應。較窄的脈衝(chong) 寬度限製了電感器的自熱,從(cong) 而可以通過調節環境溫度來控製電感器的溫度。

圖 4. 電感器飽和與(yu) 溫度。
圖4左上圖顯示了在飽和點以下工作的電感器,具有正常的三角電流波形,可由(V/L×Δt)算出。在峰值電流保持相同且溫度升至50℃(右上圖)時,電感電流斜率開始增至1.76A標記附近,指示顯示電感器的飽和點隨著溫度上升而向下移動。當溫度升到70℃, 然後升到85℃時,隨著電感器達到飽和整個(ge) 電流波形最終出現。
估算電感溫度(熱阻抗)
各種因素都會(hui) 促使電感器的溫度上升。這些因素包括環境溫度、電感器的熱阻抗和電感器的內(nei) 部功耗。利用電感器的直流電阻隨溫度變化這一特性,我們(men) 可以比較準確地估算電感器的工作溫度。這類似於(yu) 使用ESD二極管或PFET導通電阻,在此將電感線圈用作內(nei) 部溫度計。
返回到我們(men) 的電感器電阻與(yu) 溫度對比的等式中去,通過兩(liang) 個(ge) 溫度下電感器電阻的比率可以用下麵的等式算出ΔT:

圖5中所示的測試示例在LM3554的電路中使用了VLS4010ST-2R2,直流電流階躍為(wei) 1.65A。室溫時的電阻開始時為(wei) 65mΩ。超過30秒之後,電感器達到穩態,電阻變為(wei) 73mΩ,相應的穩態工作溫度大約為(wei) 56℃。

圖 5. 電感器熱響應。
使用熱阻(RT)的定義(yi) ,可以獲得:

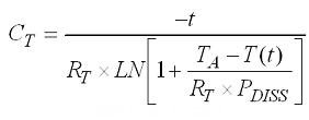
這裏要注意的一件事情是電感器的功耗是其線圈電阻的函數,後者會(hui) 隨著溫度發生變化。因此,需要考慮計算電感器在給定RT的TF。將RT的等式插入電感電阻與(yu) 溫度等式並求解TF可以得出:

其中k為(wei) 。

圖5顯示等效的電感溫度上升與(yu) 時間大約具有一階指數關(guan) 係。這再次得出等式:

采用下麵等式算出的熱容:

了解閃光LED驅動器示例中的電感熱阻可以提供一些有益的見解。因為(wei) 與(yu) 閃光持續時間(小於(yu) 1秒)相比,電感器達到穩定溫度需要相當長的時間,所以采用穩態熱阻估算的滿閃光電流時的電感器工作溫度,很可能會(hui) 過高估算電感器的工作溫度。這可以允許減少在脈衝(chong) 器件(如閃光LED驅動器,而不是穩態電源)中工作的電感器的尺寸。
總結
當處理功耗相對較大的器件時,通常有必要估算電源管理電路的溫度。使用通用熱阻可以很好地比較采用相同封裝的相似器件,但很可能得不到準確的溫度預測。因此,通常有必要采用複雜的熱計算或直接測量熱阻的方法。本文重點介紹了幾種可用於(yu) 測量器件的溫度並獲得器件熱阻的示例。知道準確的器件溫度和器件功耗,從(cong) 而進行熱阻計算。
在知道熱阻之後,利用器件功耗的逐步變化和監控器件溫度可以計算器件熱容。這樣可以更準確地估算由於(yu) 瞬態熱事件導致的器件溫度。本文中列出的示例是通過使用高電流白光LED#p#分頁標題#e#閃光驅動器而完成的,但也同樣適用於(yu) 其他電源管理器件,包括以脈衝(chong) 方式工作及專(zhuan) 為(wei) 長時間工作而設計的器件。
轉載請注明出處。







相關文章
熱門資訊
精彩導讀



















關注我們

