1 實驗裝置及原理
1.1 實驗裝置
圖1是一個(ge) 非線性偏振旋轉Er3+-Yb3+共摻雜光纖鎖模激光器的實驗結構圖。其中增益光纖為(wei) 康寧公司生產(chan) 的Er3+-Yb3+增益光纖,長度為(wei) 1 m,在976 nm處的吸收係數為(wei) 9.6 dB/m,2個(ge) 偏振控製器PC1和PC2用以改變光的偏振角度,ISO為(wei) 偏振相關(guan) 光纖隔離器,這幾個(ge) 器件共同組合產(chan) 生非線性偏振旋轉效應,等效為(wei) 快可飽和吸收體(ti) ,對腔內(nei) 光脈衝(chong) 起選擇、窄化作用,形成穩定的超短脈衝(chong) 輸出。實驗中,使用連接有矽快速光電探測器的帶寬為(wei) 200 MHz的Tek數字示波器(TDS2022B)觀測激光輸出的時域特性,使用多功能光譜分析儀(yi) (Anritus MS9001A)觀測激光的頻譜特性並通過打印機輸出,使用微功率計AI9402A測量激光輸出功率。

鉺鐿共摻環形腔鎖模光纖激光器結構
1.2 被動鎖模原理
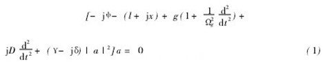
根據H.A.Haus的理論,描述這種被動鎖模的動力學過程表示

式中:l為(wei) 線性損耗;x為(wei) 相移;g為(wei) 增益;Ωg為(wei) 增益線寬;γ為(wei) 可飽和吸收係數;δ為(wei) 自相位調製;ψ為(wei) 頻移導致的相移。O.E.Martinez和R.L.Fork對方程(1)給出了精確解為(wei)

由方程(3),可以解出脈衝(chong) 歸一化寬度τ,歸一化譜寬ωn,增益g,相移ψ和啁啾參數β等各種參數。
當增益與(yu) 損耗平衡,即g=l時,可以得出

一般理論認為(wei) ,當腔內(nei) 具有較大的負的群速色散(GVD),激光將處於(yu) 穩定的運轉狀態,而且可產(chan) 生啁啾很少的短脈衝(chong) ,隨著|GVD|的不斷減少,脈寬逐漸變窄。#p#分頁標題#e#
當GVD接近於(yu) 0時,可以獲得最短的脈寬,但此時激光運轉很不穩定,其原因是因為(wei) 脈寬太窄,使得脈衝(chong) 的有效增益小於(yu) 噪聲(脈衝(chong) )的增益。當增益與(yu) 損耗處於(yu) 臨(lin) 界或小於(yu) 損耗,激光脈衝(chong) 熄滅;當GVD增大到正值,激光又運轉在穩定脈衝(chong) 區,而且在正色散區,脈衝(chong) 和啁啾都很大。對於(yu) Er3+-Yb3+共摻光纖環形激光器,工作波長為(wei) 1.55μm,腔內(nei) 總色散一般為(wei) 負色散,穩定的輸出脈衝(chong) 寬度為(wei) 幾百fs,這與(yu) 實驗結果非常吻合。
1.3 高階諧波鎖模
利用非線性偏振旋轉鎖模的方法,還可以獲得高階諧波鎖模脈衝(chong) ,當偏振控製器調整在某個(ge) 位置時,在較低泵浦功率下便可形成基頻鎖模脈衝(chong) 運轉,當繼續增加泵浦功率,脈衝(chong) 將可以分成2個(ge) 或3個(ge) 脈衝(chong) ,形成二階諧波或三階諧波等高次諧波。在一個(ge) 環形激光器中,當自相位調製器(SPM)與(yu) GVD相平衡時,會(hui) 產(chan) 生孤子激光脈衝(chong) ,這種孤子激光器之所以產(chan) 生高階諧波鎖模運轉,主要機理是高階孤子的非穩定性與(yu) 基態孤子間的相互作用所造成,利用光纖中的孤子理論和非線性薛定諤方程可以定性地說明其產(chan) 生過程。
光纖中的非線性Schr dinger方程為(wei)

式中:E為(wei) 光脈衝(chong) 電場包絡;β″0為(wei) 二階群速度色散;γ為(wei) 光纖非線性參數。
當β″0<0(負色散區),方程具有孤子解,一階孤子解(N=1)為(wei)

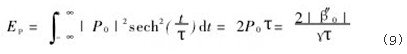
式中:P0為(wei) 一階光孤子的峰值功率,P0=|β″0|/γτ2; ks=π/4z0, z0為(wei) 孤子周期,z0=(π/2)(|β″0|/τ2),τ為(wei) 脈衝(chong) 寬度。可見,工作於(yu) 負色散的鎖模脈衝(chong) 表現出孤子特性,孤子能量Ep可以通過時域積分求得

可見,Ep與(yu) τ成反比,光孤子脈寬τ越窄,能量越大;而高階孤子比基態孤子具有更大的麵積,因此應該具有更大的單脈衝(chong) 能量。但在實際的實驗中並不會(hui) 出現這種情況,因為(wei) 腔內(nei) 高階孤子是不太穩定的,高階孤子在腔內(nei) 會(hui) 周期性的改變形狀,或發生分裂,產(chan) 生低階孤子。又由於(yu) 孤子邊帶光譜的產(chan) 生,限製了其脈寬的進一步減小;在穩態時,光孤子的峰值功率最終達到由APM飽和所決(jue) 定的最大值。由於(yu) 光纖孤子激光器所產(chan) 生的孤子能量具有量子化作用,所以當泵浦功率增大時,Er3+-Yb3+光纖環型腔內(nei) 的孤子固有的光脈衝(chong) 能量並不隨泵浦功率的增加而相應地增大,相反會(hui) 在腔內(nei) 形成多孤子振蕩。並且由於(yu) 孤子間的相互作用,相互排斥,最終會(hui) 形成高次諧波光脈衝(chong) 。這說明,在一個(ge) 光纖環型腔內(nei) ,利用偏振旋轉的鎖模結構也可產(chan) 生高階諧波鎖模光脈衝(chong) 。#p#分頁標題#e#
轉載請注明出處。







相關文章
熱門資訊
精彩導讀



















關注我們

