5、單條寬發光區長壽命多模泵浦激光器
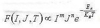
全光纖激光器的光路具有長期的穩定性, 因此,需要與(yu) 之匹配的長壽命泵浦激光器才能獲得整機的長壽命。發展低價(jia) 格的長壽命多模泵浦激光器是發展長壽命光纖激光器的重點。研究表明,半導體(ti) 激光器的 失效率與(yu) 有源區光功率密度的m次方成正比,m的取值範圍在2~3之間;與(yu) 有源區電流密度的n次方成正比,n的取值範圍在3~6之間;與(yu) 有源區的溫度呈指數 依賴關(guan) 係,其數學表達式如下:

其中F為(wei) 失效率,I為(wei) 有源區的光功率密度,J為(wei) 有源區的電流密度,EA為(wei) 激活能,取值在0.4~0.7之間,KB為(wei) 波爾茲(zi) 曼常數,T為(wei) 有源區溫度。
可見,降低有源區光功率密度、電流密度和有源區工作溫度對降低失效率有顯著意義(yi) 。單條寬發光區多模泵浦激光器就是根據這一原理而設計的一種長壽命半導體(ti) 泵浦激光器,其條寬一般取100mm,基本上已接近105/125多模光纖的纖芯直徑,其有源區條寬是列陣半導體(ti) 激光器的幾十倍,對單一發光條來說,同樣 輸出功率和同樣注入電流情況下,其光功率密度和電流密度將降低幾十倍,有源區溫度也會(hui) 有所降低,在忽略其他因素的前提下,單條寬發光區半導體(ti) 泵浦激光器降 低失效率的作用是異常顯著的。目前尾纖輸出功率大於(yu) 5W的單條寬發光區半導體(ti) 泵浦激光器的平均無故障工作時間已經達到50萬(wan) 小時以上。
6、壽命長
從(cong) 前麵的討論我們(men) 已經知道,采用單條寬發光區半導體(ti) 泵浦激光器作為(wei) 光纖激光器的泵浦源,全光纖激光器將具備長壽命的特點,因此,製作具有幾十萬(wan) 小時的長壽命光纖激光器在技術上已經可行。
7、體(ti) 積小重量輕
全光纖激光器由於(yu) 光路可盤繞,光路占用空間較小,在采用單條寬發光區半導體(ti) 泵浦激光器做泵浦源的情況下,泵浦激光器可分散安裝,具有很好的散熱特性,在 安裝密度不高的情況下,采用風冷即可,在安裝密度較高的情況下,隻需少量通水即可滿足散熱要求,因此,全光纖激光器的體(ti) 積比同樣輸出功率的氣體(ti) 和固體(ti) 激光 器係統更小,重量更輕。
8、輸出功率大
光纖激光器輸出功率在突破100W以後,輸出功率水平飛速增長,隻用了 三年多時間,達到的輸出功率水平已經超過了YAG固體(ti) 激光器和CO2氣體(ti) 激光器用三十多年達到的輸出功率水平,目前光纖激光器的實驗室水平已經超過10萬(wan) 瓦,3萬(wan) 瓦的光纖已經商品化,已經銷售的光纖激光器,輸出功率為(wei) 17000W。可以預見,光纖激光器將成為(wei) 長時間連續輸出功率最大的激光器。
9、節水節電節成本#p#分頁標題#e#
光纖激光器具有優(you) 異的熱性能,電光效率較高,節水節電,尤其重要的是可長期免維護使用,可節約大量維護經費和時間,提高工作效率。
10、造價(jia) 不斷降低
全光纖激光器的光路全部由光纖和光纖元件構成,由於(yu) 原料易得,在技術、產(chan) 品和市場成熟之後,可大幅度降低成本。除光路部分外,半導體(ti) 泵浦激光器是構成光纖激光器成本的主要部分,從(cong) 光通信的發展曆史和經驗來看,隨著技術的發展和市場容量的不斷擴大,大幅度降低半導體(ti) 泵浦激光器的成本將成為(wei) 必然趨勢。
轉載請注明出處。







相關文章
熱門資訊
精彩導讀



















關注我們

