自由電子激光具備超快時間分辨、超高空間分辨和超強峰值亮度等特點,是目前最先進的研究工具之一,促進了生命科學、化學、物理學和材料科學等領域的發展。國際上,已先後有8台X射線自由電子激光裝置建成,並投入用戶科學實驗。作為(wei) 新一代光源,與(yu) 同步輻射光源不同的是,自由電子激光放大來自於(yu) 電磁波和相對論電子束在波蕩器磁場中持續的相互作用,其中波蕩器是一種由成千上萬(wan) 的二極磁場組合成周期性正弦磁場的發光元件。

■激光和電子束在二極磁鐵中的相互作用示意圖
自由電子激光包括能量調製、電子束微群聚和功率放大三個(ge) 關(guan) 鍵物理過程。自由電子激光的基本物理過程是:電磁波和電子束之間相互作用導致電子束的能量調製;而能量調製會(hui) 使電子束團在輻射波長尺度內(nei) 形成空間密度調製,又稱微群聚;電子束微群聚會(hui) 增強自由電子激光功率增長;而放大的自由電子激光功率又進一步增強和加快電子束微群聚的過程。
這個(ge) 正反饋機製是目前所有自由電子激光的物理基礎。以往的自由電子激光裝置中,能量調製、電子束微群聚和功率放大,均是在至少積累一段波蕩器效果後才能實驗觀測到。自由電子激光在一個(ge) 波蕩器周期內(nei) 的物理本質,即電磁波和電子束在二極磁場中的能量交換仍缺乏直接測量。
2010年,上海光源中心自由電子激光團隊提出了在單個(ge) 二極磁鐵中觀測自由電子激光基本過程的實驗可行性和相關(guan) 方案(Nucl. Instr. and Meth. A 622, 508)。2021年,上海光源中心自由電子激光團隊實驗證明了激光和相對論電子束在單個(ge) 二極磁鐵中的相互作用。基於(yu) 上海軟X射線自由電子激光裝置,在單塊二極磁鐵中,一束266納米波長的激光被用於(yu) 調製800兆電子伏特能量的電子束,下遊的X波段橫向偏轉腔直接觀察到激光對電子束相空間的調製,精確測量表明電子束能量調製的幅度為(wei) 40千電子伏特。

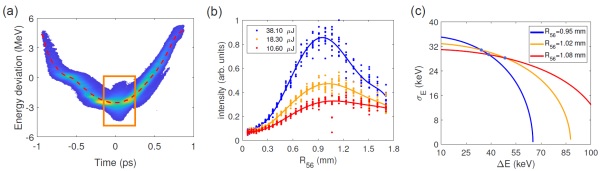
■二極磁鐵中激光-束流相互作用的實驗表征(a)與(yu) 激光相互作用後電子束的縱向相空間,紅色虛線代表電子束的中心能量,橙色框中包含了因相互作用而改變的區域;(b)在不同的激光脈衝(chong) 能量下,電子束通過第一個(ge) 色散段後測量到的相幹輻射強度及相應的擬合曲線;(c)使用相幹輻射產(chan) 生方法來計算能量調製幅度及電子束團的切片能散
實驗進一步證明,二極磁鐵中獲得的能量調製可用於(yu) 驅動外種子型自由電子激光,科研人員利用二極磁鐵中的能量調製、結合原創的能量調製的自放大機製(Phys. Rev. Lett., 126, 084801),實現了種子激光的6次諧波,即44納米自由電子激光放大出光。
該研究完成了探索自由電子激光物理本質的一項重要實驗測量,揭示了自由電子激光基本的物理過程,為(wei) 探究和利用激光與(yu) 電子束的相互作用開辟了新方向。實驗結果證明一塊簡單的二極磁鐵可作為(wei) 引入電子束能量調製的有效工具,這為(wei) 開發新型的激光加熱係統、適用於(yu) 等離子體(ti) 尾波場加速器束流的能量調製,以及未來相幹光源的新型波蕩器開辟了新道路。
7月29日,相關(guan) 研究成果以First observation of laser-beam interaction in a dipole magnet為(wei) 題,以研究快報的形式發表在Advanced Photonics上。研究工作得到國家自然科學基金重點項目、國家重點研發計劃、中科院和上海市的支持。
轉載請注明出處。







相關文章
熱門資訊
精彩導讀



















關注我們

