摘要:
星載激光測距精度是影響激光測高儀(yi) 幾何檢校與(yu) 處理精度的主要來源之一。針對由全波形星載激光模擬信號經數字化處理後的量化誤差帶來的激光測距提取精度不高、穩定性低的問題,本文提出一種全波形星載激光測距誤差抑製的滑動窗口高斯擬合算法。該方法利用滑動窗口剔除波峰附近似噪聲點,並基於(yu) 高斯曲線擬合優(you) 化波形峰值,從(cong) 而精化激光測距值。然後以高分七號國產(chan) 星載激光測高儀(yi) 為(wei) 試驗對象,利用冰麵、內(nei) 陸湖麵和平坦陸地地表進行激光高程相對和絕對精度對比驗證。結果表明,相對於(yu) 一般峰值方法,本文算法使得激光測距精度提升了7.5 cm;基於(yu) 本文方法提取的測距值,計算的激光高程相對精度提升4.2 cm;利用機載LiDAR點雲(yun) 數據驗證,高程絕對精度提升了4.5 cm;充分說明本文方法可作為(wei) 有效減少星載激光測距隨機誤差的一種方法,為(wei) 高分七號衛星亞(ya) 米級高程測量精度處理提供了不可或缺的基礎。
關(guan) 鍵詞:星載全波形激光;測距精度;一般峰值法;滑動窗口;相對精度;絕對精度
閱讀全文:https://xb.sinomaps.com/article/2021/1001-1595/2021-9-1240.htm
引 言
星載激光測高儀(yi) 作為(wei) 主動式測量設備,因其較高的測距精度,已廣泛被用於(yu) 深空探測和對地觀測[1]。在對地觀測方麵,2003年1月美國首次發射了GLAS(geoscience laser altimeter system)激光測高係統[2-3],而後我國於(yu) 2016年5月發射資源三號02星,該星搭載了一台激光測高儀(yi) 作為(wei) 試驗性載荷用於(yu) 對地觀測[4-6]。隨著我國激光技術的發展,我國於(yu) 2019年11月發射了高分七號(GF-7)星載激光測高係統[7-8],2020年7月發射了資源三號03星激光測高儀(yi) [9],同年12月我國發射的高分十四號衛星(天繪三號)也搭載了一套激光測高係統,2021年還將發射陸地生態碳衛星激光測高係統。
星載激光測高儀(yi) 在軌後,研究人員主要關(guan) 注於(yu) 修正衛星在軌後激光指向角及測距係統誤差[1, 4, 10-14],卻鮮有對由激光時間測量引起的測距隨機誤差進行改正的研究。基於(yu) 閾值時刻鑒別體(ti) 製的星載激光測高儀(yi) ,一般利用前後緣閾值時刻估算波形重心位置作為(wei) 激光出光與(yu) 返回時刻,進行激光渡越時間測量[15-17],計算激光測距值。這種模式下測距隨機誤差難以被發現,測距精度相對較低。對於(yu) 全波形星載激光測高儀(yi) (如GLAS,GF-7、陸地生態碳衛星、天繪三號衛星),其測距方式通過發射與(yu) 返回波形峰值時間差計算得到[18],其測時原理如圖 1所示。由於(yu) 激光模擬回波信號經數字化處理後的量化誤差存在,導致基於(yu) 波形獲取的時間存在一個(ge) 微小的隨機誤差,這將產(chan) 生厘米級的測距隨機誤差。而該測距誤差,對於(yu) 如高分七號搭載的厘米級別測距精度的全波形激光測高儀(yi) 而言,往往不應被忽略。

圖1 全波形星載激光測高儀(yi) 測時原理示意
為(wei) 了減小全波形星載激光測高儀(yi) 測距隨機誤差,本文針對其發射與(yu) 返回波形,提出了一種依賴峰值初始位置的全波形星載激光測距誤差抑製的滑動窗口高斯擬合算法。該方法在確定峰值位置後,應用直線判斷原理,抑製了波形中噪聲,隨後利用有效波形點開展波形擬合,確定最優(you) 峰值時刻,從(cong) 而提取精確的激光測距值。由於(yu) GF-7衛星在軌運行期間激光指向整體(ti) 精度優(you) 於(yu) 1.5″,使得由激光指向抖動引起激光在平坦地形的測距誤差可以忽略不計。故選取平靜的內(nei) 陸湖麵、冰麵及江蘇平地為(wei) 試驗區域,以GF-7星載激光數據為(wei) 試驗對象,利用一般峰值法與(yu) 本文方法提取的測距值,通過計算湖麵與(yu) 冰麵的激光相對高程精度,以及利用高精度LiDAR[19]計算平地的絕對高程精度,從(cong) 而驗證了本文方法對測距隨機誤差的改進程度。
全波形星載激光測距提取算法
1
基於(yu) 一般峰值法提取的測距誤差分析
通常情況下,波形采樣間隔非常小,大多數大氣和地形條件下激光獲取的回波近乎平滑。一般全波形激光發射和返回波形的最大值對應時刻即為(wei) 激光發射或者返回時刻,根據它們(men) 的時間差計算渡越時間,稱為(wei) 一般峰值法。然而,實際在軌工作中,星載激光模擬回波信號經數字化處理後產(chan) 生量化誤差,從(cong) 而導致了波形峰值處離散采樣點存在似噪聲的波動,使得部分情況下發射與(yu) 返回波形出現多個(ge) 最大值,或是峰值點並不是真實的波形峰值點(圖 2、圖 3)等情況,最終導致基於(yu) 一般峰值法計算的激光測距存在明顯的隨機誤差。

圖2 GF-7星載激光測高儀(yi) 3種典型非標準高斯發射波形峰值

圖3 GF-7星載激光測高儀(yi) 三種典型非標準高斯返回波形峰值
如圖 3所示,一般峰值法依據發射與(yu) 返回波形提取的激光渡越時間將產(chan) 生1~5個(ge) 采樣間隔的隨機誤差,對於(yu) 目前較高的波形0.5 ns采樣頻率(2 GHz)的GF-7星載激光會(hui) 導致0.05~2.5 ns時間測量誤差,即0.075~0.375 m的測距誤差。對於(yu) 其他常用的低采樣頻率星載激光測高儀(yi) 來說,一般峰值法帶來的隨機測距誤差將翻倍。綜上,對於(yu) 全波形星載激光測高儀(yi) ,一般峰值法提取的激光渡越時間直接影響了激光的測距精度,繼而影響星載激光測高精度。
2
基於(yu) 滑動窗口的高斯曲線擬合峰值的測距誤差抑製
2.1 波形噪聲抑製與(yu) 激光渡越時間提取
針對全波形激光模擬回波信號經數字化處理後產(chan) 生量化誤差,引起的激光測距隨機誤差,本文提出了一種全波形星載激光測距誤差抑製的滑動窗口高斯擬合方法,適用於(yu) 星載激光各種情況下的發射與(yu) 返回波形峰值擬合,方法基本流程如圖 4所示。

圖4 基於(yu) 滑動窗口的高斯曲線擬合方法流程
依據上述流程,本文方法核心步驟如下:
(1) 波形初始峰值檢索。
根據輸入波形查找到波形最大值作為(wei) 初始峰值,以它為(wei) 中心將波形分為(wei) 左側(ce) (上升沿)與(yu) 右側(ce) (下降沿)波形進行算法實現。
(2) 基於(yu) 滑動窗口波峰左側(ce) (右側(ce) )波形有效點提取。
算法設置1×3窗口,由初始峰值點沿波形下降方向(作為(wei) 正向)進行滑動檢索,沿正向方向單個(ge) 窗口內(nei) 第1個(ge) 點定義(yi) 為(wei) P1,第2、3個(ge) 點分別定義(yi) 為(wei) P2、P3。若P2=P1,剔除P1,窗口起點滑動至P2重新獲取3個(ge) 波形采樣點計算,直至P2≠P1。此時利用窗口內(nei) 前兩(liang) 個(ge) 點P1(x1, y1)和P2(x2, y2)構建的正向直線L為(wei)
(1)
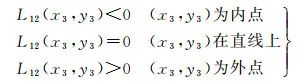
對於(yu) 已構建的正向直線,窗口內(nei) 第3個(ge) 波形點所在位置可定義(yi) 為(wei) 3類。①直線上點;②內(nei) 點:沿正向直線L前進方向右側(ce) 點;③外點:沿正向直線L前進方向左側(ce) 點。將窗口內(nei) 波形第3個(ge) 點P3(x3, y3),代入式(1),進行內(nei) 外點判斷[20],計算公式為(wei)

(2)
對於(yu) 標準高斯波形,波峰右側(ce) 波形沿下降方向窗口內(nei) 第3個(ge) 點始終為(wei) 內(nei) 點;波峰左側(ce) 恰好相反,窗口內(nei) 第3個(ge) 點始終為(wei) 外點,如圖 5(a)所示。

圖5 高斯波形采樣點分布與(yu) 波峰右側(ce) 波形噪聲剔除
實際在軌星載激光波形,1×3的窗口內(nei) 第3個(ge) 點P3僅(jin) 存在兩(liang) 類情況:①波峰左側(ce) 波形P3為(wei) 外點或者右側(ce) 波形P3為(wei) 內(nei) 點;②P3為(wei) 內(nei) 點(波峰左側(ce) 波形)或為(wei) 外點(波峰右側(ce) 波形)。當在第1種情況下,P1、P2、P3滿足標準高斯曲線分布,直接保留P1、P2、P3,窗口起點滑動至P2重新計算。當在第2種情況下,P3為(wei) 波形凸點;其中,若P3y=P1y,P1, P2為(wei) 噪聲點,直接剔除且保留P3,窗口起點滑動至P3再次計算;若P3y≠P1y,P2為(wei) 噪聲點直接剔除,保留P1, P3且窗口起點滑動至P3再次計算(以波峰右側(ce) 波形為(wei) 例,示意圖如圖 5(b)所示)。上述兩(liang) 種情況下,直至波峰左側(ce) 和右側(ce) 波形同時各保留N個(ge) 凸點(N≥2)時停止試驗,對於(yu) GF-7星載激光,本文設置N為(wei) 6。
(3) 高斯曲線擬合。
星載激光測高儀(yi) 發射與(yu) 返回波形均滿足標準高斯分布,利用高斯曲線方程對選定的N個(ge) 波形擬合點進行波形擬合,曲線擬合方程為(wei) [21]
(3)
式中,y為(wei) 波形擬合點幅值;x為(wei) 波形擬合點時刻;x0為(wei) 擬合波形峰值時刻;δ為(wei) 擬合波形脈寬;A為(wei) 擬合波形幅值。
2.2 激光測距值計算
根據激光計時係統記錄的發射與(yu) 返回波形起始時間,加上它們(men) 各自到波峰位置的時間差即可計算出激光渡越時間,並轉換為(wei) 激光測距值。以GF-7全波形星載激光測高儀(yi) 為(wei) 例,其測距公式為(wei) [15]
(5)
式中,Rlaser為(wei) 星載激光精確測距值;τR為(wei) 激光渡越時間;T1為(wei) 發射波形起點時間;T2為(wei) 返回波形起點時間;Twf為(wei) 發射波形峰值至發射波形起點時間;Techo為(wei) 返回波形峰值至返回起點時間;a為(wei) 激光計時係統常數因子;b為(wei) 激光計時偏移改正量;c為(wei) 光速,c=299 792 458 m/s。
3
基於(yu) 激光腳點高程的測距精度驗證
本文采用控製變量法,在僅(jin) 改變激光測距值條件下進行激光腳點高程計算,對比在不同測距值下的高程精度。首先,根據星載激光在軌幾何定位原理,考慮大氣[22-23]、潮汐[24-25]引起的測距誤差,構建嚴(yan) 密幾何定位模型[4];然後,利用一般峰值法與(yu) 本文方法提取的測距值分別計算激光點高程;最後,利用平靜湖麵、冰麵及高精度LiDAR數據,進行兩(liang) 類測距值的激光點高程相對精度與(yu) 絕對精度對比。其流程如圖 6所示。

圖6 基於(yu) 激光腳點高程的測距精度驗證流程
(1) 基於(yu) 激光測高相對精度的測距驗證。
借助內(nei) 陸平靜的湖麵和冰麵,計算激光在湖麵或者冰麵上各點的高程,隨後統計該湖麵或冰麵上的激光高程標準偏差
(6)
式中,hRelative為(wei) 湖麵或冰麵激光高程標準偏差;hi為(wei) 湖麵第i激光點高程;
為(wei) 湖麵n個(ge) 激光點高程均值。
理想條件下,在同一平靜的湖麵或者冰麵激光腳點高程基本一致。由於(yu) 激光測距隨機誤差存在,同一平靜湖麵和冰麵激光高程會(hui) 存在一定波動,可采用激光點高程標準偏差衡量測距精度,即同一湖麵或冰麵激光高程標差偏差越小,測距精度越高[4]。
(2) 基於(yu) 激光測高絕對精度的測距驗證。
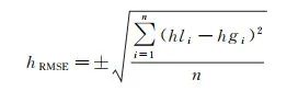
將激光測距值作為(wei) 影響激光腳點高程唯一變量,選取高精度的地麵控製數據,如:RTK控製點,高精度LiDAR點雲(yun) ,驗證激光腳點高程絕對精度。通過計算激光點與(yu) 地麵控製點高程差值(絕對精度)的均值hmean與(yu) 中誤差hRMSE,用於(yu) 對比不同測距值下的激光高程絕對精度,其均值與(yu) 中誤差計算公式為(wei) [4]
(7)

(8)
式中,hli為(wei) 第i激光點高程;hgi為(wei) 第i激光點地麵實際高程;n為(wei) 試驗中的激光點個(ge) 數。
試驗與(yu) 驗證
1
試驗數據
本文以GF-7星載激光測高儀(yi) 為(wei) 試驗對象,其采用雙波束激光同時對地觀測,每條波束發射能量均為(wei) 100~180 mJ,脈寬為(wei) 4~8 ns,發散角為(wei) 30 μrad[8]。激光接收係統采用數字化回波采樣設備,同時記錄下發射與(yu) 返回高增益和低增益波形,波形采樣間隔為(wei) 0.5 ns,回波最大采樣長度為(wei) 1200個(ge) 采樣間隔[7]。
由於(yu) GF-7衛星過頂時間短,激光地麵點數據較少,地麵密度小,故而在基於(yu) 激光測高相對精度的測距驗證試驗中,選取湖泊較大的瑞典維納恩湖和我國江蘇省太湖作為(wei) 試驗區域。維納恩湖位於(yu) 瑞典南部,最北邊緯度約為(wei) 北緯59.3°,GF-7星載激光經過該湖泊的數據為(wei) 2019年12月19日的第691軌,此時維納恩湖已經進入寒冷冰期,湖麵已變成厚厚的冰麵。激光在該湖泊分布如圖 7所示,由於(yu) 天氣因素,波束1點有效點8個(ge) ,波束2有有效點5個(ge) 。太湖常年無冰期,風浪較小,適於(yu) 進行試驗,其中GF-7過太湖的激光數據為(wei) 2020年5月8日第2844軌,如圖 8中東(dong) 南角所示,但由於(yu) 激光測量時地表雲(yun) 層較厚導致波束1部分數據無返回信號,波束2湖麵無激光點。故采用波束1位於(yu) 太湖湖麵8個(ge) 有效激光點(南北跨越50 km)。

圖7 維納恩湖冰麵試驗區域及其試驗數據分布

圖8 江蘇省試驗區域與(yu) 試驗數據分布
基於(yu) 激光測高絕對精度的測距驗證試驗,本文選取GF-7星載激光過江蘇省西北部宿遷地區的激光點,如圖 8中西北角所示,該數據為(wei) 2019年12月12日GF-7衛星第595軌。該區域範圍為(wei) :33.152 46°N—34.683 58°N,118.104 62°E—118.619 99°E,其中波束1共55個(ge) 激光點,波束2共67個(ge) 激光點。用於(yu) 進行激光點高程絕對精度驗證數據,為(wei) 采用徠卡ALS70機載激光掃描係統獲取區域內(nei) 的LiDAR點雲(yun) 數據。該設備最大脈衝(chong) 頻率為(wei) 500 kHz,最大掃描頻率為(wei) 200 Hz,最大視場角為(wei) 75°,可接收無限次回波記錄。現場測量時飛行航高為(wei) 2400 m,地麵光斑大小約為(wei) 60 cm,獲取的點雲(yun) 密度約為(wei) 1.53/m2,高程精度中誤差為(wei) 0.12 m,數據采集時間為(wei) 2018年,獲取的數據麵積約3432 km2。
2
基於(yu) 平靜湖麵的激光高程相對精度驗證
2.1 波形噪聲抑製試驗與(yu) 分析
采用本文基於(yu) 滑動窗口高斯擬合方法,分別對GF-7星載激光第2844軌波束1湖麵上8個(ge) 激光點,以及第691軌冰麵上波束1的8個(ge) 激光點和波束2的5個(ge) 激光點,共計21個(ge) 激光點的發射與(yu) 返回波形進行試驗。剔除波形中噪聲點,利用自動挑選出波峰周圍12個(ge) 波形點進行波形峰值擬合,3類典型的發射與(yu) 返回波形擬合結果如圖 9和圖 10所示。衛星實際在軌後,激光波形峰值形狀主要為(wei) 6種情況,其中發射波形3種,返回波形3種,以下利用本文方法對這6種情況下的波形擬合結果進行詳細分析。

圖9 發射波形擬合結果

圖10 返回波形擬合結果
針對以上6種不同的情況下的波形,由整體(ti) 結果可以看出,本文算法均能準確地擬合出回波波形,其中每類波形脈寬吻合度極高,擬合波形峰值與(yu) 實際回波最大值點幅值相當。從(cong) 擬合波形細節觀察,本文算法避開了各種情況下的原始波形中噪聲點;且在上述6種典型波形情況下,擬合後波形峰值均能位於(yu) 原始波形幅值最大的兩(liang) 個(ge) 采樣點之間。充分說明本文算法能夠有效地擬合出實際波形的峰值,抑製激光發射與(yu) 回波波形中噪聲,從(cong) 而可根據擬合後的波峰即可精確獲取激光發射或返回波形時刻。
根據一般峰值法與(yu) 本文方法,計算第691軌冰麵上波束1的8個(ge) 激光點和波束2的5個(ge) 激光點的發射脈衝(chong) 時刻(Twf)與(yu) 返回時刻(Techo),結果見表 1。兩(liang) 種方法計算的發射和返回波形峰值時間差分別為(wei) ΔTwf、ΔTecho;由兩(liang) 種方法計算的測距差值為(wei) ΔTrange。
表1 一般峰值法與(yu) 本文方法提取的激光渡越時間差值

由表 1結果可分析,無論是星載激光測高儀(yi) 發射波形還是返回波形,經本文方法擬合後波形峰值時刻發生了一定偏移。其中,相對於(yu) 一般峰值法,本文方法提取的發射波形峰值點位置偏移了0.235 ns;本文方法提取的返回波形峰值點位置偏移了0.49 ns。將發射波形與(yu) 返回波形峰值偏移量應用於(yu) GF-7星載激光測高儀(yi) 測距計算式(4)之中,本文方法提取的激光渡越時間與(yu) 一般峰值法提取的渡越時間偏差為(wei) 0.50 ns,相當於(yu) 7.5 cm的測距誤差。根據上述分析可知,本文方法能夠明顯減小激光測距隨機誤差。
2.2 平靜湖麵激光高程相對精度驗證
為(wei) 分析本文方法提取的激光測距值,能否有效提升星載激光測高儀(yi) 相對測高精度。根據在軌檢校後激光指向角,分別利用一般峰值法與(yu) 本文方法提取的測距值,對第2844軌波束1太湖湖麵上8個(ge) 激光點,以及第691軌冰麵上波束1的8個(ge) 激光點和波束2的5個(ge) 激光點進行激光腳點高程解算,並轉換至正常高,結果見表 2、表 3。試驗中,僅(jin) 有激光測距唯一變量,其餘(yu) 參數,如激光指向、大氣改正/潮汐改正值、高程異常等完全一致。
表2 GF-7激光點在太湖湖麵高程相對精度

表3 GF-7激光點在瑞典維納恩湖冰麵高程相對精度


根據表 2、表 3結果可以看出,在維納恩湖冰麵上,GF-7星載激光波束1與(yu) 波束2高程相對精度基本一致,其中利用一般峰值法提取的激光測距值計算的激光高程標準偏差為(wei) 0.125 m,基於(yu) 本文方法提取的激光測距值計算相同激光點高程的標準偏差為(wei) 0.082 m。對於(yu) 內(nei) 陸太湖,利用一般峰值法提取的激光測距值計算太湖湖麵8個(ge) 激光點正常高的標準偏差為(wei) 0.123 m;而基於(yu) 本文方法提取的激光測距值計算相同激光點正常高的偏差為(wei) 0.065 m。其中本文方法對於(yu) 太湖湖麵的激光點精度提升更高,然而實際情況下維納恩湖冰麵結果更加準確、可信,因為(wei) 太湖湖麵或多或少存在一定風浪,產(chan) 生了該現象。綜上,本文方法提取的激光測距值對星載激光測高儀(yi) 相對高程精度提升了近4.2 cm,由原始的12.5 cm提升至8.3 cm。
假設理想條件下,即激光測距無誤差、同一無風浪湖麵或冰麵上的激光測高應該完全一致。因此,激光在冰麵或無風浪湖麵的高程相對偏差直接大致可以反映出星載激光測高儀(yi) 測距精度。結合表 3冰麵的試驗結果分析,由表 1中可以看出,相對於(yu) 一般峰值法,基於(yu) 本文方法提取的激光測距精度提升了7.5 cm。
3
基於(yu) 高精度機載LiDAR的激光高程絕對精度驗證
分別對GF-7第595軌江蘇境內(nei) 的波束1的55個(ge) 激光點和波束2的67個(ge) 激光點進行波形擬合,並利用一般峰值法與(yu) 本文方法提取出兩(liang) 套測距值。在其他參數完全一致的條件下,根據激光幾何定位模型計算每個(ge) 激光腳點大地坐標。從(cong) 激光足印落點位置,發現GF-7衛星第595軌激光過宿遷市等多個(ge) 城區,如圖 8所示,部分星載激光點落在房屋等建築與(yu) 林木上。剔除這些異常激光點後,波束1和波束2分別剩餘(yu) 48和61個(ge) 激光點。利用機載LiDAR點雲(yun) 內(nei) 插激光點高程,將激光高程與(yu) 內(nei) 插的LiDAR的高程差的均值和中誤差作為(wei) GF-7星載激光高程絕對精度。GF-7星載激光平地地區兩(liang) 類測距計算的高程絕對精度如圖 11和圖 12所示。

圖11 兩(liang) 類測距值下第595軌波束1激光高程絕對精度

圖12 兩(liang) 類測距值下第595軌波束2激光高程絕對精度
由圖 11和圖 12結果顯示,無論是GF-7激光波束1或波束2,本文方法提取的測距值計算的激光高程差曲線向0值附近收縮,可判斷出本文方法能夠明顯提升星載激光高程絕對精度。為(wei) 定量分析其對激光高程絕對精度提升空間,統計上述波束1與(yu) 波束2所有點在兩(liang) 類測距值下的均值與(yu) 中誤差,結果見表 4。
表4 兩(liang) 類測距值下平地地區激光測高絕對精度

由表 4可以看出,在平原地區,基於(yu) 一般峰值法提取的測距值計算的GF-7星載激光波束1激光高程絕對精度為(wei) -0.056±0.192 m;基於(yu) 本文方法提取的測距值計算的波束1激光高程絕對精度為(wei) -0.040±0.177 m。同理,GF-7星載激光波束2在兩(liang) 類測距值下的高程絕對精度分別為(wei) -0.038±0.238 m、-0.029±0.189 m。總體(ti) 來看,本文方法可將GF-7星載激光高程絕對精度由初始-0.047±0.215 m提升至-0.035±0.183 m,提升了4.5 cm。從(cong) 量級上看,高程絕對精度提升不大,但對於(yu) 絕對高程精度本已非常高的GF-7星載激光測高儀(yi) 而言,再提升4.5 cm精度具有十分重要的現實意義(yi) 。
結論
本文在分析星載激光測高儀(yi) 全波形數據過程中,發現波峰附近存在明顯類似噪聲的現象,采用一般峰值法提取的測距值存在較大隨機誤差的問題,故而提出了一種全波形星載激光測距誤差抑製的滑動窗口高斯擬合算法,用於(yu) 提取激光測距值,該方法明顯提高了星載激光測距精度。利用一般峰值法與(yu) 本文方法提取的測距值,對瑞典維納恩湖冰麵、江蘇太湖湖麵,以及江蘇平地地區的GF-7星載激光數據,分別進行激光高程相對與(yu) 絕對精度驗證,得到相關(guan) 結論如下:
(1) 本文方法對噪聲不敏感,可適用於(yu) 星載激光各類情況下波形,正確擬合出波峰位置。本文方法提取的測距值,較一般峰值法,測距精度提升了7.5 cm。
(2) 利用瑞典維納恩湖冰麵的GF-7激光點為(wei) 試驗對象,經驗證結果表明,經本文方法提取的激光測距值,計算的高程相對精度提升了4.2 cm。
(3) 以平地地區高精度機載LiDAR點雲(yun) 為(wei) 高程驗證數據,本文方法相對一般峰值法提取的測距值,計算的激光高程絕對精度提升了4.5 cm。
綜上,本文提出的方法能夠抑製激光發射與(yu) 回波波形噪聲,有效地減小全波形星載激光測距隨機誤差,提升了激光腳點高程精度,目前已用於(yu) GF-7星載激光數據業(ye) 務化處理中。針對不同地物區域的星載激光返回波形引起的測距誤差,還需進一步開展深入的研究分析。
轉載請注明出處。







相關文章
熱門資訊
精彩導讀



















關注我們

