-
全球激光濃縮公司獲得建設運營許可證
9月25日,核能合作夥(huo) 伴美國通用電氣公司和總部位於(yu) 東(dong) 京的日立公司收到聯邦政府的許可證,批準它們(men) 建造第一個(ge) 使用機密激光技術的鈾濃縮工廠,該工廠將為(wei) 商用反應堆提供燃料。 許可證由...
2012-09-27 -
天津市激光技術研究所所長張桂華:不放過0.01毫米誤差
人民網天津視窗9月24日電:提起激光,絕大多數人都會(hui) 覺得那是莫測高深的尖端科技,而對於(yu) 天津市激光技術研究所黨(dang) 委書(shu) 記、所長張桂華來說,它則是一項值得奉獻終生的事業(ye) 。25年來,她始...
2012-09-25 -
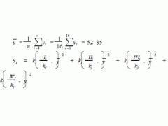
激光吸光塗料配製及工藝優應用(三)
3紅外吸收光譜試驗 為(wei) 了驗證A4B3C4組合優(you) 於(yu) A4B3C2組合,進行了紅外吸收光譜試驗。紅外吸收光譜試驗可以測定某些特征峰值光的透過率,透過率越低,說明吸光效果越好。對於(yu) CO2激光塗料,主要...
2012-09-23 -
激光吸光塗料配製及工藝優應用(二)
2正交試驗 2.1正交試驗組合 激光參數選定P=2100W,掃描速度F=1000mm/min, 光斑 為(wei) 10mm1mm的矩形光斑。 正交試驗確定的塗料,在以上工藝參數下,經CO2激光掃描後,表麵發生相變硬化。由於(yu) 不同吸光...
2012-09-23 -
激光吸光塗料配製及工藝優應用(一)
摘要: 激光加工 技術實現了光、機、電技術相結合,是一種先進製造技術,目前正處於(yu) 向傳(chuan) 統製造技術中許多工藝過程積極滲透的階段。金屬基體(ti) 表麵反光嚴(yan) 重,在激光加工過程中造成了大量...
2012-09-23 -
管狀工件內表麵激光強化技術及裝備
一.專(zhuan) 利技術: 1.管狀工件內(nei) 表麵 激光 強化方法與(yu) 裝置(國防發明),發明專(zhuan) 利授權號:99116728.7 2.金屬基體(ti) 與(yu) 塗鍍層之間的界麵激光強韌化方法,發明專(zhuan) 利號授權號:ZL02149191.7 3.用於(yu) 細小狹...
2012-09-23 -
福建:高端裝備製造業高位發力
盾構機有了福州產(chan) ,軌道客車有了泉州產(chan) 下半年以來,我省高端裝備製造業(ye) 捷報頻傳(chuan) 。根據我省加快戰略性新興(xing) 產(chan) 業(ye) 發展的目標,到2015年,全省高端裝備製造業(ye) 將實現銷售收入1000億(yi) 元,年均增...
2012-09-22 -
北美製造業回流 機械行業應如何應對新形勢?
美國奧巴馬政府在反思金融危機教訓之後,提出了再工業(ye) 化戰略,采取了一係列措施,包括對海外生產(chan) 遷返回國的公司予以稅收優(you) 惠刺激、對沒有遷返回國的公司征收懲罰性稅收等,希望提振...
2012-09-19
排行榜
編輯推薦
關注我們









