2正交試驗
2.1正交試驗組合
激光參數選定P=2100W,掃描速度F=1000mm/min,光斑為(wei) 10mm×1mm的矩形光斑。
正交試驗確定的塗料,在以上工藝參數下,經CO2激光掃描後,表麵發生相變硬化。由於(yu) 不同吸光塗料的吸光性能不同,各試樣表麵硬度也會(hui) 不同。由於(yu) 冷卻速度相同,因此,對相變硬化組織產(chan) 生影響的主要是能量吸收的多少。所以,在未發生熔凝的情況下,吸光塗料的吸光率越高,相變硬化層的表麵硬度也越高。本試驗中,用HT500洛氏硬度計對激光處理後的試樣沿寬度方向等距離測試表麵硬度,測試結果如表1所示。
2.2試驗數據分析
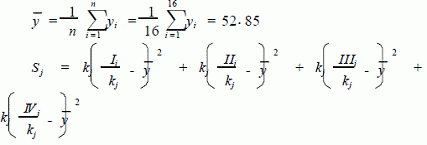
根據正交實驗方差法進行數據處理,見表2。

表1正交試驗組合及表麵硬度(HRC)測試

表2各因子各水平的指標平均值

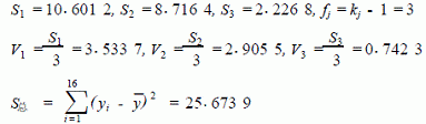
注:極差:D1=2.14;D2=1.80;D3=0.88。
計算得:
#p#分頁標題#e#
誤差列:Se=S總-(S1+S2+S3)=4.1295,
![]()
方差之比:
![]()
查F分布表:
對於(yu) F1
F(α=0.025,f1=3,f2=6)=6.5988>F1
F(α=0.05,f1=3,f2=6)=4.7571
對於(yu) F2
F(α=0.05,f1=3,f2=6)=4.7571>F2
F(α=0.10,f1=3,f2=6)=3.2888
對於(yu) F3
F(α=0.40,f1=3,f2=6)=1.1581>F3
F(α=0.45,f1=3,f2=6)=1.0127
由以上數據計算可得:#p#分頁標題#e#
(1)顯著性分析
由各方差比可知:氧化釔含量對指標表麵硬度的影響在0.05水平上顯著;膨潤土含量對指標的影響在在0.1水平上顯著;而球磨時間對指標的影響在0.45水平上才顯著,說明此列可信度較低。
(2)指標隨各因素的變化規律
圖2是根據表1及表2繪製的試驗指標隨各因素的變化趨勢圖。

圖2 指標隨各因素的變化趨勢
從(cong) 圖2可以看出:隨著氧化釔含量的增加,指標先降低後升高;而對膨潤土來說,隨著其含量的增加,指標先升高後降低;對於(yu) 球磨時間對指標的影響規律,在0.45水平上才具有顯著性,所以已不具備可信度。
(3)最優(you) 配比及工藝
由極差D可知以上各因子對指標影響的大小依次為(wei) Y2O3含量、膨潤土含量、球磨時間,同時,由顯著性分析可知,氧化釔及膨潤土百分含量對指標的影響具有較高的可信度,所以,由正交試驗可以首先確定此係列塗料的最佳配比為(wei) A4B3。而對於(yu) 球磨工藝,由於(yu) 球磨時間對指標的影響最小,且由方差計算可知,其對指標的影響規律曲線可信度較低,所以,在工藝上可以不限定其球磨時間。最佳塗料的工藝及配比可以確定為(wei) :A4B3CX。但是,對於(yu) 塗料的成型工藝性能來說,球磨後其表麵成型能力得到改善,且隨著球磨時間增加,表麵成型能力越好,表麵平整。在工業(ye) 化機械噴塗中,表麵成型能力對吸光效果有很大影響。因此,在吸光性能影響不大的情況下,選擇成型能力較強的3h球磨時間做為(wei) 塗料的最優(you) 工藝,即A4B3C4為(wei) 最優(you) 塗料。對此,本研究也通過紅外吸收光譜試驗進行了驗證,配比相同時,球磨3h的塗料具有比球磨1h的塗料更強的吸光性能。
轉載請注明出處。







相關文章
熱門資訊
精彩導讀



















關注我們

