前言
大功率半導體(ti) 激光器的應用領域越來越廣泛,其可靠性非常重要,且壽命是衡量可靠性的重要指標之一。然而,大功率激光器的工作壽命還沒有一個(ge) 國際標準定義(yi) ,也沒有標準的加速檢測方法。大量長壽命的無Al激光器的高溫加速老化壽命試驗也是在假定了激活能的基礎上進行的,這樣進行試驗由於(yu) 不知道不確定失效的機理,得到的壽命數據也是不能令人信服的。本文基於(yu) 加速壽命試驗的基本概念,參考普通半導體(ti) 器件壽命測試方法,通過兩(liang) 次高溫加速老化,繪製激光器的老化曲線,計算出激活能,然後利用所求的激活能通過統計學的方法,反推出室溫下器件的壽命值。
1 試驗與(yu) 計算分析
本試驗分別在40、80℃下對20隻隨機抽取的波長808 nm的無Al連續輸出功率為(wei) 1 W的單管激光器進行1.2 A恒流老化。老化前抽出10隻在室溫下進行P-I-Y測試,如圖1所示。
|
|
加速老化試驗過程分兩(liang) 個(ge) 方麵同時進行,一半器件用半導體(ti) 激光器功率老化設備進行40℃(不控溫)下的老化,由探測器定時自動采集光功率相對值並由電腦記錄;另外一半放置於(yu) 溫度設定為(wei) 80℃的高低溫試驗箱中通過探測器手工定時采集激光器的功率。兩(liang) 次試驗電流恒定控製為(wei) 1.2 A。圖2和圖3為(wei) 老化過程中的功率退化曲線。

試驗中規定相對功率下降30%為(wei) 激光器失效時間。40℃下的中位壽命為(wei) 3 000 h;80℃下的中位壽命為(wei) 330 h。器件失效從(cong) 根本上講都是基本的物理化學過程,而溫度對於(yu) 許多物理化學過程來講都是一個(ge) 重要因素,溫度升高以後,這些變化過程大大加快,器件失效過程被加速,試驗總結出來阿列尼烏(wu) 斯(Arrhenius)經驗公式

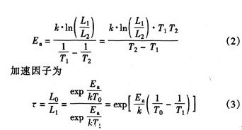
式中,L為(wei) 壽命,#p#分頁標題#e#Ea為(wei) 激活能,A為(wei) 常數,k(8.62×10-5eV/K)為(wei) 波爾茲(zi) 曼常數,T為(wei) 熱力學溫度。確定了失效模式的激活能以後,就可以得出加速係數τ。設室溫T0下壽命為(wei) L0,加速試驗中溫度T1下壽命為(wei) L1,溫度T2下的壽命為(wei) L2(T2>T1),則激活能的計算式為(wei)

不同溫度下Ea與(yu) τ的關(guan) 係如圖4所示,不同溫度下,溫度越高,曲線斜率越大,加速效果越明顯;相同溫度下,激活能越大,加速係數越大。由於(yu) 失效機理不同,激活能也不一樣。
將數據代入式(2)、(3)可以解出Ea=0.52 eV/#p#分頁標題#e#K,τ=25.2(相對於(yu) 80℃)。進而,可以計算出中值壽命tm=330×25.2=8 320 h。

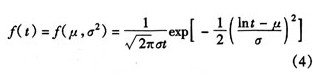
在對數正態分布概率紙上繪製把激光器的加速壽命分布曲線,如圖5所示。橫坐標是激光器的壽命,縱坐標是累積失效率(A)。通過圖中的點可以近似畫出兩(liang) 條互相平行的線,這就說明,半導體(ti) 激光器的壽命分布屬於(yu) 對數正態分布形式,而且加速壽命試驗確實是“真實有效的”加速了。

一般地,半導體(ti) 激光器的壽命符合對數正態分布,對數正態分布的故障概率密度函數為(wei)

式中,μ是中值壽命tm的對數值,σ為(wei) 對數標準差,基於(yu) 此,可準確描述對數正態分布。
中值壽命對應於(yu) 圖5中#p#分頁標題#e#50%器件失效的時間,標準差σ表示壽命分布的寬度,也容易從(cong) 圖中經過簡單計算得到,它決(jue) 定於(yu) 對數正態概率紙上累積失效率曲線的斜率,其計算公式為(wei)
![]()
式中t1是累積失效率為(wei) 16%(精確值為(wei) 15.87%)時對應的時間。代人數據計算得出σ=1.1。
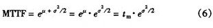
得到了中值壽命tm和對數標準差σ後就可以計算出激光器的平均壽命(MTTF)
![]()
代入tm=8320,σ=1.1到式(6)中得到MTTF為(wei) 15 000 h。
#p#分頁標題#e#2 失效分析
半導體(ti) 激光器退化主要有以下幾種方式:
①體(ti) 內(nei) 退化。主要是材料內(nei) 部的雜質與(yu) 缺陷,特別是異質結材料中由於(yu) 晶格失配所形成的位錯能夠在適當的溫度下“增殖”,這種位錯也會(hui) 在晶體(ti) 中逐漸形成位錯線,位錯網格。其後果是增加注入載流子的非輻射複合速率,使閾值不斷增加。這種退化無法直接從(cong) 腔麵直接觀察到,屬於(yu) 緩慢退化,使激光器功率逐漸降低。由於(yu) 采用的是無Al材料,有效地抑製了暗線的形成與(yu) 位錯的擴展,這種退化較少。
②腔麵退化。局部過熱、氧化、腐蝕等因素使腔麵遭受損傷(shang) ,形成更多的表麵態,增加表麵態複合速度,溫度上升,造成熱平衡狀態遭到破壞,有源區局部熔化,如圖6(d)甚至遭受毀滅性的破壞(COD),如圖6(e)所示,這種退化是瞬間形成的。
③與(yu) 燒結有關(guan) 的退化。管芯與(yu) 載體(ti) 粘結特性不好,很容易與(yu) 載體(ti) 分離,歐姆接觸不好不僅(jin) 增加熱耗散功率而降低激光器的效率,而且會(hui) 引起局部過熱。使上述接觸電阻進一步增加,造成引線脫落等,如圖6(a)、(b)所示;另外,銦焊料過多使在加熱焊接或在後麵的加速老化試驗中焊料淹浸解理麵,而使激光器輸出功率減小或無輸出,如圖6(c)所示。

3 結論
通過本文闡述的可靠性加速壽命試驗,嚐試計算了大功率激光器芯片長期退化過程的綜合激活能Ea的值為(wei) 0.52 eV,並根據其值外推了室溫下大功率半導體(ti) 激光器的平均壽命為(wei) 15 000 h。壽命測試的結果是統計值,試驗樣品數自然越多越準確。我們(men) 共隨機抽取了20隻進行試驗。對老化後失效的樣品,進行了分析發現,除了部分芯片發生了COD外,封裝過程中焊料的沉積和芯片的焊接工藝也是導致激光器失效的主要因素。
本文著重從(cong) 壽命角度討論了半導體(ti) 激光器的可靠性。其實,除了壽命外可靠性的參數還有很多,例如:早期失效率,早期失效的激活能等,這些都是在做可靠性分析時需要明確的。
轉載請注明出處。








相關文章
熱門資訊
精彩導讀



















關注我們

