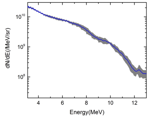
在國家重大儀(yi) 器專(zhuan) 項、重大科學問題導向項目(973A))、XXX專(zhuan) 項和協同創新等項目的支持下,顏學慶教授、陳佳洱院士領導的北京大學激光加速器團隊攻克了高對比度與(yu) 高光強激光技術、自支撐納米薄膜靶製備技術、超高流強離子束傳(chuan) 輸技術和激光加速器輻照研究平台等關(guan) 鍵技術,最終建成世界上首台超小型激光加速器輻照裝置(如圖1所示),加速參數指標為(wei) 1~15 MeV質子束,總流強106-8個(ge) 粒子/發。2017年激光加速器裝置正式建成出束,並通過了同行專(zhuan) 家的現場技術測試。實驗中利用能譜儀(yi) 、RCF和CR39,確認加速產(chan) 生了能量1-15 MeV 質子束(如圖2所示),在加速穩定性測試實驗中,進行了5發連打測試,顯示質子截止能量的穩定性好於(yu) 3%(如圖3所示)。
激光加速直接產(chan) 生的質子束通常具有較大的能散,束流能量和流強的穩定性和可靠性可以通過基於(yu) 電磁鐵束流傳(chuan) 輸係統進一步改進,從(cong) 而提供日常運行所需要的可靠性、穩定性和重複性。北京大學首次采用了基於(yu) 電四極透鏡和分析磁鐵等高流強離子束流傳(chuan) 輸和分析係統,並開展了3-10 MeV能量可調的高流強、短脈衝(chong) 質子束傳(chuan) 輸測試,穩定地獲得了1%能散/1-10pC電量的質子束(均為(wei) 國際最好指標)。
上述結果表明,該裝置可以像常規加速器一樣穩定可靠地運行,首次實現了激光加速到加速加速器的跨越。未來激光加速器將可以廣泛用於(yu) 先進光源、溫稠密物質產(chan) 生、核醫學、空間輻射環境模擬、慣性約束聚變、國際熱核聚變堆等領域。

圖1 激光加速器裝置照片

圖2 RCF膠片和CR39的探測結果

圖3 五發激光加速質子束能譜的疊加圖
圖4 束線測試與(yu) 結果

轉載請注明出處。







相關文章
熱門資訊
精彩導讀



















關注我們

