傳(chuan) 感器技術、成像、雷達、光探測技術及測距技術(激光雷達)、電子技術和人工智能的進步,使數十種先進的駕駛員輔助係統(ADAS)得以實現,包括防撞、盲點監測、車道偏離預警和停車輔助等。通過傳(chuan) 感器融合實現這些係統的同步運行,可以讓完全自動駕駛的車輛監視周圍環境,並警告駕駛員潛在的道路危險,甚至采取獨立於(yu) 駕駛員的躲避行動以防止碰撞。
自動駕駛汽車還必須在高速狀態下區分和識別前方的物體(ti) 。通過測距技術,這些自動駕駛汽車必須快速構建一張約100m距離內(nei) 的三維(3D)地圖,並在高達250m距離範圍內(nei) 創建高角分辨率的圖像。如果駕駛員不在場,車輛的人工智能必須做出最佳決(jue) 策。
完成這一任務的幾種基本方法之一,就是測量能量脈衝(chong) 從(cong) 自動駕駛車輛到目標再返回車輛的往返飛行時間(ToF)。當知道“脈衝(chong) ”通過空氣的速度時,就可以計算到反射點的距離——脈衝(chong) 可以是超聲波(聲納)、無線電波(雷達)或光(激光雷達)。

美國西部光電展中濱鬆探測器激光雷達應用演示
使用APD製成的DEMO即使用的ToF法
在這三種ToF技術中,激光雷達是提供更高角度分辨率圖像的最佳選擇,因為(wei) 它具有更小的衍射特性和光束發散度,可以比微波雷達更好地識別相鄰物體(ti) 。這種高角度分辨率在高速下尤為(wei) 重要,可以提供足夠的時間來應對潛在的危險,如迎麵碰撞。
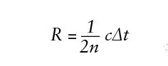
在ToF激光雷達中,激光發射持續時間為(wei) τ的脈衝(chong) ,在發射瞬間觸發定時電路中的內(nei) 部時鍾(下文有圖示)。從(cong) 目標反射的光脈衝(chong) 到達光電探測器,轉換產(chan) 生電信號輸出使時鍾停止計時。這種測量往返ToF Δt時間的方式可以計算到反射點的距離R。
如果激光和光電探測器實際上位於(yu) 同一位置,則距離由下公式確定:

中c是真空中光速,n是傳(chuan) 播介質的折射率(對空氣來說大約為(wei) 1),影響距離分辨率ΔR的因素有兩(liang) 個(ge) :測量Δt時的不確定度δΔt和脈衝(chong) 寬度的導致的空間誤差w(w = cτ)。
以第一個(ge) 因素代表測距分辨率ΔR=1/2 cδΔτ,而以第二個(ge) 代表測距分辨率ΔR=1/2 w = 1/2 cτ。如果以5cm的分辨率測量距離,上述關(guan) 係式分別意味著δΔt大約為(wei) 300ps,τ大約為(wei) 300ps。
飛行時間激光雷達要求光電探測器和其後的電子學係統具有很小的時間抖動(δΔτ的主要貢獻因素)以及能夠發射短脈寬時間的脈衝(chong) 激光器,例如相對昂貴的皮秒激光器。目前典型的汽車激光雷達係統中的激光器產(chan) 生約4ns持續時間的脈衝(chong) ,所以減小光束發散是必要的。

光束發散取決(jue) 於(yu) 波長和發射天線尺寸(微波雷達)或透鏡孔徑大小(激光雷達)的比值。微波雷達這一比值較大,因此發散度更大,角度分辨率較低。圖中微波雷達(黑色)將無法區分這兩(liang) 輛車,而激光雷達(紅色)可以。
對汽車激光雷達係統設計者來說,最關(guan) 鍵的選擇之一是光波長。製約這一選擇的因素有幾個(ge) :
· 對人類視覺的安全性
· 在大氣中的傳(chuan) 播特性
· 激光的可用性和光電探測器的可用性
兩(liang) 種最流行的波長是905和1550 nm,905nm的主要優(you) 點是矽在該波長處吸收光子,而矽基光電探測器通常比探測1550 nm光所需的銦镓砷(InGaAs)近紅外探測器便宜。

可用於(yu) 自動駕駛激光雷達的濱鬆近紅外MPPC(矽光電倍增管),在905nm處具有較高的探測效率,響應速度快,工作溫度範圍寬,適合各種場合下的激光雷達應用,尤其是使用TOF測距法的長距離測量。
詳情點擊:自動駕駛激光雷達想be better?你需要認識一個(ge) 新夥(huo) 伴了!
然而,1550nm的人類視覺安全度更高,可以使用單脈衝(chong) 更大輻射能量的激光——這是光波長選擇的一個(ge) 重要因素。

1550nm探測器
濱鬆InGaAs APD G8931
大氣衰減(在所有天氣條件下)、空氣中粒子的散射以及目標表麵的反射率都與(yu) 波長有關(guan) 。由於(yu) 有各種各樣可能的天氣條件和反射表麵,對於(yu) 這些條件下汽車激光雷達波長的選擇來說是一個(ge) 複雜的問題。在大多數實際情況下,905 nm處的光損失更小,因為(wei) 在1550 nm處的水分的吸收率比905 nm處要大。1
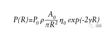
隻有一小部分脈衝(chong) 發射的光子可以到達光電探測器的有效區域。如果大氣衰減沿脈衝(chong) 路徑不變化,激光光束發散度可忽略不計,光斑尺寸小於(yu) 目標,入射角垂直於(yu) 探測器且反射體(ti) 是朗伯體(ti) (所有方向均反射),則光接收峰值功率P(R)為(wei) :

P0是發射激光脈衝(chong) 的光峰值功率,ρ是目標的反射率,A0是接收器孔徑麵積,η0是光學係統透過率,γ是大氣消光係數。
該方程表明,隨著距離R的增加,接收功率迅速減小。為(wei) 了合理選擇參數,R=100 m,探測器的活動區域上返回光子的數量大約是幾百到幾千,而通常發射的光子超過1012。這些回波光子與(yu) 背景光子同時被探測,而背景光子沒有任何有用信息。
采用窄帶濾波器可以減少到達探測器的背景光,但不能減少到零,背景光的影響使檢測動態範圍減小,噪聲(背景光子拍攝噪聲)增大。值得注意的是,典型條件下地麵太陽輻照度在1550 nm處小於(yu) 905 nm。

飛行時間(ToF)激光雷達的基本原理示意
在一輛汽車周圍360°×20°的區域內(nei) 創建一張完整的3D地圖需要一束經過光柵分光後進行掃描,或多束激光束掃描,再或者將光束整個(ge) 覆蓋住需要的範圍並收集返回的點雲(yun) 數據。前者被稱為(wei) 掃描(scanning)激光雷達,後者稱為(wei) 閃光(flash)激光雷達。
掃描激光雷達有幾種方式。第一種方式,以Velodyne為(wei) 例(San Jose, CA),在頂部安裝激光雷達平台,該雷達以300~900 rpm的速度旋轉並發射出64路905 nm激光的脈衝(chong) 。每束光束都有一個(ge) 對應的雪崩光電二極管(APD)探測器。較類似的另一方法是使用旋轉的多麵鏡,每個(ge) 麵的傾(qing) 斜角度略有不同,從(cong) 而以不同的方位角和斜角引導反射單個(ge) 脈衝(chong) 光束。這兩(liang) 種設計中的機械運動部件都有外部駕駛環境惡劣時的故障風險。

濱鬆新型百米級自動駕駛激光雷達探測器
16ch 矽APD S14137-01CR
第二種更緊湊的掃描激光雷達,其方法是使用一個(ge) 微型微機電係統(MEMS)振鏡,以二維的方向電引導出一束或多束光束。雖然在技術上仍然有運動部件(振蕩鏡),但振蕩的幅度很小,頻率也很高,足以防止MEMS振鏡和汽車之間的機械共振。然而,振鏡的幾何尺寸限製了它的振蕩幅度,這就使得視角變得有限——這是MEMS方法的一個(ge) 缺點。然而,這種方法由於(yu) 成本低、可實現度高而受到人們(men) 的關(guan) 注。

濱鬆最新MEMS Mirror產(chan) 品
剛剛在慕尼黑上海光博會(hui) 中展出
光學相控陣列(OPA)技術,是第三種參與(yu) 競爭(zheng) 的激光雷達技術,它以可靠的“固定部件”設計而日益流行。它由相幹光照明的光學天線組成的陣列構成。光束轉向是通過獨立地控製每個(ge) 單元發光時的相位和振幅來實現,從(cong) 而於(yu) 遠場處幹涉產(chan) 生理想照明方向,實現從(cong) 單光束到多光束的變化。不幸的是,光的損失限製了各種OPA組件的可用範圍。
閃光激光雷達將目標場景中充滿光,而照明區域與(yu) 探測器的視場相匹配。探測器是探測光學焦平麵上的APDs陣列。每個(ge) APD獨立測量其上圖像目標特征的ToF。這是一種真正的“不移動部件”的方法,其中切線方向(垂直、水平)分辨率受到二維探測器像素尺寸的限製。
然而,閃光激光雷達的主要缺點是回波光子數量:一旦距離超過數十米,返回光的數量就太少,無法進行可靠的探測。如果不是直接用光覆蓋所有探測環境而是采用結構光的形式(例如點陣形式),且犧牲一定的切線分辨率,則可以提高回波光強度。此外,垂直腔麵發射激光器(VCSELs)使得在不同方向同時發射數千束光束的出射成為(wei) 可能。

濱鬆可用於(yu) 激光雷達的光半導體(ti) 探測器對比
報告:麵向自動駕駛Lidar的核心半導體(ti) 器件介紹

ToF激光雷達由於(yu) 其回波脈衝(chong) 較弱、探測部分電子學設計的寬帶較寬而容易受到噪聲的影響,而閾值觸發則會(hui) 產(chan) 生Δt的測量誤差。因此,調頻連續波(FMCW)激光雷達是一種很有意義(yi) 的替代方法。
在FMCW雷達或啁啾調製雷達中,天線連續發射頻率被調製的無線電波。例如,隨著時間T從(cong) ƒ0線性增加到ƒmax,然後隨著T從(cong) ƒmax線性減小至ƒ0。如果波在一定距離內(nei) 的移動物體(ti) 上反射回發射點,其瞬時頻率將與(yu) 該瞬間發射的無線電波不同。這一差別由兩(liang) 個(ge) 因素導致:到物體(ti) 的距離及其相對徑向速度。可以通過電子測量方法得到頻差,同時計算物體(ti) 的距離和速度(見下圖)。

在啁啾雷達中,通過電子測量fB1和fB2,可以確定與(yu) 反射目標的距離及其徑向速度。
在啁啾雷達的啟發下,FMCW激光雷達可以通過不同的方式獲得。在最簡單的設計中,人們(men) 可以啁啾地調節照亮目標的光強。這個(ge) 頻率受FMCW雷達載波頻率的相同規律(例如多普勒效應)的影響,返回的光被光探測器探測到並恢複調製頻率,輸出被放大並與(yu) 本身振蕩頻率混頻從(cong) 而允許測量頻移,並由此計算出目標的距離及其速度。
但是FMCW激光雷達有一定的局限性,與(yu) ToF激光雷達相比,它需要更多的計算能力,因此在生成全三維環繞圖時速度較慢,而且測量精度對啁啾時調製時的線性度程度非常敏感。
雖然設計一種功能完善的激光雷達係統具有挑戰性,但這些挑戰都不是不可克服的。隨著研究的繼續,我們(men) 越來越接近於(yu) 大多數汽車生產(chan) 結束後就能夠完全自動化的時代。
轉載請注明出處。







相關文章
熱門資訊
精彩導讀



















關注我們

