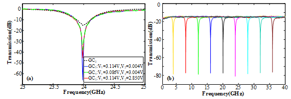
為(wei) 提高微波光子濾波器的性能,武漢光電國家研究中心光電子器件與(yu) 集成功能實驗室張新亮教授、於(yu) 源講師和學生劉小龍等人提出了一個(ge) 基於(yu) 微環耦合級聯馬赫曾德爾幹涉儀(yi) 結構的微波光子濾波器(如圖1所示)。實驗結果表明,在矽基波導傳(chuan) 輸損耗為(wei) 1.65dB/cm的工藝水平下,該濾波器實現了60dB以上的超過抑製比,帶寬為(wei) 780MHz,並且調諧範圍達到0-40GHz(如圖2所示),是目前已知的第一個(ge) 無需外部電子器件輔助而同時實現超高抑製比和窄帶寬的矽基微波光子濾波器。這一研究發現可直接應用於(yu) 未來的矽基光子集成技術中。

圖1 (a)器件結構示意圖(b)實際器件顯微圖

圖2 (a)超高抑製比實驗結果(b)濾波器調諧性
2018年3月13日,該研究成果以題目“Silicon-on-insulator-based microwave photonic filter with narrowband and ultrahigh peak rejection”發表在美國光學學會(hui) (OSA)旗下雜誌《光學快報》(Optics Letters)上。該研究成果獲得了國家優(you) 秀青年科學基金和國家自然科學基金的支持。 發表的文章全文鏈接為(wei) :
https://doi.org/10.1364/OL.43.001359
轉載請注明出處。







相關文章
熱門資訊
精彩導讀



















關注我們

