近年來,隨著消費電子市場競爭(zheng) 愈發激烈,電子產(chan) 品製造業(ye) 對產(chan) 品也提出了更高的要求。傳(chuan) 統的加工方式容易導致產(chan) 品質量不穩定、零件熔毀、難以形成正常熔核,成品率低。而激光加工技術的出現,可以快速的為(wei) 電子產(chan) 品生產(chan) 製造商們(men) 解決(jue) 這些難題。高端電子產(chan) 品的生產(chan) 過程中,激光加工在產(chan) 品的體(ti) 積優(you) 化以及品質提升方麵起到了重大的作用,使產(chan) 品更輕巧纖薄,穩固性更好。據悉,約70%的電子產(chan) 品加工製造環節都應用到激光技術(超過20種不同的工藝)及相關(guan) 的製造設備。
目前,激光精密點焊主要應用於(yu) 電子產(chan) 品的殼體(ti) 、屏蔽罩、USB接頭、導電貼片等,具有熱變形小、作用區域和位置精確可控、焊接品質高、能實現異種材料焊接、易於(yu) 實現自動化等優(you) 勢。但焊接不同材料時,需要采用的不同的焊接方式。
創鑫激光焊接工程師根據多次的實驗結果,總結出了在消費電子的生產(chan) 製造過程中,高反材料、金屬薄板、異種材料等不同材料應使用何種方式進行激光精密點焊,方能得出最好的焊接效果。
高反材料的激光精密點焊方式
焊接鋁、銅等高反材料時,不同的焊接波形對焊接質量影響很大。利用帶有前置尖峰的激光波形,可突破高反射率屏障,瞬間的高峰值功率可以迅速改變金屬表麵狀態,使其溫度上升至熔點,從(cong) 而降低金屬表麵的反射率,提高能量的利用率。另外,由於(yu) 銅鋁等材料導熱速度快,故利用緩降波形,可以優(you) 化焊點外觀。
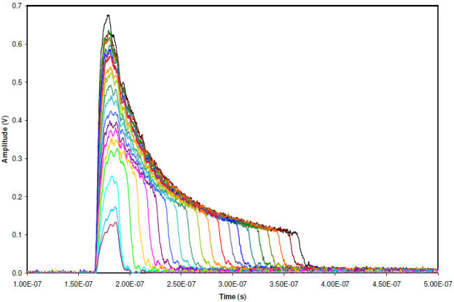
另一方麵,金、銀、銅、鋼等材料對激光吸收率隨波長增大而減小,對於(yu) 銅而言,當激光波長為(wei) 532nm時,銅的吸收率接近40%。對比分析紅外激光器和綠光激光器特征可知,紅外激光器光斑尺寸較大,焦深短,紫銅對其吸收率低;綠光激光器光斑尺寸小,焦深長,紫銅對其吸收率高。分別采用紅外激光器和綠光激光器對紫銅進行脈衝(chong) 點焊,可以發現紅外激光器焊後焊點大小不一致,而綠光激光器焊點大小更均勻,深度一致,表麵光滑(圖1-2)。采用綠光激光器焊接效果更穩定,所需峰值功率會(hui) 比紅外激光器低一半以上。

尖峰波形

1064nm波長的焊接效果▲(圖1-1)

532nm波長的焊接效果▲(圖1-2)
金屬薄板材料的激光精密點焊方式
傳(chuan) 統毫秒級激光器在焊接金屬薄板材料時,材料易被擊穿且焊點較大;而高反材料因其自身的不穩定性以及在固態時對激光的吸收率低,焊接時常出現爆點、虛焊等現象。為(wei) 了解決(jue) 薄板及高反金屬焊接難點,通過對光纖激光器QCW/CW模式分別進行模擬量和數字調製,觸發一次可以實現N個(ge) 脈衝(chong) 輸出,以較小的功率實現單點多脈衝(chong) 焊接。

調製方式

高頻脈衝(chong) 點焊表麵成型

焊縫截麵
異種材料的激光精密點焊方式
激光焊接薄板異種材料時,極易出現虛焊、裂紋、連接強度低等問題,這是由於(yu) 兩(liang) 者的物理性能差異大,互溶度低,且極易生成脆性化合物,這些化合物使焊接頭的力學性能大大降低。選用高光束質量的納秒級激光通過高速掃描方式,精準的控製熱輸入抑製金屬間化合物的形成,實現異種金屬薄板搭接,改善焊縫成形及力學性能。

輸出波形

掃描方式

焊縫表麵成型

焊縫截麵

316L不鏽鋼與(yu) 6063鋁合金焊接強度測試
創鑫激光的準連續光纖激光器、MOPA脈寬可調脈衝(chong) 光纖激光器因具有高光束質量、高峰值功率、可調可控製等優(you) 點,成為(wei) 激光精密點焊的理想光源。
150W/1500W準連續光纖激光器
該產(chan) 品具有多樣兼容性與(yu) 控製模式,可切換脈衝(chong) 及連續模式,並同時處理以往兩(liang) 個(ge) 不同激光器的加工任務,脈寬波形靈活可調,散熱快,電光轉換率30%以上,是長脈寬,高峰值功率應用的又一選擇。

120W MOPA脈寬可調脈衝(chong) 光纖激光器
脈寬可調脈衝(chong) 光纖激光器采用MOPA構造兩(liang) 級放大,脈寬和頻率獨立可調,使得更多激光應用成為(wei) 可能。脈寬在60~350ns靈活可調,峰值功率高達10kW,重複頻率高達1000kHz,配備自主研發在線隔離器,是激光精細加工的理想激光源。

轉載請注明出處。







相關文章
熱門資訊
精彩導讀



















關注我們

