今天為(wei) 大家帶來的理論知識是關(guan) 於(yu) 激光器的輸出功率和輸出能量,請各位光學人看看!

連續工作均勻加寬單模激光器的輸出功率
連續工作激光器最終會(hui) 形成穩態,在穩態條件下, 模式的增益係數等於(yu) 閾值增益係數。為(wei) 簡單起見,考慮形成單模振蕩的頻率等於(yu) 中心頻率(νq = ν0 ) 的情況,則有

( 3 .5 .8)
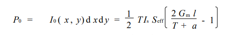
所以,腔內(nei) 光強

( 3 .5 .9)
其中腔內(nei) 光強等於(yu) 相反方向傳(chuan) 播光強之和 ( Iν0= I + + I - )。一般激光器的輸出鏡透射率 T 很小, 因此 I + ≈ I - 。所以從(cong) 輸出鏡輸出到腔外的光強為(wei)

(3 .5 .10)
T n 1 時, δ≈ ( T + a)/ 2, 其中 a 為(wei) 除耦合損耗外其他損耗的往返一周指數淨損耗因子, 且an 1。因此

(3 .5 .11)
輸出激光功率

(3 .5 .12)
其中 S eff為(wei) 光束有效截麵麵積。上式表明, 輸出激光功率與(yu) T 有關(guan) 。
可以證明存在一個(ge) 最佳透射率
(3 .5 .13)
T = T m 時, 輸出激光功率最強,其為(wei)

(3 .5 .14)
圖 3 -16 給出了 Tm 依賴於(yu) 2 Gm l 的計算曲線, 圖 3 -17 給出了輸出功率依賴於(yu) 透射率的計算曲線。

連續工作多普勒加寬單模激光器的輸出功率
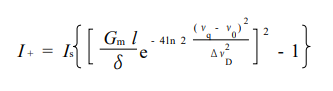
與(yu) 均勻加寬激光器不同,對於(yu) 多普勒加寬, 由於(yu) + 和 - 在增益曲線不同的位置燒孔, +的增益係數為(wei)

(3 .5 .15)
穩態時得到

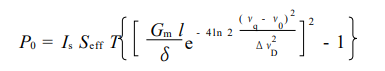
輸出激光功率

(3 .5 .16)
但是當 νq =ν0 時, + 和 - 在增益曲線燒孔重疊,增益係數為(wei)

(3 .5 .17)
輸出激光功率為(wei)

(3 .5 .18)
比較式(3 .5 .16) 和(3 .5 .18) ,當 νq = ν0 時, 激光輸出功率比 νq≠ν0 (但 νq 偏離中心頻率不遠)時低。
若激光器的氣壓增加,從(cong) 而使碰撞加寬增加。當氣壓增加使碰撞加寬大於(yu) 多普勒加寬時,加寬性質發生變化,蘭(lan) 姆凹陷會(hui) 逐漸消失。
脈衝(chong) 激光器的輸出能量
對於(yu) 脈衝(chong) 泵浦, 泵源注入的能量密度為(wei) Ep , 激光上能級原子密度為(wei) Epη1/ hνp , 隻有超出閾值部分能產(chan) 生腔內(nei) 光子。腔內(nei) 光子密度為(wei)

(3 .5 .19)
腔內(nei) 光子一部分輸出到腔外, 另一部分由於(yu) 其他損耗被耗散。輸出到腔外的比例為(wei) η0 =T/ ( a + T )。因此輸出激光能量密度為(wei)

(3 .5 .20)
轉載請注明出處。







相關文章
熱門資訊
精彩導讀



















關注我們

