1.問題的提出
在采用閃光法測量材料熱擴散係數過程中,諸如樣品厚度和閃光脈衝(chong) 加熱能量這些試驗參數的選擇,使得測試人員最常麵臨(lin) 的困惑就是試驗參數選擇合理性和測試結果的準確性,這種現象在實際測試中主要表現在以下幾個(ge) 方麵:
對於(yu) 相同材料和厚度的樣品,設置不同閃光脈衝(chong) 加熱能量,往往會(hui) 得到不同測試結果,無法判斷加熱能量參數選擇的合理性和測試結果的準確性。對於(yu) 未知材料,無法確定合理的樣品厚度,往往造成不同樣品厚度測試的熱擴散係數有明顯偏差。對於(yu) 相同材料和厚度的樣品,不同實驗室采用不同型號閃光法儀(yi) 器,經常會(hui) 得出不同的測試結果,有時相互之間的偏差還很大。對於(yu) 相同材料和厚度的樣品,不同實驗室采用相同型號閃光法儀(yi) 器,也常會(hui) 得出不同的測試結果。總之,由於(yu) 存在以上困惑,這就需要開發出一種閃光法測試規範來準確測量熱擴散係數,而最終得到的熱擴散係數與(yu) 閃光法儀(yi) 器的試驗參數無關(guan) 。也就是說,希望采用任何正常的閃光法設備和任意試驗參數,都可以測量得到準確的熱擴散係數。
本文將介紹一種閃光法熱擴散係數測試規範——閃光能量外推法,即在樣品恒溫階段采用一係列不同大小的閃光脈衝(chong) 加熱能量進行測試,然後將相應的熱擴散係數測試結果外推至零加熱能量,由此準確得到與(yu) 試驗參數(樣品厚度和加熱能量)無關(guan) 的熱擴散係數準確值。
2.外推法的基本原理
眾(zhong) 所周知,閃光法測試中,根據溫升曲線計算得到的熱擴散係數取決(jue) 於(yu) 測試條件,如脈衝(chong) 加熱能量和樣品厚度。圖 2-1顯示了溫升曲線和熱擴散係數隨溫度的變化曲線。

圖 2-1 (a)溫升曲線和(b)在Tbase附
當在規定溫度Tbase(脈衝(chong) 加熱前保持恒定)下進行激光測量時,樣品溫度會(hui) 升高Tmax。熱擴散係數是一種依賴於(yu) 溫度的物理性能,因此,樣品背麵溫升曲線反映了測量過程中起始溫度Tbase和最高溫度Tmax之間熱擴散係數的溫度相關(guan) 性,即閃光法熱擴散係數測量結果是樣品溫度升高後的等效熱擴散係數,而不是起始溫度Tbase時樣品的固有熱擴散係數,由此所帶來的誤差就是等效熱擴散係數與(yu) 固有熱擴散係數之間的差值,此差值就是常見閃光法熱擴散係數測量誤差的主要來源。
從(cong) 圖 2-1可以看出,當樣品背麵溫升ΔT較大時,如果材料樣品的熱擴散係數對溫度非常敏感,則等效熱擴散係數與(yu) 固有熱擴散係數之間的差值將會(hui) 較大。另外,較大ΔT可能會(hui) 樣品背溫紅外輻射器信號帶來非線性影響,也會(hui) 增大測量值偏差。
由此可見,由於(yu) 背麵溫升ΔT的存在,對於(yu) 某一樣品厚度和加熱能量下測試得到是等效熱擴散係數,此等效熱擴散係數取決(jue) 於(yu) 樣品厚度、脈衝(chong) 加熱能量、脈衝(chong) 光吸收率和樣品體(ti) 積熱容。從(cong) 理論上講,背麵溫升ΔT越小,所測試的等效熱擴散係數就越接近於(yu) 固有熱擴散係數。但在實際測試過程中,往往會(hui) 選擇較大的脈衝(chong) 加熱能量來獲得漂亮的背麵溫升曲線,以提高背溫信號的信噪比。由此可見,脈衝(chong) 加熱能量的大小與(yu) 熱擴散係數準確測量是一對矛盾。
為(wei) 了解決(jue) 上述試驗參數對測量結果帶來的影響,日本國家計量研究所(NMIJ)的Akoshima等人開發了一種外推法熱擴散係數測試規範[1]。外推法的基本原理是在恒定溫度Tbase下,假設樣品厚度、脈衝(chong) 光吸收率和樣品體(ti) 積熱容不隨溫度發生改變,通過改變脈衝(chong) 加熱能量(即改變背麵溫升ΔT大小)測試得到一係列相應的等效熱擴散係數。如圖 2-2所示,以背麵溫升ΔT為(wei) 橫坐標、等效熱擴散係數測量值為(wei) 縱坐標,建立起等效熱擴散係數與(yu) 背麵溫升的線性函數關(guan) 係,最終用此線性函數外推得到脈衝(chong) 加熱能量為(wei) 零時的等效熱擴散係數,由此認為(wei) 此外推得到的熱擴散係數即為(wei) 樣品材料在溫度Tbase時的固有熱擴散係數。

圖 2-2 不同加熱能量時的等效熱擴散係
由此可見,通過外推法可以得到樣品材料固有的熱擴散係數,而且所得到的熱擴散係數與(yu) 樣品厚度和脈衝(chong) 加熱能量無關(guan) ,這樣就可以在實際測試中消除了測試參數對熱擴散係數測量結果的影響。
3.外推法的驗證
為(wei) 了全麵驗證外推法在閃光法熱擴散係數測試中的有效性,日本國家計量研究所(NMIJ)和法國國家計量和測試實驗室(LNE)開展了專(zhuan) 門的比對測試研究[2],並計劃將外推法補充到閃光法熱擴散係數標準測試方法中。
對比測試選擇了四種材料,分別是IG-110各項同性石墨、Armco鐵、YSZ陶瓷和氮化矽,如圖 3-1所示。這四種材料基本覆蓋了10E-4~10E-6㎡/s範圍的熱擴散係數,並在脈衝(chong) 光和探測光的透過性上非常有代表性,從(cong) 而也代表了不同樣品表麵吸熱塗層和遮光塗層的處理方式。

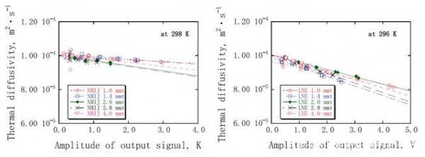
兩(liang) 個(ge) 實驗室分別在室溫下分別對不同樣品厚度的上述四種材料進行了測試,每種厚度樣品采用不同脈衝(chong) 加熱能量測試表觀熱擴散係數,結果如圖 3-2~圖 3-5所示。然後針對每種厚度樣品的表觀熱擴散係數測試結果計算獲得零脈衝(chong) 能量外推值。每個(ge) 樣品的外推值以及每個(ge) 實驗室的平均值和標準偏差如表 3-1所示。

圖 3-2 兩(liang) 實驗室分別在室溫下對不同厚

圖 3-3 兩(liang) 實驗室分別在室溫下對不同厚


圖 3-5 兩(liang) 實驗室分別在室溫下對不同厚

表 3-1 兩(liang) 實驗室對比測試四種材料的固
在各向同性石墨的情況下(其顯示出室溫附近熱擴散係數的強溫度依賴性),從(cong) 具有最大溫升的溫升曲線計算的表觀熱擴散係數比使用外推法估計的固有值小3%。由於(yu) NMIJ和LNE估計熱擴散係數測量的典型不確定度約為(wei) 2~3%,因此這種誤差就非常明顯。結果表明,外推法有助於(yu) 獲得固有熱擴散係數,同時避免測量過程中由於(yu) 樣品溫度變化造成的偏差。通過對兩(liang) 種半透明性材料(3YSZ和Si3N4)的測試對比,也證明了外推法有助於(yu) 檢測熱擴散係數的估計值是否正確,並具有識別材料任何潛在半透明效應的功能。
通過上述NMIJ和LNE這兩(liang) 個(ge) 國家計量機構對四種固體(ti) 材料進行的熱擴散係數測量,驗證了外推法測試技術的有效性和準確性。盡管兩(liang) 實驗室使用了不同的測試設備和不同的溫升曲線分析方法,但兩(liang) 實驗室測量的熱擴散係數依然顯示出很好的一致性。由此可以確認,結合了外推法的閃光法熱擴散係數測量,在10E-4~10E-6㎡/s範圍內(nei) 的熱擴散係數測試可以不受測量條件、儀(yi) 器、分析方法和實驗室的影響。
4.總結
熱擴散係數是材料固有的特性,據此,熱擴散率不取決(jue) 於(yu) 測量條件、形狀和尺寸。然而眾(zhong) 所周知,閃光法熱擴散係數測試經常受到這些因素的影響,因此外推法的出現為(wei) 解決(jue) 上述問題提出了一個(ge) 很好的解決(jue) 方案。
自2005年外推法提出以來,在國際度量衡委員會(hui) (CIPM)溫度測量谘詢委員會(hui) 第9工作組(CCT-WG9)組織的實驗室間熱擴散係數對比框架內(nei) ,一直采用外推法這一試驗規程進行所有的對比測試[3]。經過多年的驗證試驗和實際測試,證明了外推法主要有以下特點和優(you) 勢:
(1)外推法是一種通用性方法。在采用外推法測試材料熱擴散係數過程中,盡管不同實驗室和不同測試設備采用不同脈衝(chong) 加熱能量和不同數據處理方法會(hui) 得到不同的外推斜率,反映了與(yu) 測量儀(yi) 器和所用評估方法相關(guan) 的測量條件,但對應於(yu) 固有熱擴散係數的截距值與(yu) 斜率無關(guan) 。
(2)外推法對熱擴散係數隨溫度變化敏感的材料更有效。從(cong) 上述石墨與(yu) 金屬材料的對比測試可以看出,Armco鐵的外推斜率要小於(yu) IG-110石墨外推斜率,石墨材料熱擴散係數在對溫度變化敏感的範圍內(nei) ,外推法對於(yu) 更能顯著提高測量的準確性。
(3)有助於(yu) 識別潛在的材料半透明效應。采用外推法測量時,如果材料完全不透明則會(hui) 得到與(yu) 樣品厚度無關(guan) 的相同的外推值,反之則會(hui) 看出明顯的厚度變化所帶來的半透明效應。這種功能在識別未知材料的潛在半透明性中非常有用。
(4)由於(yu) 使用外推法隻需在不同脈衝(chong) 加熱能量下進行測量,與(yu) 樣品厚度和數據處理方法無關(guan) ,加上目前閃光法測試設備自動化程度很高,可以自動按照設定程序改變脈衝(chong) 加熱能量進行連續測量,因此隻需選定一種厚度樣品就可以快速準確的測定熱擴散係數,既能保證測量準確性又能提高測試效率。另外,通過外推法還可以在大的信噪比下進行測量,解決(jue) 了信噪比與(yu) 測量精度的矛盾。
5.參考文獻
(1)M. Akoshima, T. Baba, in Proceedings of Thermal Conductivity 28/Thermal Expansion 16, ed. by R.B. Dinwiddie, M.A. White, L. McElroy (DEStech Publications, Lancaster, 2006), p. 497–506
(2)Akoshima M, Hay B, Neda M, et al. Experimental verification to obtain intrinsic thermal diffusivity by laser-flash method[J]. International Journal of Thermophysics, 2013, 34(5): 778-791.
(3)Akoshima M, Hay B, Zhang J, et al. International comparison on thermal-diffusivity measurements for iron and isotropic graphite using the laser flash method in CCT-WG9[J]. International Journal of Thermophysics, 2013, 34(5): 763-777.
轉載請注明出處。







相關文章
熱門資訊
精彩導讀



















關注我們

