孤子激光器通過平衡二階色散和非線性可以直接產(chan) 生亞(ya) 10fs的脈衝(chong) ,並且裝置相對簡單。然而,受限於(yu) 孤子麵積理論,孤子能量無法進一步提升。為(wei) 了克服這個(ge) 限製,需要激發帶啁啾的脈衝(chong) ,但後續的壓縮使光路更加複雜同時效率也將降低。因此,為(wei) 了保留孤子激光器的簡單和高效性,需要新的方法克服孤子激光器的功率提升局限性。
最近的幾項研究表明,在非線性和負四階色散的平衡下存在純四次孤子(Pure quartic soliton),其脈衝(chong) 形狀保持不變。純四次孤子具有能量擴展的優(you) 勢,在短脈寬條件下可以得到更高能量的脈衝(chong) 。科學家希望將這一發現過渡到目前比較成熟的光纖激光器中。然而,色散控製所需的製造工藝要求非常嚴(yan) 格,如何在光纖中進行色散管理以實現四次孤子成為(wei) 需要解決(jue) 的難題。

圖1 純四次孤子激光器原理示意圖
Runge等人利用光譜脈衝(chong) 整形器實現了腔內(nei) 的色散控製,首次在光纖激光器中獲得了純四次孤子[1]。裝置如圖1所示,摻鉺光纖激光器采用非線性偏振旋轉鎖模機製,腔長21.4m,對應的基階重複頻率為(wei) 9.3MHz。基於(yu) 空間光調製器的可編程脈衝(chong) 整形器可以產(chan) 生任意的相位控製腔內(nei) 色散,主要有兩(liang) 個(ge) 作用:(1)補償(chang) 腔內(nei) 光纖引入的二階和三階色散;(2)提供大量的負四階色散。

圖2 實驗上和理論上常規孤子(abcd)和純四次孤子(efgh)的光譜和時域曲線
脈衝(chong) 整形器不提供相位補償(chang) 時,激光器工作在常規孤子區域,實驗和理論模擬結果如圖2(a-d)所示,脈衝(chong) 的中心波長為(wei) 1563nm,光譜寬度3.72nm,脈衝(chong) 寬度為(wei) 1.23ps,具有凱利邊帶,為(wei) 典型的常規孤子。利用脈衝(chong) 整形器補償(chang) 相位並引入大量負四階色散後,實驗和理論模擬結果如圖2(e-h)所示,脈衝(chong) 的光譜寬度為(wei) 3.16nm,脈衝(chong) 寬度為(wei) 1.74ps,稍帶啁啾。與(yu) 常規孤子相比,純四次孤子光譜的中心處更加平坦,並且具有較強的窄間距光譜邊帶。

圖3 旁瓣分析
與(yu) 常規孤子相似,純四次孤子在諧振腔中傳(chuan) 播時受到擾動產(chan) 生這些邊帶。當純四次孤子和邊帶的傳(chuan) 播常數滿足相長幹涉時,會(hui) 導致光譜峰變窄。對於(yu) 四階色散腔中傳(chuan) 播的線性波而言,第m階共振峰滿足以下關(guan) 係:

實驗上將邊帶頻率的四次方和其階次對應,如圖3b所示,發現滿足線性關(guan) 係,與(yu) 理論符合。並且,改變四階色散的值,仍然滿足線性關(guan) 係,如圖3d所示。
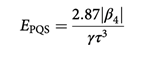
考慮到常規孤子激光器的能量限製,作者研究了四階孤子脈衝(chong) 能量和脈衝(chong) 寬度的關(guan) 係,理論和數值模擬表明,四階孤子能量由下式決(jue) 定:

純四次孤子能量與(yu) 脈衝(chong) 寬度的三次方成反比。改變輸入功率,對除去邊帶部分光譜進行積分得到脈衝(chong) 能量,根據時間帶寬積0.67得出脈衝(chong) 寬度。
考慮到純四次孤子和常規孤子物理的相似性,同年,Runge等人理論上研究了脈衝(chong) 在包含正四階色散和增益的介質中的自相似傳(chuan) 播[2]。在四階正色散情況下,脈衝(chong) 向新的漸進解演化,其時域和頻域曲線與(yu) 二階色散情況下顯著不同。理論結果表明,隨著傳(chuan) 輸距離增加,脈衝(chong) 保持其形狀不變,強度與(yu) T^{4/3}成正比,瞬時頻率和T^{1/3}成正比。該自相似脈衝(chong) 的寬度和強度都呈指數增長,並且總增益的3/7用於(yu) 增加脈衝(chong) 寬度,4/7用於(yu) 增加脈衝(chong) 強度。
脈衝(chong) 在介質中傳(chuan) 播時,由於(yu) 非線性效應會(hui) 產(chan) 生新的頻率成分。通常,脈衝(chong) 的前沿紅移,脈衝(chong) 的後沿藍移。對於(yu) 自相似脈衝(chong) 而言,其瞬時頻率正比於(yu) T^{1/3},即瞬時頻率的3次方正比於(yu) 時間T(?ω3∝T)。另外,在隻有四階色散情況下,群延時eta_1與(yu) 頻率變化的三次方成正比(eta_1=eta_4?ω3)。所以,局部群延時與(yu) 時間T呈線形關(guan) 係。結果是脈衝(chong) 在傳(chuan) 播過程中保持T^{4/3}的強度分布不變。

圖4 理論和模擬自相似演化輸出時域曲線和頻域曲線實線:理論結果;圓圈:數值模擬結果
為(wei) 了驗證理論推測,作者基於(yu) 分步傅裏葉法模擬了脈衝(chong) 的演化,模擬結果與(yu) 理論推測非常吻合(如圖4所示)。脈衝(chong) 光譜如圖4b所示,呈現雙峰結構。並且由於(yu) 色散為(wei) 正,脈衝(chong) 的前沿藍移,脈衝(chong) 的後沿紅移。
圖5為(wei) 不同脈衝(chong) 寬度下振幅和脈衝(chong) 寬度隨傳(chuan) 播距離的演化,表明四階色散中的自相似脈衝(chong) 的振幅和脈寬與(yu) 入射脈衝(chong) 形狀和入射脈衝(chong) 寬度無關(guan) 。這與(yu) 二階色散情況下一致。

圖5不同脈衝(chong) 寬度下振幅和脈衝(chong) 寬度隨傳(chuan) 播距離的演化
基於(yu) 正四階色散中的自相似演化,作者模擬了一台激光器係統,如圖6a所示,腔內(nei) 包含7m長的無源四階色散光纖、1m長的有源四階色散光纖、可飽和吸收體(ti) 、輸出耦合器和濾波器。輸出脈衝(chong) 形狀和光譜如圖6b和6c所示,時域上為(wei) 三角形脈衝(chong) ,頻域上為(wei) 雙峰結構,模擬結果與(yu) 理論分析完全匹配。

圖6 四階自相似光纖激光器概念模型
上述兩(liang) 項工作研究了四階色散和克爾非線性的相互作用,表明純四次孤子和四階自相似脈衝(chong) 與(yu) 傳(chuan) 統的孤子和自相似在物理上具有相似性,為(wei) 孤子能量和脈衝(chong) 寬度擴展以及自相似的產(chan) 生提供了新的自由度,在超快光纖激光器、片上頻率梳、超連續產(chan) 生等方麵有重要意義(yi) 。
轉載請注明出處。







相關文章
熱門資訊
精彩導讀



















關注我們

