示波器是一種用途十分廣泛的電子測量儀(yi) 器。它能把肉眼看不見的電信號變換成看得見的圖形,便於(yu) 人們(men) 研究各種電現象的變化過程。利用示波器能觀察各種不同信號幅度隨時間變化的波形曲線,還可以用它測試各種不同的電量,如電壓、電流、頻率、相位差、調幅度等等。更廣義(yi) 地說,示波器是一種能夠反映任何兩(liang) 個(ge) 參數相互關(guan) 聯的X-Y坐標圖形的顯示儀(yi) 器。示波器不僅(jin) 應用於(yu) 實驗室,更成為(wei) 信息時代不可缺少的輔助工具,利用示波器對電子產(chan) 品的電路進行信號的檢測和分析,可以大大提高檢修效率。理解並掌握示波器的示波原理是解決(jue) 這些問題的前提,但大多數同學對此難以理解。文獻利用沙漏的單擺運動實驗對示波器示波原理進行類比簡化,解決(jue) 了正弦波電壓的顯示原理問題;文獻論述了示波管熒光屏上的顯示波形與(yu) 電子運動規律、波形周期與(yu) 掃描電壓周期的關(guan) 係,但這兩(liang) 種方法都存在不足,需加以改進。
1 示波管的結構
示波管是示波器的核心部件,其由電子槍、偏轉係統和熒光屏三部分組成(如圖1所示)。電子槍的作用是發射電子並形成很細的高速電子束;偏轉係統由水平(x)方向和垂直(y)方向兩(liang) 對偏轉板組成,它的作用是決(jue) 定電子束怎樣偏轉;熒光屏的作用則是顯示偏轉電信號的波形。可以用一個(ge) 形象的比喻來說明示波管的示波原理,即將電子槍比作畫圖的筆,筆尖就是高速電子束,將電子偏轉係統比作握筆的手,將熒光屏比作畫圖的紙,那麽(me) 將示波原理可比作用手握著筆在紙上作畫。

2 兩(liang) 種示波原理分析法的比較
文獻利用沙漏的單擺運動實驗對示波器的示波原理進行類比簡化,當示波管熒光屏上顯示正弦波形時,電子束轟擊熒光屏上的熒光粉而形成正弦波;沙漏在模擬單擺運動時,在硬紙板上也能描繪出正弦曲線。這兩(liang) 種情況無論在波形還是原理上,都是相通的。這種分析法對於(yu) 分析用示波器顯示正弦波原理時有效,並且易於(yu) 讓學生理解,但對於(yu) 分析顯示非正弦波形時無效,而實際上用示波器顯示的不僅(jin) 是正弦波,故還需要有其他的分析方法。
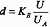
文獻論述了示波管熒光屏上的顯示波形與(yu) 電子運動規律、波形周期與(yu) 掃描電壓周期的關(guan) 係,應用物理上力與(yu) 運動的知識來分析示波原理。這種方法雖然較難理解,但它能分析所有波形的示波原理。但是,文獻中沒有指出該種方法的關(guan) 鍵之處,即電子的數目很多,不同的時刻所研究的電子(實際上是電子束)是不同的;再就是電子的速度很快,穿過偏轉係統的時間很短,每個(ge) 電子穿過偏轉係統的瞬間可將偏轉電壓看作恒定。隻有指出這兩(liang) 點,當選用電子運動規律來分析顯示波形時,學生才不會(hui) 隻對某一個(ge) 電子分析其運動軌跡。這樣,更易於(yu) 理解電子的運動規律:電子束中電子偏離軸的距離
其中KE是一個(ge) 與(yu) 偏轉係統的幾何尺寸有關(guan) 的常數,U偏轉板兩(liang) 端的電壓,UA為(wei) 電子槍中加速極的加速電壓。因此,UA一定時,偏轉電壓越大,電子的偏轉距離與(yu) 偏轉電壓成正比;也更易於(yu) 理解由電子運動規律得出的示波管示波原理。
3 任意波形形成原理的分析法
示波管中的電子有著三維運動,即由水平偏轉板上的電壓而引起的水平方向上的運動(x方向),由垂直偏轉板上的電壓而引起的垂直方向上的運動(y方向),垂直於(yu) 熒光屏的運動(z方向)。事實上,打在熒光屏上的電子是由三個(ge) 分運動合成的結果。由於(yu) 分析的是熒光屏上圖形,即平麵上的圖形,則沿著z方向的運動可不分析。又由於(yu) 不同的時刻所研究的電子是不同的,並且每個(ge) 電子穿過偏轉係統的瞬間可將偏轉電壓看作恒定,再由公式(1),可得到任意波形形成原理的分析法如下:
(1)調節示波器旋鈕,使y偏轉板及x偏轉板上的電壓均為(wei) 零時,光點在熒光屏中心位置;
(2)依據y偏轉板上的電壓波形特點,將y偏轉板及x偏轉板上的電壓波形按時間取多個(ge) 特殊點;
(3)確定在某時刻y偏轉板及x偏轉板上的電壓;
(4)由公式
(UA為(wei) 定值)確定y方向及x方向的偏轉距離,並合成得到此刻光點在熒光屏上的位置;
(5)按同樣的方法確定各個(ge) 特殊點所對應的時刻光點在熒光屏的位置;
(6)用描點(光點)法把波形畫出。
4 任意波形形成原理分析法的應用
4.1 顯示隨時間變化的波形
例如:如果在y偏轉板上加周期為(wei) Ty的正弦波電壓,在x偏轉板上加周期為(wei) Tx的鋸齒波電壓,且Tx=Ty(如圖2所示)。 根據文獻中的方法可以分析該正弦波的形成原理。

當t=t2時,uy=0,ux=0,,則在y軸方向上,電子束2的偏轉距離為(wei) 零;在x軸方向上,電子束2的偏轉距離也為(wei) 零,運動合成後,射到熒光屏的點2位置,即熒光屏的中心位置。
當t=t0時,uy=0,ux=-Uxm,則在y軸方向上,電子束0的偏轉距離為(wei) 零;在x軸負方向上,電子束1的偏轉距離最大,運動合成後,假設射到熒光屏的點0(或0’)位置。#p#分頁標題#e#
當t=t1時,uy=Uym,ux=-1/2Uxm,則在y軸正方向上,電子束1的偏轉距離最大;在x軸負方向上,電子束1的偏轉距離為(wei) x軸負方向最大偏轉距離的1/2,運動合成後,假設射到熒光屏的點1位置。
當t=t3時,uy=-Uym,ux=-1/2Uxm,則在y軸負方向上,電子束3的偏轉距離最大;在x軸正方向上,電子束3的偏轉距離為(wei) x軸正方向最大偏轉距離的1/2,運動合成後,假設射到熒光屏的點3位置。
當t=t4時,uy=0,ux=Uxm,則在y軸方向上,電子束4的偏轉距離為(wei) 零;在x軸正方向上,電子束4的偏轉距離為(wei) 最大,運動合成後,射到熒光屏的點4位置。
在下一個(ge) 掃描周期,電子束轟擊到熒光屏的位置重複進行,這樣,一個(ge) 完整的正弦波波形就形成了。
4.2 顯示任意兩(liang) 個(ge) 變量之間的關(guan) 係
示波器兩(liang) 個(ge) 偏轉板上都加正弦波電壓時顯示的圖形稱為(wei) 李沙育(Lissajous)圖形,這種圖形的形狀取決(jue) 於(yu) 不同的頻率比和初始相位差(如圖3所示)。例如,若兩(liang) 正弦信號的頻率比為(wei) 1,初相相同,且在x、y方向的偏轉距離相同,在熒光屏上畫出一條與(yu) 水平軸呈45°角的直線;若初相相差90°,且在x、y方向的偏轉距離相同,在熒光屏上畫出的圖形為(wei) 圓。

同樣,根據文獻中的方法可以分析圖3中任意一個(ge) 波形的形成原理。
5 結語
文中通過對文獻中所介紹的兩(liang) 種示波器示波原理分析法的比較和解析,總結出了一種分析任意波形形成原理的方法,解決(jue) 了多年來學生對於(yu) 示波器示波原理的諸多疑惑和疑難問題。
轉載請注明出處。







相關文章
熱門資訊
精彩導讀



















關注我們

