原邊反饋方式的AC/DC控製技術是最近10年間發展起來的新型AC/DC控製技術,與(yu) 傳(chuan) 統的副邊反饋的光耦加431的結構相比,其最大的優(you) 勢在於(yu) 省去了這兩(liang) 個(ge) 芯片以及與(yu) 之配合工作的一組元器件,這樣就節省了係統板上的空間,降低了成本並且提高了係統的可靠性。在手機充電器等成本壓力較大的市場,以及LED驅動等對體(ti) 積要求很高的市場具有廣闊的應用前景。
在省去了這些元器件之後,為(wei) 了實現高精度的恒流/恒壓(CC/CV)特性,必然要采用新的技術來監控負載、電源和溫度的實時變化以及元器件的同批次容差,這就涉及到初級(原邊)調節技術、變壓器容差補償(chang) 、線纜補償(chang) 和EMI優(you) 化技術。
初級調節的原理是通過精確采樣輔助繞組(NAUX)的電壓變化來檢測負載變化的信息。當控製器將MOS管打開時,變壓器初級繞組電流ip從(cong) 0線性上升到ipeak,公式為(wei)
![]()
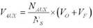
此時能量存儲(chu) 在初級繞組中,當控製器將MOS管關(guan) 斷後,能量通過變壓器傳(chuan) 遞到次級繞組,並經過整流濾波送到輸出端VO。在此期間,輸出電壓VO和二極管的正向電壓VF被反射到輔助繞組NAUX,輔助繞組NAUX上的電壓在去磁開始時刻可由公式
![]()
表示,其中VF是輸出整流二極管的正向導通壓降,在去磁結束時刻可由公式
![]()
表示,由此可知,在去磁結束時間點,次級繞組輸出電壓與(yu) 輔助繞組具有線性關(guan) 係,隻要采樣此點的輔助繞組的電壓,並形成由精確參考電壓箝位的誤差放大器的環路反饋,就可以穩定輸出電壓VO。這時的輸出電流IO由公式

表示,其中VCS是CS腳上的電壓,其他參數意義(yi) 如圖1所示。這是恒壓(CV)模式的工作原理。

圖1原邊控製應用框圖及主要節點波形圖。
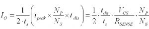
當負載電流超過電流極限時,負載電流會(hui) 被箝位在極限電流值,此時係統就進入恒流(CC)模式,這裏對IO的公式需要加一個(ge) 限定條件即

,即去磁時間與(yu) 開關(guan) 周期的比例保持一個(ge) 常數,這樣在CC模式下的輸出電流公式變成了
![]()
,其中C1是一個(ge) 小於(yu) 0.5的常數,VCSLMT是CS引腳限壓極限值。
在使得去磁時間與(yu) 開關(guan) 周期的比例保持一個(ge) 常數後,輸出的電壓和電流就都與(yu) 變壓器的電感值無關(guan) 了,因此在實用層麵上降低了應用方案對同批次電感感值一致性的要求,從(cong) 而降低了大規模生產(chan) 加工的成本。
與(yu) 此同時,原邊反饋係統還會(hui) 麵臨(lin) 線纜壓降的問題。因為(wei) 係統不是直接采樣輸出端(次級繞組整流後)的電壓,而是通過采樣輔助繞組的去磁結束點的電壓來控製環路反饋的,因此,當輸出線較長或者線徑較細時,在負載線上會(hui) 存在較大的內(nei) 阻(例如在充電器方案中)。在負載電流變化較大的情況下,輸出線的末端電壓也會(hui) 有較大變化。在CV模式下,這種變化在某些場合是不能接受的,因此,原邊反饋驅動芯片還應該提供對線纜壓降補償(chang) 的功能,這個(ge) 功能通常是通過在INV腳上拉一個(ge) 小電流來實現的。通過預估補償(chang) 值來調節連接在INV腳上的分壓電阻的總阻值(分壓比例不變),從(cong) 而補償(chang) 不同負載線型和負載大小帶來的線纜壓降,以維持CV曲線的水平性(如圖2中的CV曲線)。

圖2原邊反饋AC-DC控製器的工作模式示意圖。
此外,一款好的原邊反饋AC-DC控製器還應該具備優(you) 秀的EMI特性,對於(yu) 傳(chuan) 導和輻射這兩(liang) 方麵的幹擾都應該盡可能降低,目前常見的做法是采用抖頻技術和驅動信號柔化技術。抖頻技術是指在開關(guan) 頻率的基頻基礎上引入一個(ge) 小幅度的頻率變化值,以此來降低在開關(guan) 頻率點上的頻譜能量強度,優(you) 化EMI特性。而驅動信號柔化技術則是指將驅動MOS管柵極的驅動信號的開啟沿(上升沿)變得比較平滑,以減小MOS管開啟瞬間的能量傳(chuan) 導和輻射,從(cong) 而進一步優(you) 化EMI特性。
芯聯半導體(ti) 推出的CL1100就是一款具備初級(原邊)調節技術、變壓器容差補償(chang) 、線纜補償(chang) 和EMI優(you) 化技術的原邊反饋AC-DC控製器,並且具有多種保護功能,例如軟啟動、逐周期的過流保護(OCP)、CS采樣端前沿消隱(LEB)、以及過壓保護(OVP)和欠壓保護(UVLO)。實測的CL1100的恒壓/恒流特性曲線如圖3所示,該芯片可將恒壓/恒流精度都控製在±3%之內(nei) 。

本文小結
隨著小功率隔離AC-DC應用向更低成本和更小體(ti) 積的趨勢發展,原邊反饋方式的AC-DC控製芯片應運而生。為(wei) 了滿足高精度的恒流和恒壓應用要求,原邊反饋控製芯片采用了初級(原邊)調節技術、變壓器容差補償(chang) 、線纜補償(chang) 和EMI優(you) 化技術。這些技術的采用保證了原邊反饋方式的AC-DC控製芯片對於(yu) 應用電源範圍,不同特性的負載以及元器件批次容差都具有了很強的適應性,因而成為(wei) 一種可以廣泛應用於(yu) 不同場合的控製技術。
轉載請注明出處。







相關文章
熱門資訊
精彩導讀



















關注我們

