RASCO Automotive Systems是一家專(zhuan) 業(ye) 的三維掃描、逆向工程、質量檢測服務提供商,主營業(ye) 務是幫助汽車和機械等行業(ye) 行業(ye) 用戶對沒有CAD數據的汽配件和其它機械件進行數字化逆向工程,質量檢驗,這些汽配件包括有懸架和底盤、鑄件、各種機械部件、保險杆等,此外RASCO還能提供整車掃描服務。

三維掃描服務是近年來快速增長的一個(ge) 行業(ye) ,一個(ge) 小的零配件掃描僅(jin) 僅(jin) 需要10多分鍾的時間,卻可以給RASCO帶來數千美元的收入,而RASCO每年可完成幾千件的掃描任務,RASCO負責表示人隨著工程師熟練程度增加,他們(men) 甚至還可以做得更多。如此之高的投入產(chan) 出比源自於(yu) 各種光學式三維掃描技術的快速發展,相比於(yu) 傳(chuan) 統機械式三維掃描儀(yi) ,他們(men) 效率明顯提升。
RASCO采用的3D3公司的HDI Advance快速三維掃描儀(yi) 是一款白光三維掃描儀(yi) ,可以在1.4s的時間完成一次掃描。相比於(yu) 同類白光三維掃描儀(yi) ,除了掃描速度快外,還具有靈活的配置,簡單易用的軟件,可以高精度的快速完成各種大小物件的三維掃描,僅(jin) 僅(jin) 一次小的投入,就可以持續獲得豐(feng) 厚的回報。


與(yu) 一般的三維掃描儀(yi) 不同,HDI ADVANCE掃描是一套可拆卸掃描儀(yi) ,主要由FlexScan3D軟件和PointGrey工業(ye) 相機等組成,掃描儀(yi) 設置(鏡頭組合和間隔的距離)可任意變換以適應不同目標達到最佳的掃描性能,組件可以掃描目標不同的形狀和大小進行拆卸與(yu) 更換,非常靈活。掃描儀(yi) 快速和高精度的捕獲三維數據。如RASCO使用的HDI Advance R1三維掃描儀(yi) 多掃描儀(yi) 組合模式(12.5毫米和16mm兩(liang) 組鏡頭),就已經可以任意掃描50mm的小配件到2500mm大小的整車。
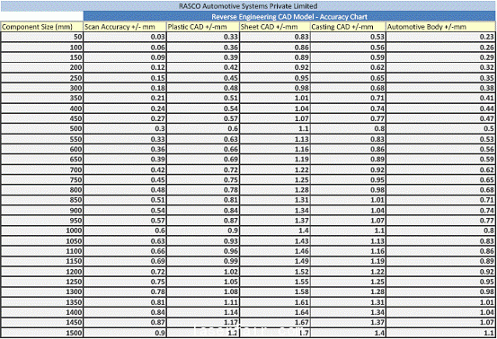
通常情況下根據形狀和大小的不同,掃描儀(yi) 1個(ge) 零件或組件,RASCO的會(hui) 進行15~50次掃描,最後使得整體(ti) 精度在20um到35um之間。掃描一個(ge) 整車會(hui) 需要更多的時間,整體(ti) 精度則會(hui) 取決(jue) 拚接操作的合理性,以下是RASCO采用HDI ADVANCE進行不同大小物體(ti) 掃描可達到的掃描精度列表。

逆向工程
RASCO客戶三維掃描的一個(ge) 主要需求是對工件進行逆向工程複製。對於(yu) 工業(ye) 機械、汽車零配件的逆向重建都需要360度全方位3D重構,以便完成完整的複製,這就涉及到多次掃描拚接的問題,而許多機械配件往往沒有特征,隻是一個(ge) 圓柱體(ti) ,如軸,活塞和管狀元件,這給拚接帶來很大的困難。在這種情況下,HDI ADVANCE的攝影測量功能發揮了巨大作用,它可以幫助工程師們(men) 快速、準確的對多次三維掃描結果進行對齊拚接,以構建360度全方位3D形貌。對於(yu) 沒有幾何特征的目標或者是需要大麵積拚接的情況,還增加了基於(yu) 標記對齊方法,可以輕鬆快速的自動對齊沒有特征的圓柱形物體(ti) 。
三維檢測
在機械配件掃描應用中,另外一種需求是對掃描件的三維機械尺寸進行分析和檢測,以便進行產(chan) 品質量控製。RASCO利用HDI ADVANCE的偏差分析功能,與(yu) Geomagic配合可以提供精準的數字、圖形數據比較報告,允許配件製造商客戶在產(chan) 品大批量生產(chan) 之前就發現問題,節約成本和時間。

轉載請注明出處。








相關文章
熱門資訊
精彩導讀


















關注我們

