TPS61040/41是一款高頻低功耗升壓轉換器,專(zhuan) 門用於(yu) 中小型LCD偏壓和白光LED背光照明。使用時可由兩(liang) 節鎳氫/鎳鎘電池或單節鋰離子電池產(chan) 生高達28V的輸出電壓。TPS61040/41的開關(guan) 頻率高達1MHz,功耗低(靜態電流典型值28μA)。
封裝及引腳功能
TPS61040/41采用SOT-23-5或SON-6封裝如圖1所示,其引腳功能如表1所示。

圖1 TPS61040/41采用SOT-23-5或SON-6封裝
表1 引腳功能表

典型應用電路
由圖2可知,TPS61040/41輸入電壓範圍為(wei) 1.8~6V,輸出電壓可達28V.當輸入端加入輸入電壓VIN時,TPS61040/41內(nei) 部MOSFET開關(guan) Q1導通,並逐步增加了從(cong) VIN通過L1、Q1和內(nei) 部電流檢測電阻RSENSE的電流量。TPS61040/41的FB(反饋)腳檢測輸出電壓,隻要反饋電壓低於(yu) 參考電壓(典型值1.233V),則內(nei) 部Q1導通,電流增大;當電感L1電流達到內(nei) 部設置峰值電流ILM(TPS61040為(wei) 400mA或TPS61041為(wei) 250mA)時Q1截止,另外為(wei) 應付極端條件以限製最大導通時間,在最大導通時間超過6μs(典型值)時Q1也會(hui) 截止。TPS61040/41外接元件決(jue) 定了Q1的關(guan) 斷時間。為(wei) 了維持運行以及設定Q1的關(guan) 斷時間,TPS61040/41內(nei) 部控製器必須用Q1和RSENSE監測通過L1的電流。當關(guan) 斷Q1時,流過L1的電流中斷會(hui) 升高電感上的電壓,使外部的肖特基二極管D1正偏並導通,D1作續流二極管保證電流輸出,為(wei) 輸出電容器C1充電至一個(ge) 較高電壓,這個(ge) 電壓高於(yu) 單獨的輸入電壓VIN。

圖2 應用電路
開關(guan) 管關(guan) 斷至少要保持400ns(典型值),或者反饋電壓又低於(yu) 參考電壓時才導通。輸入電壓、L1以及通過RSENSE的預設峰值電流都會(hui) 影響Q1的導通時間。
具體(ti) 電路設計
本文給出了TPS61040的兩(liang) 種具體(ti) 電路。圖3為(wei) 用TPS61040作為(wei) 升壓轉換器來驅動並聯LED;圖4為(wei) 用TPS61040作為(wei) 升壓轉換器來驅動串聯LED.圖3中通過在FB引腳和GND之間連接一個(ge) 15Ω的外部電阻R1,根據反饋電壓(VFB=1.233V),TPS61040可為(wei) LED提供80mA的恒定電流。該設計允許在輸出上使用物理尺寸較小的外部器件(使用陶瓷電容代替鉭電容),這是由於(yu) TPS61040提供的開關(guan) 頻率高達1MHz.PWM控製管腳用來控製LED燈的亮度。該電路可以獲得85%的電源轉換效率。在圖4中通過改變R1和D3的值,升壓拓撲可以驅動串聯的LED.通過在FB引腳連接一個(ge) 47Ω的接地電阻,並根據反饋電壓(VFB=1.233V),TPS61040可為(wei) LED提供26mA的恒定電流。

圖3 TPS61040驅動並接的白光LED電路

圖4 TPS61040驅動串接的白光LED電路
1.電感、最大負載電流的選擇
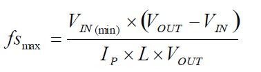
因為(wei) TPS61040/41工作在持續峰值電流控製的PFM模式,此方式具有內(nei) 在穩定性,電感值不影響調節器穩定性。電感選擇與(yu) 額定負載電流,輸入和輸出電壓一起決(jue) 定轉換器開關(guan) 頻率。根據不同的應用,電感值的選擇可介於(yu) 2.2μH和47μH之間(圖3、圖4中選擇10μF)。最大的電感值是由開關(guan) 管的最大導通時間確定,一般為(wei) 6μs.電感值決(jue) 定了轉換器的最大開關(guan) 頻率。因此,選擇電感值時,應確保在轉換器工作在最大負載電流時開關(guan) 頻率不超過最大值。最大開關(guan) 頻率計算公式如下:

式中,IP為(wei) 峰值電流;L為(wei) 所選電感的電感量;V IN(min)為(wei) 最高開關(guan) 頻率時的最小輸入電壓。
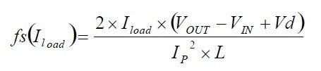
如果選定的電感值沒有使轉換器超過最大開關(guan) 頻率,下一步就需要計算在額定負載電流時的開關(guan) 頻率,可由下麵公式得到:

式中,Iload為(wei) 額定負載電流;Vdd為(wei) 整流二極管正向電壓(典型值0.3V)。
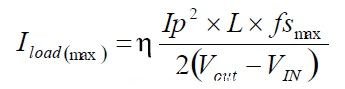
較小的電感值能使轉換器獲得較高的開關(guan) 頻率,但卻降低了效率。電感值對最大有效負載電流影響不大,在一定的工作條件下,計算最大有效負載電流最好方法是估計轉換器的最大負載電流效率。最大負荷電流就可以估計如下:

式中,fSmax為(wei) 預估計的最大開關(guan) 頻率;η為(wei) 期望的轉換器效率,典型值為(wei) 70%-85%.
轉換器的最大負荷電流是該轉換器開始進入連續傳(chuan) 導模式的工作點電流。該轉換器應該通常一直工作在電流斷續模式。
2.輸出電壓的設置。
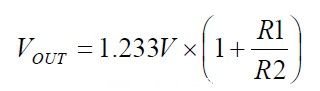
輸出電壓可由下式計算:

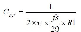
對於(yu) 電池供電的應用而言(見圖2),應使用高阻抗電壓分配器,並且R2典型值小於(yu) 200kΩ,R1最大值為(wei) 2.2MΩ。低阻抗可降低反饋引腳噪聲敏感性。電阻R1並聯的前饋電容CFF是很重要的,它為(wei) 誤差比較器提供足夠的過載。沒有前饋電容或其值過小,在TPS61040/41的SW引腳處會(hui) 有雙脈衝(chong) 或突發脈衝(chong) ,導致更高的輸出電壓波紋。轉換器的開關(guan) 頻率越低,則要求前饋電容值越大。但前饋電容越大則電源線性調整率越差,因此選擇的前饋電容器也不能太大。前饋電容值可使用下列公式計算:

式中,R1電壓分配器中的上拉電阻;fS額定負載電流時的轉換器開關(guan) 頻率。
3.電源線性調整率和負載調整率
線性調整率取決(jue) 於(yu) 反饋引腳的紋波電壓。通常即使在反饋引腳FB上有峰峰值為(wei) 50mV的紋波電壓,TPS61040/41也可獲得一個(ge) 良好的輸出。不過一些應用可能需要更精密的線性調整率。
由前麵介紹可知,若沒有前饋電容,則TPS61040/41的SW引腳處會(hui) 有雙脈衝(chong) 或突發脈衝(chong) ,導致更高的輸出電壓波紋,所以沒有前饋電容就沒有良好的線性調節器。但增加前饋電容值雖然降低輸出電壓波紋,但卻增加反饋引腳FB的電壓紋波,反饋引腳的電壓波動越大(≥50mV),線性調整率就越差。一般采用兩(liang) 種方法來進一步提高線性調整率:
1)把L1電感值減小,從(cong) 而提高開關(guan) 頻率,降低輸出電壓紋波,同時也減小了反饋引腳的電壓波動。
2)反饋引腳(FB)和地之間增加一個(ge) 小電容使反饋引腳的紋波電壓減少到50mV以下。
4.輸入、輸出電容的選擇
為(wei) 更好實現輸入、輸出電壓的濾波,應采用低ESR(等效串聯電阻)電容。陶瓷電容具有低ESR值,但也可以使用鉭電容。
一般可采用4.7μF陶瓷電容。
5.二極管選擇#p#分頁標題#e#
一般采用肖特基二極管以實現高效率。二極管的額定電流值應滿足轉換器的峰值電流額定值。
6.布局考慮
對所有的典型開關(guan) 電源,布局設計是一個(ge) 重要環節,特別是在高峰值電流和高開關(guan) 頻率時。如果布局不合理,轉換器可能會(hui) 有噪聲問題和周期性的抖動。設計時,輸入電容應該盡可能放在靠近輸入引腳的地方,以利於(yu) 輸入電壓的濾波。電感和二極管應該放在盡可能靠近開關(guan) 引腳附近,以減輕噪聲耦合到其它電路。因為(wei) 反饋引腳和電源網絡是一個(ge) 高阻抗電路,在布線時要遠離電感。反饋引腳和反饋網絡要用大麵積的地進行屏蔽以減小噪聲耦合。
轉載請注明出處。







相關文章
熱門資訊
精彩導讀


















關注我們

