本文對具有特殊後續電信號處理係統的雙縱模雙頻激光幹涉儀(yi) 的非線性誤差進行了研究。根據理論分析推導出了存在非線性時輸出信號的表達式,並據此給出了非線性誤差的表現形式是使混頻輸出信號產(chan) 生漂移起伏,主要影響因素是偏振分光鏡分光偏振度及光路調整理想程度。根據分光偏振度可計算信號最大漂移幅度及其帶來的測量誤差,計算出的漂移幅度值與(yu) 實際觀測值相近,該值可作為(wei) 判斷光路調整精度的一個(ge) 標準,也是確定後續信號處理環節(細分辨向計數)中最大細分數的依據。
非線性誤差是提高雙頻激光幹涉儀(yi) 測量精度的決(jue) 定性因素,由雙縱模He-Ne熱穩頻激光源構成的雙頻激光幹涉儀(yi) ,雖然具有動態性能好、光路係統不需λ/4波片和移相器件(利用延遲線移相)的優(you) 異特性,但由於(yu) 其頻差高(頻差為(wei) 模間隔c/2nl,c為(wei) 光速,n為(wei) 折射率,l為(wei) 諧振腔長度,其值高達幾百MHz),決(jue) 定了其後續電信號處理係統較特殊,其非線性誤差的表現形式及其對測量精度的影響也就完全不同,目前對此進行研究的文獻報道較少。本文根據理論分析推導出存在非線性時幹涉儀(yi) 輸出信號的表達式,並給出了非線性誤差的影響因素、表現形式、減小方法及其對測量精度影響的數值計算表達式。
1工作原理
雙縱模雙頻激光幹涉儀(yi) 係統組成如圖 1 所示。激光器輸出頻率穩定、偏振方向固定且相互垂直的兩(liang) 個(ge) 頻率分別為(wei) f1和f2的光,由分光器2反射的一小部分光經透鏡7聚焦,再經與(yu) 晶軸成45°方向的偏振片8,使偏振麵正交的兩(liang) 個(ge) 縱模的激光在45°方向上形成拍幹涉,由器件9接收得到參考信號。透射的大部分光經光擴展器3準直擴束後,由偏振分光鏡4分光。偏振方向平行紙麵的縱模頻率為(wei) f2的光透射向測量角錐鏡6,偏振方向垂直紙麵的縱模頻率為(wei) f1的激光反射向參考固定角錐鏡5,兩(liang) 路光返回合光後經透鏡7、45°偏振片8後由器件10接收得到測量信號。設f1和f2的光在分光器2處的初始相位均為(wei) 0,從(cong) 分光器2到光電接收器9的光程為(wei) lr,從(cong) 分光器2經偏振分光鏡4反射,再經固定角錐鏡5反射到光電接收器10的光程為(wei) lf,從(cong) 分光器2經偏振分光鏡4透射,再經測量角錐鏡6反射到光電接收器10的初始光程為(wei) lm,測量角錐鏡的被測位移為(wei) Δx。

對於(yu) 參考信號,兩(liang) 縱模頻率光電矢量分別為(wei)

對於(yu) 測量信號,兩(liang) 縱模頻率光電矢量分別為(wei)

Δx引起的相位變化量為(wei) Δ=2π(2Δx/λ2)。由於(yu) 雙縱模雙頻激光幹涉儀(yi) 頻差(f1-f2)太大(He-Ne激光器腔長約206mm時,約728MHz),直接處理有困難,需經高頻放大、功分、移相、混頻後,消去高頻載波,得到兩(liang) 路相位差90°的測量信號到達細分辨向計數環節,經處理得到測量結果。這兩(liang) 路信號分別為(wei)

式中:
是與(yu) 幹涉儀(yi) 初始位置有關(guan) 的固定項。
2 非線性影響分析
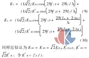
實際上構成幹涉儀(yi) 的光源和光學器件的性能不可能達到理想程度,因而不能夠完全實現上述理論分析所表達的線性關(guan) 係。其表現為(wei) :在垂直紙麵方向振動的光除E1(ω1)外,還混有E′1(ω2);在平行紙麵方向振動的光除E2(ω2)外,還混有E′2(ω1)。應該說明:不同於(yu) 塞曼型幹涉儀(yi) ,雙縱模熱穩頻激光器無需外加磁場,直接輸出偏振麵相互垂直的線偏振光,也無需在光路中加λ/4波片,因而引起非線性的原因主要有兩(liang) 個(ge) ,一個(ge) 是分光鏡和入射線偏振光振動方向之間的方位未調整至理想狀態(棱邊和振動方向正交的兩(liang) 線偏振光應平行),另一個(ge) 是偏振分光鏡分光偏振度不良導致兩(liang) 頻率的偏振光不能完全分開。
對於(yu) 參考信號,與(yu) 式(1)、(2)、(3)完全相同。而對於(yu) 測量信號,則有

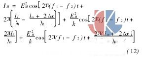
光電接收器10檢測到的光強交流分量為(wei)

忽略二次項影響,並考慮到:1/λ1-1/λ2=1/λS(λS為(wei) 拍波波長,λS=2nl,n為(wei) 折射率,l為(wei) 激光器諧振腔長)。上式簡化為(wei)

經放大、功分、移相、混頻後的兩(liang) 路信號分別為(wei)

式中第一項是所需的測量信號,第二、三項即為(wei) 非線性項。其中第二項是與(yu) 幹涉頭(偏振分光鏡4與(yu) 參考角錐鏡5固定在一起的結構體(ti) )位置有關(guan) 而與(yu) 測量過程無關(guan) 的固定直流信號。第三項是在測量過程中以λS(激光器腔長約206mm時,約為(wei) 412mm)為(wei) 周期的交變信號。
3 非線性對測量精度的影響
在細分辨向計數環節,一般采用將兩(liang) 路正餘(yu) 弦信號合成近似三角波,然後再用處理器處理的方法。該環節的實際輸入信號可以記作
y1=Acosθ+A10,y2=Asinθ+A20 (15)
因此,由信號漂移A10及A20引起的信號幅值最大誤差為(wei)

在(0°,90°)的細分測量範圍內(nei) ,由此引起的最大相位誤差為(wei)

由數學分析可以得到,Δymax出現在2π(lr-lm-2Δx)/λS為(wei) π/4奇數倍的位置點處,其具體(ti) 值則取決(jue) 於(yu) 2π(lr-lf)/λS的值,可以通過調整幹涉頭的位置(即lf的大小)來確定。當2π(lr-lf)/λS為(wei) π/4奇數倍時,Δθmax最大,其值為(wei) 2π/(2k);當2π(lr-lf)/λS為(wei) π/2整數倍時,Δθmax最小,其值為(wei) (1+2)π/(4k)。當k=10時,可計算出Δθmax最大為(wei) 12.7°(對應測量誤差11.2nm),最小為(wei) 10.9°(對應測量誤差9.55nm),這時計算機軟件細分區間至少小於(yu) 10.9°,已沒有意義(yi) 。
實際上,通過示波器觀察測量過程中輸出信號的漂移起伏,精細調整好偏振分光鏡與(yu) 入射線偏振光振動方向之間的方位(其棱邊應與(yu) 線偏振光方向平行)後,偏振分光鏡分光偏振度不良就成為(wei) 產(chan) 生非線性誤差的主要因素。前後移動幹涉頭可將光路調至最佳位置。根據偏振分光鏡的分光偏振度參數可估算出非線性引起的信號漂移起伏大小。通過示波器觀察到的最佳狀態下實際的漂移起伏一般均大於(yu) (但很接近)該估算值,因而該值可作為(wei) 判斷光路調整是否理想的一個(ge) 標準,也是確定細分辨向計數環節中最大細分數的依據。
4 結論
(1)雙縱模雙頻激光幹涉儀(yi) 的高頻差決(jue) 定了其輸出電信號需經高頻放大、功分、移相、混頻後,消去高頻載波,得到兩(liang) 路相位差90°的測量信號,再經細分辨向計數環節得到測量結果。其非線性的影響形式是使混頻輸出信號產(chan) 生漂移起伏,進而使處理器軟件細分(合成近似三角波方式)環節產(chan) 生測量誤差。#p#分頁標題#e#
(2)雙縱模熱穩頻激光器無需外加磁場,直接輸出與(yu) 偏振麵相互垂直的線偏振光,也無需在光路中加λ/4波片,因而偏振分光鏡和入射線偏振光振動方向之間的方位未調整至理想狀態(棱邊和振動方向正交的兩(liang) 線偏振光應平行)及偏振分光鏡分光偏振度不良導致兩(liang) 頻率的偏振光不能完全分開是引起非線性的主要原因,前者可通過精細調整偏振分光鏡方位基本消除,後者則不可避免。
(3)幹涉頭有最佳位置,前後移動幹涉頭可將非線性的影響減至最小。根據偏振分光鏡的分光偏振度參數可估算出此時非線性引起的信號漂移起伏大小,該值可作為(wei) 判斷光路調整是否理想的一個(ge) 標準,也是確定細分辨向計數環節中最大細分數的依據。
轉載請注明出處。







相關文章
熱門資訊
精彩導讀



















關注我們

