什麽(me) ?
竟然能用尺子量出激光波長
是物理所的特製尺子嗎?
不是,就是普通的鋼尺哦
實驗器材:所標杯、鋼尺、激光筆

實驗過程:
安全提示:實驗中用到激光,使用時請注意安全;小朋友請在大人陪同下進行實驗.
將鋼尺擺在桌子邊緣,讀出鋼尺刻線之間的距離d,並測量出鋼尺到光屏的距離D。

這是一張光路圖
用激光筆照射鋼尺邊緣,調整入射光,使其與(yu) 鋼尺夾角較小,並能同時看到直射光線、反射光線和多級幹涉條紋的光斑。這裏需要提醒大家,光斑越小越容易測量哦。

幹涉條紋
測量直射光線光斑與(yu) 反射光線的光斑之間的距離d1,及反射光線的光斑與(yu) 一級幹涉條紋的光斑之間的距離d2。

測量中
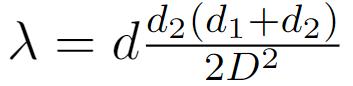
使用公式:

計算出光波波長。
原理解說
有一天老師讓大家測量一張紙的厚度,而聰明的小明數了一百張紙,測出了總共的厚度,再將其除以一百就完成了老師的任務。當我們(men) 有一把鋼尺的時候,能不能也像聰明的小明一樣測出光波波長呢?當然是不行的,如此測量需要邁克爾孫幹涉儀(yi) 的幫助,我們(men) 今天使用的原理是光柵掠入射法。

透射光柵(不是今天的主角)
光柵是由大量等寬等間距的平行狹縫構成的光學器件,而鋼尺上的刻度正好構成了一個(ge) 光柵。當我們(men) 用激光照射鋼尺的邊緣時,一部分光直接照射至光屏上,另一部分照射至鋼尺表麵發生幹涉。

光柵掠入射示意圖
如圖所示,設 A 和 B 為(wei) 相鄰兩(liang) 刻度,相距 d 。設入射光與(yu) 鋼尺夾角為(wei) α ,出射光與(yu) 鋼尺夾角為(wei) β 。由光學原理可知,當在相鄰兩(liang) 刻度上的光程相差 k 倍波長λ 時,有光強極大值,此極大值稱為(wei) k 級條紋。有光柵方程:dcosα-dcosβ=kλ。
當k=0時,α=β入射角等於(yu) 反射角,為(wei) 幾何反射光。
當k>0時,為(wei) 我們(men) 在光屏上看到的+k級條紋。
當k<0時,由於(yu) 實驗中α足夠小,故條紋不可見。
本次實驗中我們(men) 使用的是k=0和k=1時的條紋,設其出射角分別為(wei) θ0和θ1。可知入射光和反射光之間夾角為(wei) 2θ0,反射光和一級條紋之間的夾角為(wei) θ1-θ0。
故由幾何關(guan) 係有:
d1/2D=tanθ0
d2/D+d1/2D=tanθ1
帶入光柵方程,得到
d(cosθ0-cosθ1)=λ
由以上三式解得

帶入測量數據就可以得到激光波長了!大家測量的結果有落在可見光區間嗎?
轉載請注明出處。







相關文章
熱門資訊
精彩導讀



















關注我們

