在超快時間尺度上獲得物質的動力學演化過程一直是科研人員努力的重要方向。基於(yu) 激光等離子體(ti) 相互作用產(chan) 生的飛秒硬X射線源由於(yu) 具有脈寬短、亮度高和源尺寸小等優(you) 點,可廣泛應用於(yu) 瞬態微成像/相襯成像、時間分辨吸收譜學和X射線衍射等實驗研究中。其中,激光泵浦--超快X射線衍射的手段能為(wei) 人們(men) 提供飛秒級時間尺度、亞(ya) 埃級空間尺度上材料的結構動力學信息。
中國科學院物理研究所/北京凝聚態物理國家研究中心光物理實驗室L05組博士研究生朱常青等利用研究組的高脈衝(chong) 能量(>100mJ)、低重頻(10Hz)激光器,研製了一套飛秒時間分辨的X射線衍射係統。該裝置工作在相對論的激光強度(2×1019 W/cm2)下,可以有效地激發高Z金屬材料的Kα射線,並且能夠通過優(you) 化X射線多層膜反射鏡,進一步提高X射線的聚焦強度。利用該裝置對SrCoO2.5薄膜樣品的瞬態結構進行探測,結果表明該裝置不僅(jin) 可以用來分析樣品的超快動力學行為(wei) ,並且和KHz等小能量裝置相比對於(yu) 不同的特殊應用具有高度的靈活性。該裝置有望在物理、化學和生物領域的超快動力學探測方麵發揮重要作用。
相關(guan) 成果以“快速通訊”的形式於(yu) 近日發表在Chinese Physics B上。這也是該團隊利用激光超快X射線源在成像和衍射應用方麵獲得的最新創新成果。
該項工作及相關(guan) 研究得到了國家重點研發計劃、國家自然科學基金和中科院戰略性先導科技專(zhuan) 項的支持。
論文鏈接:https://cpb.iphy.ac.cn/EN/10.1088/1674-1056/ac0baf

圖1 超快X射線衍射裝置示意圖

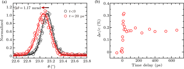
圖2 在光泵浦下超快X射線衍射信號隨延時的變化:(a)泵浦光作用20ps後勞厄衍射斑的角移;(b)不同的泵浦-探針延時,所對應的光致拉伸度
轉載請注明出處。








相關文章
熱門資訊
精彩導讀


















關注我們

