
撰稿人 | 仇旻
論文題目 | Non-Abelian braiding on photonic chips
作者 | 張旭霖*,餘(yu) 峰,陳澤國,田振男*,陳岐岱,孫洪波*,馬冠聰*
完成單位 | 吉林大學,清華大學,香港浸會(hui) 大學
論文導讀
飛秒激光直寫(xie) 技術具有加工速度快、精度高(微納級別)、可實現三維結構加工等優(you) 勢,在豐(feng) 富的材料體(ti) 係中獲得了應用。利用飛秒激光直寫(xie) 技術製備的光子集成芯片,是麵向下一代片上信息處理的重要平台。近日,來自吉林大學電子學院、清華大學精儀(yi) 係和香港浸會(hui) 大學物理學院的聯合研究團隊在飛秒激光直寫(xie) 三維光子集成芯片領域取得了重要進展:研究人員設計和製備了基於(yu) 非阿貝爾編織效應的光子集成芯片,為(wei) 片上光量子邏輯等應用提供了新的技術路線。該研究成果以“Non-Abelian braiding on photonic chips”為(wei) 題,以長文形式在線發表在權威光學期刊《自然·光子學》(Nature Photonics)上。論文的通訊作者為(wei) 清華大學的孫洪波教授、香港浸會(hui) 大學的馬冠聰教授以及吉林大學的張旭霖副教授和田振男副教授;論文的共同第一作者為(wei) 吉林大學的張旭霖副教授和博士生餘(yu) 峰;論文的貢獻作者還包括吉林大學的陳岐岱教授和香港浸會(hui) 大學的陳澤國博士。
研究背景
采用光子作為(wei) 信息載體(ti) 的集成光子芯片,是後摩爾時期實現片上信息傳(chuan) 輸和處理的重要選項。現階段的集成光子芯片方案在多種材料體(ti) 係平台都有研究(如矽基、铌酸鋰、聚合物等),而加工片上器件結構的技術手段也多種多樣,包括光刻技術、離子注入技術、化學氣相沉積技術和飛秒激光直寫(xie) 技術等,這其中的絕大部分工藝都是隻能麵向二維芯片加工需求的平麵工藝。飛秒激光直寫(xie) 技術是一種將脈衝(chong) 激光光束聚焦於(yu) 材料表麵或內(nei) 部,通過激光焦點與(yu) 材料的非線性相互作用,引起材料性質改變的微納加工技術。得益於(yu) 其獨特的加工方式,飛秒激光直寫(xie) 技術可以實現任意三維形狀結構的加工製備,這給片上三維光子集成提供了可能。然而,當前成熟的片上光子器件的設計原理大多是麵向二維芯片(例如在受到廣泛關(guan) 注的KLM方案中通過在二維芯片上設計由光波導組成的平麵分束器和相移器兩(liang) 種基本單元就能實現通用光量子計算),麵向第三個(ge) 空間維度的研究仍然十分缺乏。將片上光子集成推廣到三維,除了可以在物理空間上為(wei) 提高器件的集成度提供直接解決(jue) 方案,更可以提供新的物理自由度用於(yu) 設計新型片上光子操控手段,而這些美好的願景都離不開飛秒激光直寫(xie) 這一強有力的工具。
技術突破
針對飛秒激光直寫(xie) 三維光子芯片的巨大應用潛力,研究團隊提出並在芯片上成功驗證了一種新型三維光子集成與(yu) 操控機製??非阿貝爾編織機製,用於(yu) 實現片上光量子邏輯等應用。非阿貝爾編織的概念最早在凝聚態領域被提出,用於(yu) 實現受拓撲保護的量子計算。非阿貝爾編織操作本質上是實現一個(ge) 幺正矩陣變換,而矩陣中的相位因子可以用經典波體(ti) 係的貝裏幾何相位構造,這給非阿貝爾編織在經典波中的實現和應用架起了橋梁。幾何相位在光子學中早已獲得了廣泛的研究和應用(例如可以利用光學超表麵來操控光子的偏轉等特性),但這些研究中利用的貝裏幾何相位大多是一個(ge) 相位因子,與(yu) 之對應的具有非阿貝爾特性的貝裏相位矩陣在光子學中仍未被廣泛研究,其實現將為(wei) 我們(men) 提供幺正矩陣等新的手段來操控光子,而這正是片上信息處理和運算所需要的重要功能。
基於(yu) 此,研究團隊將非阿貝爾編織的概念引入到光子芯片中,首先給出在光子芯片上利用光波導結構實現2個(ge) 光子模式編織的方案,該編織結構也會(hui) 作為(wei) 實現更多模式編織的基本單元。編織結構由4根單模光波導組成(圖1a),其中波導A,B和S是不發生直接耦合的直波導,X是與(yu) 三者耦合的彎曲波導。按功能劃分,波導A和B是編織波導,波導S是儲(chu) 能波導,波導X是耦合波導,它與(yu) 其它3個(ge) 直波導的耦合係數如圖1b所示。係統一共存在4個(ge) 本征模式,受到手征對稱性的保護,有2個(ge) 模式從(cong) 始至終保持簡並狀態,並保持和單波導結構具有相同的傳(chuan) 播常數
,而編織正是依靠這2個(ge) 本征“零模”的絕熱衍化實現的。整個(ge) 編織過程,按照耦合係數的變化可以分為(wei) 3個(ge) 步驟:在步驟1中,依靠耦合係數的設計和2個(ge) 簡並零模的絕熱衍化,從(cong) 波導A入射的光子會(hui) 絕熱傳(chuan) 輸到波導S並獲得一個(ge) π的幾何相位(用A→-S表示,下同),而從(cong) 波導B入射的光子保持位置不變(圖1c);步驟2的過程可以用B→-A和S→S描述;步驟3的結果為(wei) S→-B和A→A。由於(yu) 在編織過程中光子隻會(hui) 分布在3根直波導中(提供耦合作用的X波導中始終沒有光子),兩(liang) 組衍化過程中積累的動力學相位嚴(yan) 格一致,因此整個(ge) 編織過程可以用
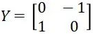
來描述(圖1d,[]T中的項依次對應波導A和B中的波函數),其中由編織過程中幾何相位積累組成的貝裏相位矩陣
,該矩陣對應量子邏輯Y門。
研究團隊利用飛秒激光直寫(xie) 技術在玻璃芯片中製備了上述結構,通過測試輸出光在波導陣列中的分布,驗證了2個(ge) 光子模式的編織現象,即光子的輸出波導與(yu) 輸入波導不同(圖1e,f);並通過設計一個(ge) 幹涉實驗,證實了該編織過程的貝裏幾何相位矩陣(圖2)。

圖1 飛秒激光直寫(xie) 光子芯片中實現2個(ge) 光子模式的編織操作。

圖2 編織過程中貝裏幾何相位的實驗表征。
為(wei) 了驗證光子模式編織的非阿貝爾特性,研究團隊通過在上述結構的基礎上加入一組新的編織結構(包括編織波導C、耦合波導X2和儲(chu) 能波導S2),設計並製備了3個(ge) 光子模式編織的結構(圖3a)。研究人員定義(yi) 了兩(liang) 個(ge) 編織過程:G1編織過程實現波導A和B的編織而隔離波導C,G2編織過程實現波導B和C的編織而隔離波導A(圖3b)。根據這兩(liang) 個(ge) 編織過程的不同順序組合,可以實現多種多樣的編織操作。考慮G2G1(定義(yi) 為(wei) 先G1再G2,下同)和G1G2這兩(liang) 個(ge) 編織操作,在相同的波函數
輸入下,這兩(liang) 個(ge) 過程的輸出分別為(wei)
和
。這說明編織結果依賴於(yu) 編織順序,即光子模式的編織操作具有非阿貝爾特性,這些特性在實驗上被證實(圖3c-f)。而非阿貝爾編織的另一個(ge) 重要特性GiGi+1Gi = Gi+1GiGi+1也在實驗上被成功表征。

圖3 飛秒激光直寫(xie) 光子芯片中實現三個(ge) 光子模式的非阿貝爾編織。
基於(yu) 飛秒激光直寫(xie) 技術製備的非阿貝爾編織器件具有良好的可拓展性,隻需按照一定步驟直寫(xie) 新的編織波導、耦合波導和儲(chu) 能波導,就可以實現任意多個(ge) 光子模式的編織操作(圖4a),而通過設計具體(ti) 的編織步驟可以構造豐(feng) 富的貝裏相位矩陣,用於(yu) 量子邏輯等應用。作為(wei) 展示,研究團隊在實驗上實現了5個(ge) 光子模式的編織操作(圖4b-e)。

圖4 非阿貝爾編織的可拓展性及5個(ge) 光子模式的編織實驗。
觀點評述
該工作提出的非阿貝爾編織器件以及未來可以期待的基於(yu) 非阿貝爾物理原理的新型片上光子器件都將需要三維集成,這體(ti) 現了飛秒激光直寫(xie) 技術在製備該類型器件上不可替代的地位,而新的機遇也激勵著研究者們(men) 進一步發展和改良該技術。由於(yu) 非阿貝爾編織機製完全是基於(yu) 幾何相位效應,因此現象和基於(yu) 該機製的光子器件的性能將具有高魯棒性:改變器件的長度完全不影響結果(作為(wei) 對比,傳(chuan) 統的片上分束器和相移器等器件要精確控製器件的長度),一定範圍內(nei) 的加工誤差等擾動(例如波導間距影響耦合係數)也不會(hui) 影響器件的性能。這些優(you) 勢表明,把非阿貝爾編織作為(wei) 片上基本結構單元,可以為(wei) 高魯棒性片上光量子邏輯等應用提供新的方案。未來通過拓展非阿貝爾編織機製到其它光學係統中,利用貝裏相位矩陣作為(wei) 新的自由度,將為(wei) 研究者們(men) 提供更多的手段來操控光子。
本文出處
發表於(yu) :Nature Photonics (2022)
DOI: 10.1038/s41566-022-00976-2.
論文鏈接:
https://www.nature.com/articles/s41566-022-00976-2
轉載請注明出處。







相關文章
熱門資訊
精彩導讀



















關注我們

