避雷控製係統負責檢測每次直接雷擊避雷裝置動作後入地脈衝(chong) 電流的強度、雷擊電壓的極性、雷擊次數的計數以及各個(ge) 防非直接雷避雷裝置的動作損壞情況。它根據上位機的指令,將各種數據傳(chuan) 給上位機進行相應處理;也可以根據用戶的按鍵命令,進行複位、顯示和打印簡單報表等操作。下位機中智能監測儀(yi) 的前端處理分為(wei) 兩(liang) 個(ge) 部分:一部分用於(yu) 檢測多路防直接雷避雷裝置動作後各個(ge) 參數的變化情況;另一部分用於(yu) 檢測多路防非直接雷避雷裝置的動作損壞情況。
前端處理(1)中用於(yu) 檢測直接雷擊的探頭,采用羅哥夫斯基(以下簡稱為(wei) 羅氏)線圈。羅氏線圈安裝在防直接雷避雷裝置的接地引下線上,將大電流強電信號轉變為(wei) 小電流弱電信號進行隔離。信號進入前端處理(1)後,因此時的信號電壓高達幾十伏甚至上百伏,需要進行兩(liang) 級變換後才能送入智能監測儀(yi) 處理:第一是進行分壓變換,通過阻抗匹配將信號電壓降至±0.1v~10v;第二是進行非線性變換,將±0.1v~10v的信號變換為(wei) ±0.3v~5v的信號。進行非線性變換的目的是便於(yu) a/d采樣和去掉噪聲電平的幹擾。前端處理(1)的輸出信號分成兩(liang) 路,一路經過4051八路選擇電路和a/d轉換電路測量雷電波形的峰值電壓以及極性;另一路通過觸發電路和保持電路給單片機提供中斷信號和直接雷擊避雷裝置動作路數的信號。一旦某一路遭受直接雷擊,單片機就被觸發信號中斷,中斷服務程序中先判斷遭受直接雷擊的避雷裝置的路數,然後通過4051選擇讀入該路信號,經a/d轉換後存入相應內(nei) 存單元,以備主程序進行處理,相應路數的雷擊次數進行累加,如果加滿,則再增加時又從(cong) 1開始循環計數。這樣處理完後退出中斷程序,由主程序將信息顯示出來。隻要不掉電或按複位按鈕,則最新一次雷擊的信息將始終顯示在麵板上。
前端處理(2)的輸入來自防非直接雷避雷裝置(如電源避雷箱)的防雷接口信號。該信號通過同軸電纜或光纜接入前端處理(2)中,經過過壓保護電路和光電隔離電路後送入智能監測儀(yi) 的8255接口電路進行處理,如果避雷裝置雷擊後工作正常,則監測儀(yi) 將檢測到高電平信號,如檢測為(wei) 低電平信號,則表明此避雷裝置已被雷擊損壞,應立即予以更換。智能監測儀(yi) 檢測直接雷擊電流強度的電路部分采用ad1674器件構成采樣電路,ad1674的最小采樣時間為(wei) 7.5μs,而一個(ge) 雷電波形的上升沿一般在l0μs以上,整個(ge) 雷電的放電波形一般在幾十微秒到上百微秒之間,故ad1674理論上完全可以將雷擊後的整個(ge) 放電過程波形采樣進來。因每個(ge) 采樣過程都是通過單片機的中斷服務程序進行的,這樣,cpu就有足夠的時間進行其它的數據處理、報警、顯示和打印控製等任務。下位機的打印控製部分主要是應用戶的要求打印各種實時數據信息和避雷裝置的損壞情況的簡單報表,該電路部分采用一片8255控製電路來進行打印控製。下位機與(yu) 上位機的數據通信是通過mc1488、mc1489組成的串行通信電路實現的。
係統的上位機采用pc機作為(wei) 整個(ge) 監測係統的數據庫管理中心,該部分主要負責統計係統轄區內(nei) 的各個(ge) 智能監測儀(yi) 所檢測的避雷裝置的各種雷擊信息(如雷擊電流強度、雷擊次數、雷擊電壓的極性以及避雷裝置的損壞、更換情況等等)。它可以模擬顯示轄區內(nei) 防雷係統中各個(ge) 避雷裝置的位置、動作情況及工作狀態,也可以按用戶要求打印防雷係統中的各個(ge) 智能監測儀(yi) 的曆史數據報表以及每次雷擊後的具體(ti) 情況的實時報表。它還可以通過向預先設定的電話報警來滿足某些需要無人值守的場合。
3 避雷防護方案
對太陽能光伏並網發電係統的避雷監控係統來說,主要應防止直擊雷、雷電感應和雷電波侵入,因此,可以針對不同的雷電危害方式,采取合適的防雷措施與(yu) 防護方案。
3.1 對直擊雷的防護
對直擊雷的防護包括對太陽電池陣列和光伏電站廠區的防護。防直擊雷,防雷設備主要采用避雷針,通過計算,可以合理地選擇防雷設備,達到對戶外的光伏電站太陽電池陣列進行有效防護的目的。可見,要對戶外的光伏電站太陽電池陣列進行有效防護,問題的關(guan) 鍵就是要正確計算太陽電池陣列年預計雷擊次數,以及利用滾球法,計算出需要避雷的範圍,然後選定避雷針的型號及其性能指標。#p#分頁標題#e#
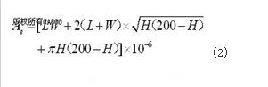
計算公式:n=kngae (1)
式(1)中:k—校正係數;
ng—光伏陣列所處地區雷擊大地的年平均密度(次/km2.a),(其中:ng=0.024td13);
td—年平均雷暴日數,根據省氣象台、站資料確定(d/a);
ae—與(yu) 光伏陣列截獲相同雷擊次數的等效麵積(km2)。

(公式2中l、w、h分別為(wei) 光伏陣列的長、寬、高)
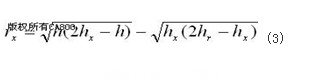
避雷保護半徑rx計算公式為(wei) :

式(3)中:h—避雷針高度;hx—被保護物高度;hr—滾球半徑。
3.2 對雷電感應和雷電衝(chong) 擊波的防護
通過對太陽能光伏電站可能遭受雷擊事件的概率大小來分析,控製機房內(nei) 的控製器或逆變器遭損壞的概率最大,分析其原因,都是由於(yu) 雷電波侵入造成的。因此,太陽能光伏電站在進行防雷設計時,必須采取有效措施,防止雷電感應和雷電波侵入。所以,考慮用避雷器等對雷電感應和雷電波侵入進行防護。
控製器和逆變器一般采用全戶內(nei) 型,為(wei) 使光伏電池組件、控製器和逆變器在受到直擊雷和感應雷時能有可靠的保護,在光伏電池組件支架、控製器和逆變器的非導電體(ti) 的屋頂上裝設環形避雷帶作為(wei) 防雷保護,並且避雷帶設有數個(ge) 獨立引下線。為(wei) 了對雷電感應進行防護,將光伏電站機房內(nei) 的全部金屬物,包括設備金屬外殼、機架、金屬管道、電纜金屬外皮等可靠接地,並且將全部金屬物用專(zhuan) 用接地線單獨接入接地幹線。
雷電波侵入的主要途徑是架空導線和光伏陣列到機房的引入線。為(wei) 此,對避雷方案進行改進,可以采取多級防護措施對太陽能光伏並網發電係統進行保護。在太陽電池方陣接線箱內(nei) 安裝防雷模塊;保持太陽電池方陣接線箱與(yu) 控製櫃間距大於(yu) 10m;在控製器、逆變器內(nei) 安裝防雷元器件,使其具有防雷保護功能;在交流輸出端,改變以往設計中在架空出線杆上安裝低壓閥式避雷器的做法,改用更加靈敏、安全、方便的浪湧保護器即防雷模塊;防雷器件全部安裝於(yu) 防雨防塵的電源箱內(nei) ,固定在架空出線杆上,防止雷電波由輸電線路進入機房。這樣就可以很好地對雷電波侵入進行有效防護。#p#分頁標題#e#
可見,在太陽能光伏並網發電係統中,不僅(jin) 需要考慮對直擊雷的防護,還需要考慮對非直接雷擊(雷電感應和雷電波)的防護。與(yu) 此同時,不僅(jin) 要知道雷擊的次數,還要知道每次雷擊的強度以及整個(ge) 防雷係統內(nei) 各個(ge) 避雷裝置的工作損壞情況。基於(yu) 此,設計了上述完善的雷電監控係統,來保護太陽能光伏並網發電係統的設備和人身安全。
4 結束語
本監控係統的創新點就在於(yu) 對太陽能光伏並網發電係統的避雷係統,針對三個(ge) 組成部分的不同安裝位置和各自的特點,對避雷方案進行綜合改進,采用全麵、有效的避雷設計方案,采取多級防護措施,對戶內(nei) 和戶外發電設施分別進行有效地保護,確保太陽能光伏並網發電係統的正常工作。
將避雷監控技術應用於(yu) 太陽能光伏並網發電係統,通過對戶外太陽電池方陣的直擊雷防護與(yu) 戶內(nei) 控製器和逆變器的非直接雷擊(雷電感應和雷電侵入波)的防護,達到使太陽能光伏並網發電係統有效和安全運行的目的。
轉載請注明出處。







相關文章
熱門資訊
精彩導讀



















關注我們

