激光直寫(xie) 技術是一種近年來應用廣泛的超精密加工技術。該技術是一種利用強度可變的激光束,在基片表麵實施有規則的高精度掃描。在掃描過程中,光刻基片隨載物平台而運動。因此影響光刻元件的質量取決(jue) 於(yu) 載物平台的定位精度以及運動的穩定性,影響光刻元件的快速性取決(jue) 於(yu) 係統的響應度。
基於(yu) 數字式伺服的運動控製器是超精密定位係統的關(guan) 鍵。由於(yu) 數字伺服濾波器是數字式伺服的運動控製器的核心,從(cong) 而數字伺服濾波器的設計將影響係統的定位精度。
數字伺服濾波器是指係統的閉環控製與(yu) 調節采用數字技術,所有控製調節實現軟件化。調節器的全部軟件化使控製理論中很多控製思想和手段得以應用。同時利用軟件很容易完成參數的自由化和故障的自診斷功能,使係統控製性能大大提高,從(cong) 而克服了模擬型閉環伺服係統對微弱信號的信噪難分離、控製精度難提高、容易受機械摩擦和溫度影響,位置環控製產(chan) 生零點漂移誤差等缺點。
1 伺服控製係統結構及分析
1.1 伺服控製係統結構
整個(ge) 伺服控製係統的硬件結構如圖1所示。上級裝置由DSP處理器和D/A轉換模塊組成,伺服單元由安川伺服驅動器組成。整個(ge) 係統是一個(ge) 閉環伺服電機控製係統。DSP處理器產(chan) 生梯形運動曲線的數字脈衝(chong) 信號,通過設計的數字濾波器,直接驅動D/A轉換器產(chan) 生模擬電壓,經過伺服單元驅動伺服電機。實際運動中的位置和速度信號由電機反饋給光編碼器,並由光電編碼器產(chan) 生數字信號,然後傳(chuan) 輸給DSP進行采集處理。

1.2 係統分析
該方案的關(guan) 鍵是解決(jue) 電機軸與(yu) 負載之間的粘性摩擦和外界對電機及變換器的幹擾等問題。由於(yu) 摩擦環和外界幹擾的存在,係統的動態及靜態性能受到很大程度的影響,主要表現為(wei) 低速時出現爬行現象,穩態時有較大的靜差或出現極限環振蕩。為(wei) 了滿足激光直寫(xie) 的要求,係統還必須具有響應速度快、定位時間短,穩態精度高等特點。若啟動速度過慢或過衝(chong) ,停止時間過長,係統則具有很強的振蕩,且噪聲大。
2 數字濾波器的設計
2.1 數字伺服濾波器模型設計
通過大量實驗,對係統進行分析後發現:對位置偏差控製采用PID控製方法可以提高精度和階躍響應;加入速度和加速度前饋補償(chang) 控製方法可以提高係統的穩態精度;加入摩擦補償(chang) 可以克服摩擦力的影響。因此,此方案沒計是一種既利用位置誤差進行閉環控製,又利用給定位置信號進行開環的複合控製係統。
則係統控製輸出U(t)=Up(t)+Uva(t)+Uf(t),其中Up(t)為(wei) PID控製器,Uva(t)為(wei) 速度和加速度補償(chang) 控製器,Uf(t)為(wei) 摩擦補償(chang) 控製器。
位置式PID控製中,其傳(chuan) 遞函數為(wei) :
![]()
實驗設計的速度和加速度前饋補償(chang) 分部時,采用最高階次2,模型簡化為(wei) :
![]()
在Stribeck摩擦模型中,由於(yu) 摩擦力和速度的關(guan) 係,其處加幹擾控製表示為(wei) :
![]()
其中Fc和bc顯粘性摩擦模型等效到位置球的估計係數,該係數根據實際情況確定。
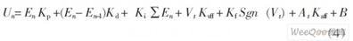
將式(1)和式(3)做Z變換後,於(yu) 是得到帶前饋補償(chang) 的PID控製算式為(wei)
:
![]()
PID伺服濾波器控製規律如圖2所示。

圖2中Kp為(wei) 比例增益,Ki為(wei) 積分增益,Kd為(wei) 微分增益,Kvff為(wei) 速度前饋增益,Kaff為(wei) 加速前饋增益,Kf為(wei) 粘性摩擦係數,En為(wei) 位置偏差,Vt為(wei) t時刻速度,At為(wei) t時刻的加速度,輸出的B靜態誤差主要用於(yu) 補償(chang) 控製軸受重力的影響。對濾波器輸出對應的模擬量,由輸出的飽和控製器進行限製。
2.2 參數調節
在位置PID調節器中比例增益Kp的大小決(jue) 定係統的快速性,積分增益Ki的作用是消除係統的靜態誤差。微分增益Kd的作用是增加阻尼,減少振蕩。調節過程是先調節Kp,再調節Ki,然後調節Kd。第1次設定Ki增益時,如果把Ki設定為(wei) 一非O值將引起突然的“跳躍”。為(wei) 避免這種情況,需要把積分限(積分部分的飽和控製器)設置為(wei) 0,Ki設定為(wei) 期望值,再設置積分限到期望的積分限。這樣就清除了所有以前的積分值,從(cong) 而使積分從(cong) 前一個(ge) 點開始平穩運算。接著調節Kvff,Kaff,從(cong) 而提高係統的穩態精度。最後調節Kf,從(cong) 而克服摩擦力的影響。
在啟動階段調節Kvff,Kaff過大會(hui) 使速度過快而導致位置過衝(chong) 。在減速階段調節Kvff,Kaff過小,會(hui) 使定位時間過長。根據最優(you) 控製思想,如果係統按照最大加速度啟動,最大速度運動,最大減速度製動,就可以以最短時間無超調地達到協調點。因此,參數調節時應按照啟動,勻速,減速3個(ge) 階段分別設置。
3 MATLAB設計與(yu) 仿真
3.1 仿真模塊設計
根據設計原理,圖l中的偏差計數模塊就等效為(wei) 帶前饋補償(chang) 的PID控製器,並設計成圖2中所對應的部分,並且將D/A轉換器等效設計成離散的數據通過零階保持器;將安川伺服驅動器等效速度環和電流環;輸出的信號采用仿真示波器進行觀察。因此整個(ge) 伺服三環PID仿真原理如圖3所示。

其中,rin(k)為(wei) 采樣K時刻的位置輸入信號,為(wei) 了能模擬實際的效果,將輸入的rin(k)設置為(wei) 不規則的位置信號,此時輸入指令為(wei) 正弦疊加信號;drin(k)為(wei) 采樣K時刻的速度輸入信號;ddrin(k)為(wei) 采樣K時刻的加速度輸入信號,並且drin(k+1)=(rin(k+1)-rin(k))/ts,ddrin(k+1)=(drin(k+1)-drin(k))/ts。
3.2 仿真波形
對於(yu) 高精度的激光直寫(xie) ,衡量其性能主要取決(jue) 於(yu) 速度的穩定、響應度和位置的精確。因此在圖3的仿真中,要根據實際情況,多次調節控製係統參數,並經過分析和對比,從(cong) 中得到一幅速度穩定、位置精確的跟蹤圖,其仿真波形如圖4所示。

圖4(a)為(wei) 速度跟蹤結果,設置的速度和實際的速度重合,速度穩定,穩定控製在0.1%內(nei) 。在0時刻附近出現了速度突然的“跳躍”,是由於(yu) 沒有調節積分限。因此在實際情況中應先把積分限(飽和控製器)設置為(wei) O,Ki設定為(wei) 期望值,再設置積分限到期望的積分限。
圖4(b)為(wei) 位置跟蹤結果,輸出的實際位置和設置的目標位置重合。位置定位精確高,精度控製在0.1%內(nei) 。
仿真結果表明在帶有摩擦條件下,位置跟蹤沒有存在“平頂”現象,速度跟蹤沒有存在“死區”現象。位置跟蹤定位精度高,速度跟蹤穩態精度高。#p#分頁標題#e#
4 軟件實現
伺服單元模塊由伺服驅動器設計,其參數調節可以在伺服驅動器中設置,詳細參考驅動器用戶手冊(ce) 。PID數字濾波器+前饋複合控製係統由DSP2812實現。操作流程為(wei) :先將PID複合仿真模塊的MATLAB語言生成CCS中的C語言,然後移植到CCS軟件中,並根據PID控製算式原理結合軟件設計流程進行修改。
5 結論
介紹了伺服控製係統結構,針對係統中存在的摩擦環節和實際要求進行分析,然後結合根據控製原理,設計了伺服PID數字濾波器。通過MATLAB仿真驗證該數字濾波器速度穩定;位置跟蹤誤差收斂於(yu) 零。並從(cong) 中得到了關(guan) 於(yu) 調節控製參數的經驗。最終的實際結果表明,整個(ge) 係統輸入與(yu) 輸出時差小於(yu) 100 Ls;無噪音無振蕩;定位精度誤差控製±1μm範圍內(nei) 。
轉載請注明出處。







相關文章
熱門資訊
精彩導讀



















關注我們

