半導體(ti) 激光器是以半導體(ti) 材料作為(wei) 激光工作物質的激光器。它具有超小型、高效率、結構簡單、價(jia) 格便宜以及可以高速工作等一係列優(you) 點。自1962年問世,特別是二十世紀80年代以來,發展極為(wei) 迅速。它是目前光通信領域內(nei) 使用的最重要光源,並且在CD、VCD、DVD播放機、計算機光盤驅動器、激光打印機、全息照相、激光準直、測距及醫療等許多方麵都獲得了重要應用。
半導體(ti) 激光器是注入式的受激光放大器。雖然它形成激光的必要條件與(yu) 其它激光器相同,也須滿足粒子數反轉、諧振等條件,但它的激發機理和前麵討論的幾種激光器截然不同。它的電子躍遷是發生在半導體(ti) 材料導帶中的電子態和價(jia) 帶中的空穴態之間,而不象原子、分子、離子激光器那樣發生在兩(liang) 個(ge) 確定的能級之間。半導體(ti) 材料中也有受激吸收、受激輻射和自發輻射過程。在電流或光的激勵下,半導體(ti) 價(jia) 帶中的電子可以獲得能量,躍遷到導帶上,在價(jia) 帶中形成了一個(ge) 空穴,這相當於(yu) 受激吸收過程。此外,價(jia) 帶中的空穴也可被從(cong) 導帶躍遷下來的電子填補複合。在複合時,電子把大約等於(yu) Eg的能量釋放出來,放出一個(ge) 頻率為(wei)
原子的能級對應著原子的不同運動狀態。實際上固體(ti) 中原子之間相距不遠,由於(yu) 原子間的相互作用,能級會(hui) 分裂。在一個(ge) 具有N個(ge) 粒子相互作用的晶體(ti) 中,每一個(ge) 能級會(hui) 分裂成為(wei) N個(ge) 能級,其相互間能量差小到10-22eV數量級。因此這彼此十分接近的N個(ge) 能級好象形成一個(ge) 連續的帶,稱之為(wei) 能帶,見圖(1)。
純淨(本征)半導體(ti) 材料,如單晶矽、鍺等,在絕對溫度為(wei) 零的理想狀態下,能帶由一個(ge) 充滿電子的價(jia) 帶和一個(ge) 完全沒有電子的導帶組成,如圖(2)。二者之間是禁帶,那時半導體(ti) 是一個(ge) 不導電的絕緣體(ti) 。隨著溫度的升高,部分電子由於(yu) 熱運動激發到導帶中,成為(wei) 自由電子。同時價(jia) 帶中少了一個(ge) 電子,產(chan) 生一個(ge) 空穴,相當於(yu) 一個(ge) 與(yu) 電子電量相同的正電荷。在外電場的作用下,導帶中的電子和價(jia) 帶中的空穴都可以運動而導電,二者都稱為(wei) 載流子。#p#分頁標題#e#

圖(1) 固體(ti) 的能帶 圖(2) 本征半導體(ti) 的能帶結構
熱平衡時,電子在能帶中的分布不再服從(cong) 玻爾茲(zi) 曼分布,而服從(cong) 費米分布,能級E被電子占據的幾率為(wei)
(1)式
其中
#p#分頁標題#e#在四價(jia) 的半導體(ti) 晶體(ti) 材料中,摻以五價(jia) 元素取代四價(jia) 元素在晶體(ti) 中的位置,這種摻雜的半導體(ti) 叫做N型半導體(ti) 。若在四價(jia) 的半導體(ti) 晶體(ti) 材料中摻以三價(jia) 元素,這種摻雜的半導體(ti) 叫做P型半導體(ti) 。N型半導體(ti) 中,多出來的電子不能參與(yu) 組成共價(jia) 鍵,很容易成為(wei) 自由電子,這使得在導帶的下方靠近導帶的地方形成新的能級,稱為(wei) 施主能級。P型半導體(ti) 中,由於(yu) 三價(jia) 元素少一個(ge) 電子,其中一個(ge) 共價(jia) 鍵出現空穴,電子占據價(jia) 帶的幾率增大,這使得在價(jia) 帶的上方靠近價(jia) 帶的地方增加出來新的能級,稱為(wei) 受主能級。
雜質半導體(ti) 中費米能級的位置與(yu) 雜質類型及摻雜濃度有密切關(guan) 係。為(wei) 了說明問題,圖(3)給出了溫度極低時的情況。受主能級使費米能級向下移動(圖(3)(b)),施主能級使費米能級向上移動(圖(3)(d))。重摻雜時費米能級甚至移動到價(jia) 帶(圖(3)(c))或導帶(圖(3)#p#分頁標題#e#(e))之中。這裏已經假設溫度極低,因此重摻雜P型半導體(ti) 中低於(yu) 費米能級的能態都被電子填滿,高於(yu) 費米能級的能態都是空的,價(jia) 帶中出現空穴。這種情況叫做P型簡並半導體(ti) 。反之,重摻雜N型半導體(ti) 中低於(yu) 費米能級的能態都被電子填滿,盡管溫度極低,導帶中也有自由電子。這種情況叫做N型簡並半導體(ti) 。在非平衡條件下還會(hui) 出現所謂“雙簡並半導體(ti) ”,這時在半導體(ti) 中存在兩(liang) 個(ge) 費米能級,如圖(3)(f)所示(詳見下麵的討論)。

圖(3)費米能級的位置與(yu) 雜質類型及摻雜濃度關(guan) 係
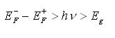
當光照射到圖(3)所示的各種半導體(ti) 時,在a—e的五種情況下,半導體(ti) 中隻有一個(ge) 費米能級,在它之上沒有電子,在它之下已充滿電子,因此不會(hui) 發生電子向沒有被電子占據的空態躍遷,而隻會(hui) 將外來光子吸收。在圖(3)f所示的情況下有所不同,兩(liang) 個(ge) 費米能級使得導帶中有自由電子,價(jia) 帶中有空穴。如果外來光子的能量與(yu) 上能帶中電子和下能帶中空穴之間的能量差相同,則會(hui) 誘導導帶中電子向價(jia) 帶中空穴躍遷而發出一個(ge) 同樣的光子。當外來光子的能量大於(yu) 兩(liang) 費米能級
(2)
轉載請注明出處。







相關文章
熱門資訊
精彩導讀



















關注我們

