1.半導體(ti) 激光器的基本結構和工作原理
圖(1)示出了GaAs激光器的結構。它的核心部分是p—n結。p—n結的兩(liang) 個(ge) 端麵是按晶體(ti) 的天然晶麵剖切開的,稱為(wei) 解理麵,該二表麵極為(wei) 光滑,可以直接用作為(wei) 平行反射鏡麵,構成諧振腔。上下電極施加正向電壓,使結區產(chan) 生雙簡並的能帶結構及激光工作電流。激光可以從(cong) 一側(ce) 解理麵輸出,也可由兩(liang) 側(ce) 輸出。

圖(1) GaAs激光器的結構
2. 半導體(ti) 激光器工作的閾值條件
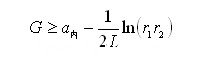
激光器產(chan) 生激光的前提條件除了粒子數發生反轉還需要滿足閾值條件,即諧振腔的雙程光放大倍數大於(yu) 1,或增益係數滿足第二章中給出的(1)式
(1)
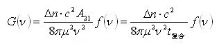
在這裏,α內(nei) 是半導體(ti) 激光器諧振腔的內(nei) 部損耗,L為(wei) 晶體(ti) 兩(liang) 解理麵之間的長度,r1和r2為(wei) 解理麵的反射率。增益係數和#p#分頁標題#e#粒子數反轉的關(guan) 係也取決(jue) 於(yu) 諧振腔內(nei) 的工作物質,滿足(1-90)式。結合(1-42)和(1-27)式,可以得到
(2)
式中t複合為(wei) 結區電子的壽命,其倒數等於(yu) 在E2、E1能級之間的愛因斯坦自發輻射係數,△n為(wei) 粒子數反轉值。
3. 半導體(ti) 激光器的閾值電流
半導體(ti) 激光器作用區的粒子數反轉值難於(yu) 確定,但是可以將它與(yu) 工作電流I聯係起來。在低溫下,假設在一定的時間間隔內(nei) ,注入激光器的電子總數與(yu) 同樣時間內(nei) 發生的電子與(yu) 空穴複合數相等而達到平衡,則有
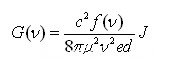
式中w和d分別為(wei) 晶體(ti) 的寬度和作用#p#分頁標題#e#區的厚度。代入(2)式得
(4)
為(wei) 通過作用區的電流密度。結合(2-36)式並將f(v)近似為(wei) 1/△v,可以得到閾值電流密度的近似表達式為(wei)
(5)
例如,GaAs激光器,△v=3×106MHz,
,λ=0.84ηm,μ=3.35,d=2ηm,代入上式得到J閾∽150A/cm2。此值與(yu) 低溫時的實測值很接近,但是與(yu) 室溫下的閾值電流密度(3~5#p#分頁標題#e#×
轉載請注明出處。







相關文章
熱門資訊
精彩導讀



















關注我們

