1引言
近年來交流變頻調速係統發展很快,已成為(wei) 調速係統的主要研究和發展方向。1971年提出的矢量控製理論根據磁動勢等效原則,應用坐標變換將三相係統等效為(wei) 二相係統,再經過按磁場定向的同步旋轉變換實現了定子電流勵磁分量與(yu) 轉矩分量之間的解耦,從(cong) 而達到對交流電機的磁鏈和電流分別控製的目的。這樣就可將一台三相異步電動機等效為(wei) 直流電機來控製,因而獲得了與(yu) 直流調速係統同樣的靜、動態性能。
2矢量控製的原理
矢量控製也稱為(wei) 磁場定向控製,其基本思路是模擬直流電機來控製,根據磁動勢和功率不變的原則通過坐標變換,將三相靜止坐標變換成兩(liang) 相靜止坐標(即 Clarck變換),然後通過旋轉變換將兩(liang) 相靜止坐標變成兩(liang) 相旋轉坐標(即 Park變換),在 Park變換下將定子電流矢量分解成按轉子磁場定向的兩(liang) 個(ge) 直流分量iM ,iT(其中iM稱為(wei) 勵磁電流分量, iT為(wei) 轉矩電流分量),並對其分別加以控製。控製 iM就相當於(yu) 控製磁通,而控製 iT就相當於(yu) 控製轉矩。通過解耦,控製交流電動機和控製直流電動機一樣方便,圖 1所示為(wei) 矢量控製的結構框圖。

3電壓空間矢量 SVPWM的原理
空間電壓矢量調製法是以三相對稱正弦波電壓供電時交流電機的理想磁通圓為(wei) 基準,用逆變器不同的開關(guan) 模式所產(chan) 生的實際磁通去逼近基準圓磁通,並由它們(men) 比較的結果決(jue) 定逆變器的開關(guan) 狀態,形成 PWM波形。位於(yu) 同一橋臂的功率管的導通狀態是相反的。當位於(yu) 同一橋臂的上麵的功率管導通時,下橋臂的功率管一定是關(guan) 斷的。假設功率管導通狀態為(wei) 1,關(guan) 斷狀態為(wei) 0,我們(men) 隻通過上橋臂功率管的開關(guan) 狀態(這裏表示成開關(guan) 向量[ a,b,c]T,可以推

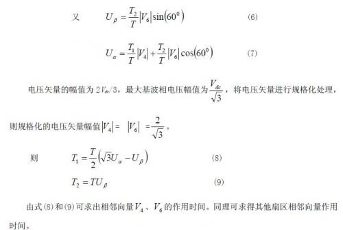
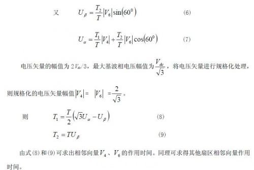
假定 Uout處於(yu) 1 0扇區中,定義(yi) T1、T2和T0分別為(wei) 向量 V4、V6、V0(或V7)的持續時間,T為(wei) 載波 PWM的周期。由以下兩(liang) 式可算出 T1、T2和 T0:


4係統硬件實現
該係統采用交-直-交電壓型變頻電路。主電路由整流電路、濾波電路、開關(guan) 電源電路、電流檢測電路及智能功率模塊 IPM逆變電路等構成。主電路的整流部分是由不可控二極管組成的,在設計主電路的時候,選用了智能型器件IPM。IPM是 IGBT智能化功率模塊,它將IGBT芯片、驅動電路、保護電路等封裝在一個(ge) 模塊內(nei) ,不但便於(yu) 使用,而且大大有利於(yu) 裝置的小型化、高性能化和高頻化,設有過流和短路保護,欠電壓保護。係統結構框圖見圖4。係統控製電路以 TMS320F2812芯片為(wei) 核心,外擴 RAM構成功能齊全的矢量控製係統,係統參數由上位機通過通信接口下傳(chuan) 給下位機,DSP負責采樣各相電流,計算電機的轉速和位置,最後運用矢量控製算法,得到 SVPWM控製信號,經過光耦隔離電路後,驅動逆變器功率開關(guan) 器件,同時 DSP還監控變頻係統的運行狀態,當係統出現短路、過流、過壓、過熱等故障時,DSP將封鎖SVPWM信號,使電機停止運行。

係統控製回路主要包括了 DSP微處理器係統,數據采集和控製信號I/O電路,驅動電路,保護電路等子係統。
5係統軟件設計
此係統中對感應電機的所有控製都是通過 F2812 的軟件來完成的。軟件程序由主程序和定時器下溢中斷子程序組成。主程序中進行硬件和變量初始化,對各個(ge) 控製寄存器置初值,對運算過程中使用的各種變量分配地址並設置相應的初值。中斷子程序的工作是在每一個(ge) PWM 周期裏, 計算出下一個(ge) PWM 周期的三個(ge) 比較寄存器的比較值, 並送到比較寄存器中。中斷服務子程序是係統的核心部分,執行 SVPWM調製,故障處理中斷等。係統軟件的定時器下溢中斷程序流程見圖3。

6實驗結果與(yu) 結論
結合交流電機控製係統,用 C語言編寫(xie) 了載波頻率為(wei) 2KHz,變頻範圍為(wei) 0~100Hz的SVPWM控製程序。驅動的電機為(wei) 三相異步電動機,定子繞組星形結法。采用 TMS320F2812每周期內(nei) 隻發生一次定時器周期中斷,實時性好,而且占用 CPU較少,使CPU有很大能力去完成其它任務。圖4,圖 5為(wei) DSP輸出的一路 SVPWM波形及調製信號 30Hz時控製器輸出經過低通濾波後的相電壓波形。

采用 TMS320F2812和 IPM等模塊化的芯片,利用電壓空間矢量調製技術構成的感應電機矢量控製係統,輸出電流的諧波成分減少, 硬件電路簡單, 係統的動態響應、控製精度有很大提高, 複雜算法得以實現。采用 DSP結合先進控製算法的矢量控製係統在感應電機的控製中將有廣泛的應用前景。
本文作者創新點是應用更新一代的 DSP芯片 TMS320F2812,以及采用具有更多保護功能的 IPM來構成控製係統,簡化了外圍電路,應用數字信號處理芯片實現軟件算法使控製精度進一步提高,響應更加快速。
轉載請注明出處。







相關文章
熱門資訊
精彩導讀



















關注我們

