1 前言
DSX5-70型三杆虛擬軸機床(圖1),由三杆並聯機構及兩(liang) 自由度串聯機構組成。兩(liang) 自由度串聯機構置於(yu) 運動平台上。通過三杆伸縮(l1、l2、l3)及兩(liang) 驅動軸旋轉(θ1、θ2)來改變刀具的位置和姿態(以o3代表刀心、o2o3代表刀具軸線),可實現五軸聯動,完成多種作業(ye) 任務。本文介紹為(wei) 它開發設計的一套基於(yu) PC的開放式數控係統。整個(ge) 數控係統軟件模塊化設計,麵向用戶,方便操作,具有良好的可擴展性及可維護性。

圖1 三杆五自由度虛擬軸機床示意圖
2 三杆虛擬軸機床數控係統
2.1 數控係統構成及特點
控製係統(圖2)以美國Delta Tau公司的基於(yu) PC的多軸運動控製器PMAC為(wei) 核心,采用鬆下數字式交流伺服係統,構成一個(ge) 開放式數控係統。利用PMAC的運動控製功能,將6套交流伺服係統與(yu) PMAC的6個(ge) 通道分別相連,實現電動機轉速信號的輸出及光電編碼器反饋信號的采集,以控製各軸的運動。通過PMAC卡I/O接口來實現PLC功能,如檢測行程限位、機床回零等信號,控製機床的冷卻、換刀等功能。此外,利用其PLC功能進行麵板操作,控製程序運行和手動調整機床。
PMAC必須與(yu) PC機通訊才能完成機床的控製任務。通過PC機的外設可實現程序的輸入、編輯,參數的設置,運動狀態的實時顯示及軟件仿真等功能。利用PC機的通訊口還可使虛擬軸機床成為(wei) 柔性生產(chan) 線上的一個(ge) 製造單元。

圖2 三杆虛擬軸機床控製係統總圖
雙端口RAM(DPRAM)用於(yu) 解決(jue) 主控製處理器與(yu) PMAC的通訊瓶頸問題,實現PMAC與(yu) 主控製處理器之間的高速重複不需握手的數據通信。
2.2 控製係統工作原理及軟件設計
(1)工作原理及流程圖 本虛擬軸機床以兼容普通加工中心的加工能力為(wei) 主要目標之一,因而在數控加工程序編製上遵循使用傳(chuan) 統的NC代碼指令,以便於(yu) 編程和程序的移植與(yu) 交流。然而由於(yu) 機床結構的根本不同使得與(yu) 傳(chuan) 統機床直接控製X、Y、Z軸不同,在三杆虛擬軸機床上不能從(cong) NC代碼直接到伺服控製,要實現一定刀具位姿,必須轉換為(wei) 控製空間時刻變動的運動副的長度或轉角,這裏麵就必須包含NC代碼格式變換、插補、坐標變換及運動學變換等。這些就構成了虛擬軸機床數控軟件不同於(yu) 傳(chuan) 統機床的虛擬軸模塊。軟件流程圖見圖3。

圖3 虛擬軸機床數控軟件流程圖
(2)造型及NC代碼生成 本係統充分發揮了PC機軟件資源豐(feng) 富的優(you) 勢,吸收了現有CAD/CAM技術的成果,造型及NC代碼生成采用了國產(chan) 優(you) 秀軟件ME(製造工程師)。它是一個(ge) 性能價(jia) 格比較高的CAD/CAM軟件。ME界麵非常友好,具有豐(feng) 富的曲線、曲麵造型功能,可對三維模型進行放大、縮小、旋轉、渲染等,可對加工過程進行手動、連續及真實感仿真。它還具有IGES及DXF等接口。可按多種加工方法,進行不同的後置處理以生成NC代碼。這為(wei) 在虛擬軸機床上實現CAD/CAM一體(ti) 化奠定了基礎。
(3)NC代碼格式變換 PMAC允許執行機床類型的RS-274(NC代碼)程序,PMAC把G、M、T和H代碼作為(wei) 子程序來調用。對於(yu) 由造型軟件生成的NC代碼中因指令續效功能而出現的省去代碼標誌的X...Y...Z...等程序段,由於(yu) 虛擬軸機床控製的軸不是X、Y、Z三方向運動軸,而是空間時刻變動的軸,它不能執行這類程序段。為(wei) 了使PMAC可以識別這些程序段並進而調用相應子程序執行,必須對NC代碼進行格式變換,增加所有因續效省去的代碼標誌。
(4)插補 直線和圓弧插補都采用了時間分割法。其中在圓弧插補的算法上采用了一種基於(yu) 坐標變換的新方法[5],即根據圓弧相對其圓心的位置,將圓弧分為(wei) 上半平麵型圓弧、下半平麵型圓弧及複合型圓弧三種,對不同種類的圓弧建立不同形式的輔助坐標係,通過坐標變換將原坐標係中圓弧插補轉換為(wei) 輔助坐標係中圓弧插補,利用輔助坐標係的不同設置及改變步長的正負號解決(jue) 各種圓弧的插補問題。算法簡捷、實用。
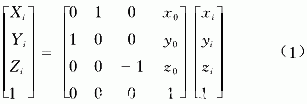
(5)坐標變換與(yu) 運動學變換 插補模塊將上述NC代碼數據進行離散,得到造型坐標係中刀尖坐標數據[xi yi zi]T(i=1,2,…)。通過插補得到的數據僅(jin) 是在造型坐標係中的坐標,為(wei) 了控製虛擬軸機床,必須進行坐標變換,以得到機床坐標係O-XYZ中的坐標[Xi Yi Zi]T(i=1,2,…)為(wei)

式中[x0 y0 z0]T為(wei) 造型坐標係o-xyz的坐標原點在機床坐標係O-XYZ中的坐標。
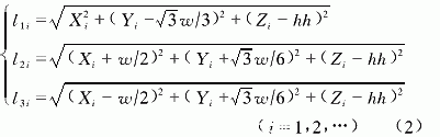
虛擬軸機床的運動學逆解是控製係統軟件設計的關(guan) 鍵之一。通過本虛擬軸機床的運動學逆解方程(2)得到的[l1i l2i l3i]T(i=1,2,…)便是控製虛擬軸機床所需的杆的長度。

式中w為(wei) 固定平台與(yu) 活動平台邊長之差,hh為(wei) 刀尖到運動平台中心的距離。
(6)用戶界麵設計 友好的用戶界麵是實現虛擬軸機床工業(ye) 運行不可忽視的重要因素。由於(yu) 操作者已習(xi) 慣傳(chuan) 統數控機床操作麵板及相關(guan) 術語和指令係統,故基於(yu) 方便終端用戶使用的考慮,在開發虛擬軸機床數控係統用戶界麵時,必須將其在工作原理方麵的特點隱藏在係統內(nei) 部,而使提供給用戶或需要用戶處理的信息盡可能與(yu) 傳(chuan) 統機床一致。這些信息通常包括操作麵板的顯示、數據程序代碼和坐標定義(yi) 等。PMAC附帶的PTALK軟件能實現和PMAC運動控製器通訊的功能。利用Visual Basic在自己開發應用軟件中嵌入PTALK與(yu) PMAC運動控製器通訊的功能,可以製作出友好的用戶界麵。所製作的用戶界麵包括手工編程處理模塊、參數設置模塊、機床手動調整模塊和運動控製模塊以及其它輔助功能模塊。
3 結束語
通過開發設計一套基於(yu) PC的開放式數控係統,在DSX5-70三杆虛擬軸機床上利用傳(chuan) 統CAD/CAM技術優(you) 秀成果,實現了三杆虛擬軸機床CAD/CAM的一體(ti) 化,對三杆虛擬軸機床的應用推廣具有重要的現實意義(yi) 。整個(ge) 數控係統軟件模塊化設計,便於(yu) 擴展,界麵友好,操作方便
轉載請注明出處。







相關文章
熱門資訊
精彩導讀



















關注我們

