引 言
現有智能機器人用直流電機作為(wei) 驅動輪時一般都是用單片機或者高速的DSP等進行控製,智能機器人之所以叫智能機器人,這是因為(wei) 它有相當發達的“大腦”。在腦中起作用的是中央計算機,這種計算機跟操作它的人有直接的聯係。最主要的是,這樣的計算機可以進行按目的安排的動作。正因為(wei) 這樣,我們(men) 才說這種機器人才是真正的機器人,盡管它們(men) 的外表可能有所不同。而且同一機器人往往需用多個(ge) CPU來實現各自的功能,但隨著對機器人的智能化要求越來越高,需要一種新的控製器(使用一個(ge) 處理器)來滿足機器人的各種行為(wei) 要求,例如視頻采集、無線通信。本文介紹的利用ARM實現的智能機器人平台,為(wei) 智能機器人的開發提供了一個(ge) 新方法。Linux的引入使其他智能模塊都以設備的形式存在,隻有在用戶需要的時候才調用相關(guan) 設備驅動從(cong) 而使數據融合更方便,運行多任務也更穩定。
利用ARM和嵌人式Linux作為(wei) 智能機器人平台具有很大的優(you) 勢,但在國內(nei) 還未發現用該平台開發智能機器人的係統。本設計完成了對該係統驅動的初步編寫(xie) ,並通過實際驗證,取得了良好效果。
1 驅動電路及測速方法
1.1 總體(ti) 結構及驅動電路
係統的整體(ti) 結構框圖如圖l所示。

本設計采用的LMD18200的真值表如表1所列。通過ARM的I/0口(例如D口的DO~3)來控製電機的工作狀態。

1.2 測速方法
ARM沒有捕獲外部脈衝(chong) 的計數器,它的定時器是用來計算內(nei) 部脈衝(chong) 的。碼盤輸出信號接外部中斷處理程序(EINTl)並設置上沿觸發變量,在中斷中設置一全局變量i,用i++累加。設置定時器timer0,使它O.36 s產(chan) 生1次內(nei) 部定時器中斷。當一個(ge) 定時器周期完成時引發定時器中斷,在timer0中斷中讀出i的值,即得到O.36 s內(nei) 碼盤轉動所產(chan) 生的脈衝(chong) 數;接著將i清零,為(wei) 下一個(ge) 定時器周期捕獲脈衝(chong) 作準備。
1.3 測量精度分析
智能機器人選用的光碼盤精度為(wei) 256線,即256脈衝(chong) /轉。電機減速比為(wei) 1:71,車輪半徑R為(wei) 6 CM,車輪間距為(wei) 41.1 cm.車輪轉一圈所產(chan) 生的脈衝(chong) 數n=71×256=18 176,可以得到每個(ge) 脈衝(chong) 之間的距離d=27πR/n=2×3.14×0.06/18 176=0.207×10-4m,即每個(ge) 脈衝(chong) 對應的控製精度達0.02 mm.考慮到負載變化的影響,理論值與(yu) 實際值會(hui) 出現誤差,因此在控製精度d前乘以一個(ge) 修正係數k.表2為(wei) 機器人直線行走的實驗數據。可以看出,k為(wei) 1.10誤差較小,最接近真實值,因此該值就是所需的比例係數。
2 速度調節
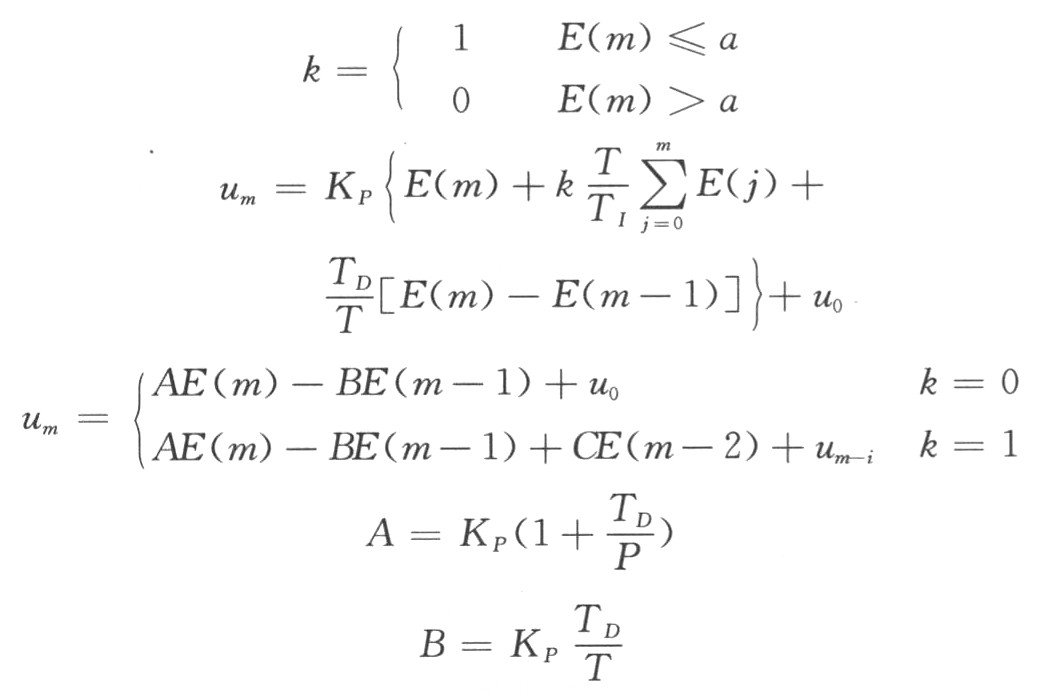
一般的PID調節,PID調節是工業(ye) 控製中應用最廣泛的一種調節方式,在各種自控書(shu) 籍及資料中,也經常看到PID這個(ge) 字眼,那麽(me) 什麽(me) 是PID調節呢,PID是英文單詞比例(ProportiON),積分(Integral),微分(Differential coefficient)的縮寫(xie) 。PID調節實際上是由比例、積分、微分三種調節方式組成,它們(men) 各自的作用如下:比例調節作用:是按比例反應係統的偏差,係統一旦出現了偏差,比例調節立即產(chan) 生調節作用用以減少偏差。比例作用大,可以加快調節,減少誤差,但是過大的比例,使係統的穩定性下降,甚至造成係統的不穩定。當偏差E較大時(如啟動或大幅度提速時),由於(yu) 積分的作用會(hui) 產(chan) 生很大的超調量,使係統振蕩,因此選用積分分離的方法,開始時取消積分作用,直到被調量相差不多時才引入積分作用。具體(ti) 步驟如下:
①設定一個(ge) 值a>0,E(m)一R(m)一M(m),其中R(m)為(wei) 給定值,M(m)為(wei) 測量值;
②當E(m)≥a時,采用PD控製,可以避免過大的超調,又可以使係統有較快的響應;
③當E(m)≤n,即偏差值E(m)比較小時,采用PID控製,可以保證係統的精度。

使用積分分離方法後顯著降低了被控變量的超調量並縮短了過渡時間,使調節性能得到改善。
3 驅動設計
本係統的驅動設計如圖2、圖3、圖4所示。


設備驅動程序是操作係統內(nei) 核與(yu) 機器硬件之間的接口。它作為(wei) 應用和實際設備之間的軟件層,為(wei) 應用程序屏蔽了硬件的細節。對於(yu) 應用程序,硬件設備隻是一個(ge) 設備文件,應用程序可以像操作普通文件一樣對硬件設備進行操作。把數據從(cong) 內(nei) 核傳(chuan) 送到硬件和從(cong) 硬件讀取數據,讀取應用程序傳(chuan) 送給設備文件的數據和回送應用程序請求的數據,檢測和處理設備出現的錯誤。用到的結構如下:

設備打開的時候就會(hui) 調用dcmotor__open函數進行申請中斷號。帶內(nei) 存管理的單元的地址映射,設置B端口的2、3引腳為(wei) PWM輸出,端口D配置為(wei) 電機使能刹車製動引腳。


以下所有的函數都是在ioctl()中實現的。在Dcmo-tor_STart裏調用timer0_2_3_start(),設置timer0為(wei) 接收兩(liang) 路電機的碼盤信號,並檢測電機速度;timer2、timer3提供2路PWM輸出,並設置定時器自動重載。具體(ti) 實現如下:

Select_Speed可以動態選擇要運行的速度。它是用戶的接口,用戶可以調用該函數把速度值傳(chuan) 到驅動從(cong) 而控製電機。例如,在應用程序中執行ioctl(fdl,

timer0中斷是核心程序,它可根據PID的調節值來改變占空比。為(wei) 了便於(yu) 隨時改變占空比的值可定義(yi) 兩(liang) 個(ge) 全局變量tmp2、tmp3,通過把它們(men) 的值寫(xie) 入TCMPB來改變占空比。
#p#分頁標題#e#
在All_Forward、All_Back、All_Stop中,通過設置端口DO~3的高低電平,實現前進、後退、停止;在Left_Curve、Right_Curve中,設置左右輪的旋轉方向,使兩(liang) 輪旋轉方向不同,再根據差速在應用程序中給定預定時間,以達到轉彎效果。
4 結 論
利用ARM和Linux操作係統實現智能機器人的閉環控製是可行的,閉環控製是控製論的一個(ge) 基本概念。指作為(wei) 被控的輸出以一定方式返回到作為(wei) 控製的輸入端,並對輸入端施加控製影響的一種控製關(guan) 係。在控製論中,閉環通常指輸出端通過"旁鏈"方式回饋到輸入,所謂閉環控製。輸出端回饋到輸入端並參與(yu) 對輸出端再控製,這才是閉環控製的目的,這種目的是通過反饋來實現的。而且可以充分利用ARM的強大功能實現其他智能模塊的擴展。
轉載請注明出處。







相關文章
熱門資訊
精彩導讀



















關注我們

