位置環pid控製算法
在數字pid調節控製係統中,引入積分環節的目的是為(wei) 了消除靜差,提高精度,但在過程的開始、結束或大幅增加設定值時,會(hui) 產(chan) 生積分積累,引起係統較大的超調,甚至震蕩,這對於(yu) 伺服電機的運行來說是不利的。為(wei) 減小電機在運行過程中積分校正對控製係統動態性能的影響,采用積分分離pid控製正當其時,當電機的實階位置與(yu) 期望位置的誤差小於(yu) 一定位置時,再恢複積分校正環節,以便消除係統的穩態誤差。
積分分離pid控製算法需設定積分分離閥ε,當|e(k)|》ε時,即偏差值較大時,采用pd控製,以保證伺服電機位置控製精度。
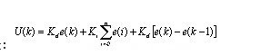
離散化pid控製算式是:
其中,k為(wei) 采樣序號,k=0,1,2…;
kp、ki、kd分別表示比例,積分、微分係數。在實際中,若執行機構需要的是控製量的增量,根據遞堆原理可得增量式pid控製算式為(wei) :

控製係統參數的整定
主控微機向控製卡發送pid參數,看給定的參數是否符合控製係統的要求,該過程需用參數整定實現。參數整定得主要任務是確定kp、ki、kd及采樣周期t,比例係數kp增大,使伺服驅動係統的動作靈敏,響應加快,而過大會(hui) 引起振蕩,調節時間加長;積分係數ki增大,能消除係統穩態誤差,但穩定性下降;微分控製可以改善動態特性,是超調量減少,調整時間縮短。通常的方法有擴充臨(lin) 界比例度法和擴充響應曲線法,以及歸一參數整定方法。這幾種方法源於(yu) 使用齊格勒-尼柯爾斯(ziegler-nichols規則),通常可認為(wei) 交流伺服係統的模型為(wei) 一階段有延遲環節的模型(帶滯後的一階環節):

式中的一階段響應特征參數k、l、和t可以由圖3所示的s型響應曲線提取出來。求取這些參數對實際係統並不困難,可以通過對係統進行階躍輸入激勵,得到響應曲線,再根據曲線求出其特征參數。於(yu) 是可由ziegler-nichols整定規則得到:

數字係統中采樣周期的選擇與(yu) 係統的穩定性密切相關(guan) 。一方麵要滿足香農(nong) 定理,即ωs≥2ωmax實際係統輸入及反饋的最大頻率ωmax難以測定,另一方麵采樣周期並沒有一個(ge) 精確的計算公式,隻能根據工程應用按經驗規則選取,對於(yu) 電機控製係統,要求較短時間采樣周期,通常為(wei) 幾十毫秒。#p#分頁標題#e#
對於(yu) 交流位置伺服控製係統而言,采用基於(yu) pc機的開發平台,用常規的pid調節器進行控製,隻要參數整定適當,加之係統的機械精度(運動軸、齒輪、電機絲(si) 杠傳(chuan) 動化)控製在一定誤差範圍內(nei) ,電氣控製精度(編碼器脈衝(chong) )就可得到提高,魯棒性強,可以在很多場合達到較高精度位置控製的要求。
轉載請注明出處。







相關文章
熱門資訊
精彩導讀



















關注我們

