4 故障現象及原始處理過程
4.1 並網超時故障
(1) 故障現象
並網超時是調試階段、和投產(chan) 初期較常出現的一個(ge) 故障。主要現象是,轉速接近1000r/min後,不能並網導致起動超時失敗;在整步階段的勵磁電流為(wei) 85a到130a之間,明顯大於(yu) 加速階段的70a到75a之間。
(2) 故障分析
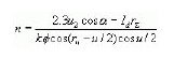
根據同步電動機的轉速公式可知:
式中:n電機的轉速;
u2整流器的輸入電壓;
α整流器的移相控製角;
id直流回路的電流;
r0逆變器的換相超前角即每相電流的起始點相對於(yu) 該相自然換相點的角度;
u逆變器的換流重疊角;
φ氣隙磁通。
轉速n與(yu) 氣隙磁通φ成反比,如果氣隙磁通φ過大,將會(hui) 抑製轉速的上升,使轉速達不到額定值,使並網超時起動失敗。經分析、測試整步並網階段勵磁電流偏大有兩(liang) 個(ge) 主要原因:
l如前所述,當進入整步並網階段時,勵磁的控製方式由恒磁通轉為(wei) 以電網電壓為(wei) 目標調節電機端電壓。其指標是使電動機端電壓u端與(yu) 電網電壓u網的誤差在2%以內(nei) 。當轉速n大於(yu) 95%時由加速階段切換到整步階段,由於(yu) 電壓上升速度遠快於(yu) 轉速上升速度,這樣就導致n約為(wei) 95%時,u端=(100%-2%)u網,也就是氣隙磁通φ偏大,即勵磁電流偏大,而且隻要u端在(100%±2%)u網範圍內(nei) 勵磁電流不再進行調整,最後使n=100%時,電機的端電壓在上限值附近。
2對同步繼電器進行測試發現其電壓幅值匹配明顯不合理,其幅值匹配是1.05u網=u端。加前一因素的影響,使並網電壓幅值控製目標實際是1.07u網=u端,導致勵磁電流過大,其他情況稍有變化,轉速n就達不到額定值,使並網失敗。#p#分頁標題#e#
(3) 對策措施
根據這一情況把同步繼電器的電壓幅值匹配調整為(wei) 0.975u網=u端,整步階段勵磁電流明顯下降,為(wei) 70a到85a之間,消除了並網失敗現象。
4.2 編碼器故障
(1) 故障現象
2001年7月1日,因其它故障導致三燒結1#、2#主排同時停機,主排具備起動條件後,起動1#主排,在起動過程中逆變控製單元mc2315出現“err2”故障(零電流超時),使起動失敗。然後起動2#主排,同樣故障起動失敗。
(2) 故障分析
零電流超時通常是因為(wei) 轉子位置檢測錯誤或mc2315板故障引起的。這裏采用光電編碼器測量轉子位置及轉速,此類裝置耐高溫能力差,由於(yu) 連續高溫天氣,環境溫度過高,持續在65°以上。根據點檢檢查記錄,編碼器信號7、8通道已經不是標準方波,性能顯著劣化。基本可以斷定故障是因為(wei) 編碼器信號紊亂(luan) 引起。由於(yu) 更換編碼器時間較長,可以考慮先冷卻編碼器,觀察使用效果,再決(jue) 定是否更換編碼器。
觸發角取消在同步馬達正常運轉時,編碼器的測速功能,關(guan) 閉編碼器電源。同時改善廠房內(nei) 通風條件,降低環境溫度。延長編碼器壽命。
4.3 晶閘管短路故障
(1) 故障現象
2001年7月某次工事結束,起動1#主排,發現電動機不動,按緊停按鈕終止起動。進行一些檢查後,起動2#主排,故障現象不變。具體(ti) 現象是:電動機勵磁投入後,電動機聲音反應正常(有電流通過)。主回路投入後,電動機聲音反應正常,但不轉動。起動裝置的直流電流顯示與(yu) 設定的440a略有偏差。
(2) 故障分析
起動1#主排電動機不動。造成這種情況的可能原因有:沒有勵磁電流或勵磁電流不足,沒有主回路電流或主回路電流不足,編碼器位置檢測不正確,還有電動機本身問題造成起動力矩不足。
由於(yu) 在曆次及最近的定修中,電動機的機械、電氣參數完全正常,而且又是兩(liang) 台電動機同樣故障,在這裏可以暫不考慮電動機本身。勵磁盤電流顯示正常,電動機的二極管故障沒有報警,勵磁電流投入時電動機聲音正常,可以認為(wei) 勵磁回路正常。
首先更換編碼器,但更換編碼器後起動1#主排故障現象不變,說明與(yu) 編碼器無關(guan) 。電動機電流的聲音反應正常,說明電流確實流過定子線圈。我們(men) 發現三相交流進線電流不平衡。對整流器進行檢查,發現軟起動裝置整流橋中1#晶閘管短路。更換晶閘管,啟動裝置運行正常。#p#分頁標題#e#
對降壓變壓器、晶閘管進行檢查,發現軟起動裝置整流橋1#晶閘管短路,整流橋原理圖如圖2所示。

該裝置中,整流器采用速度、電流雙環控製,沒有直接檢測直流回路的電流,而是通過檢測交流回路的電流來計算直流電流。整流橋晶閘管的工作順序依次是12、23、34、45、56、61,如果1#晶閘管擊穿,在12導通期間,直流回路有電流流過,從(cong) 而在電機的定子線圈中有電流流過。由於(yu) 啟動電流限幅在20%,而電機的速度為(wei) 零,即反電勢為(wei) 零,所以整流器晶閘管觸發角比較大。觸發3#晶閘管時,由於(yu) ab相經由1#、3#晶閘管短路,直流回路沒有電流通過。降壓變壓器短路阻抗很大(8.6%),限製了短路電流;同時,由於(yu) 交流電流增大,係統計算出直流電流反饋增大,控製係統通過調節,及時地調節晶閘管的觸發角,在下一個(ge) 晶閘管觸發時,觸發角很大,限製了交流電流的持續增大,所以相應的晶閘管、快熔沒有發生連鎖反應損壞。由於(yu) 實際流進電機的電流不大,使得電動機不能起動。
(3) 故障教訓
由於(yu) 直流電流表的波動沒有及時觀察到,客觀上加大了故障處理難度。以及由於(yu) 潛意識認為(wei) ,晶閘管短路會(hui) 發生相關(guan) 晶閘管及對應快熔的連鎖反應,使故障擴大化,所以主觀上也沒有重視晶閘管擊穿的可能,也在一定程度上增加了故障處理時間。但實際上由於(yu) 采用了高漏感的專(zhuan) 用變壓器,發生短路事故時,限製了短路電流,同時電流給定隻有額定的20%,限製了α角,也減輕了短路電流的損害。
(4) 對策措施
每次主排起動前,必須測量晶閘管阻值;啟動過程中對三相電流進行監控。
5 結束語
寶鋼三燒結主排氣風機在投產(chan) 初期,起動失敗故障較多,以上是幾個(ge) 比較典型的故障。我們(men) 沒有依賴於(yu) 外方,獨立自主地解決(jue) 係統中存在的問題。除了采取了前述的措施外,還在定修中,按計劃分部對所有的備件進行在線調整試驗,保證完好備件供應,以及熟悉設備性能。在最近三年中,已經沒有發生起動失敗故障。
變頻起動大型同步電動機,起動平穩,對電網也完全沒有衝(chong) 擊,可靠性高,國內(nei) 外已應用得相當廣泛。此類設備的維護、故障處理也成為(wei) 一個(ge) 重要的研究課題,如果方法、措施得當可以有效降低設備維護成本,減少故障時間。
轉載請注明出處。







相關文章
熱門資訊
精彩導讀



















關注我們

