據悉, 斯坦福大學的研究人員表示,他們(men) 已經發明了一種簡單有效的芯片級隔離器,可以鋪在比一張紙薄數百倍的半導體(ti) 材料層中。
激光是一種變革性的技術工具,但一項技術挑戰阻止了它們(men) 的變革性。它們(men) 發出的光可以反射回激光器本身,使激光器不穩定甚至失效。
在實際中,這一挑戰可以通過使用磁性來阻擋有害反射的笨重設備來解決(jue) 。然而,在芯片規模上,工程師們(men) 希望激光有朝一日能改寫(xie) 計算機電路。
在這種背景下,斯坦福大學的研究人員表示,他們(men) 已經發明了一種簡單有效的芯片級隔離器,可以鋪在比一張紙薄數百倍的半導體(ti) 材料層中。
“芯片級別的隔離是光子學中最大的公開挑戰之一,”斯坦福大學電氣工程教授、該研究的資深作者耶琳娜·烏(wu) 科維奇(Jelena vuykovovic)說,該研究本月發表在《自然光子學》(Nature photonics)上。
“每束激光都需要一個(ge) 隔離器來阻止反向反射進入激光並使其不穩定,”Vučković實驗室的博士候選人、該論文的共同第一作者Alexander White評論道,他補充說,該設備對日常計算有影響,但也可能影響下一代技術,如量子計算。

從(cong) 左起,Alexander White, Geun Ho Ahn, and Jelena Vučković與(yu) 納米級隔離器。
小而被動
納米級隔離器很有前景,原因有幾個(ge) 。首先,這個(ge) 隔離器是“被動的”。它不需要外部輸入,不需要複雜的電子器件,也不需要磁性元件——迄今為(wei) 止阻礙芯片級激光器發展的技術挑戰。
這些額外的機製導致器件對於(yu) 集成光子學應用來說過於(yu) 笨重,並可能導致損害芯片上其他組件的電幹擾。
另一個(ge) 優(you) 點是,新的隔離器也是由常見的和眾(zhong) 所周知的半導體(ti) 材料製成,可以使用現有的半導體(ti) 加工技術製造,這可能會(hui) 簡化其大規模生產(chan) 的道路。
新的隔離器的形狀像一個(ge) 環。它是由氮化矽製成的,氮化矽是一種基於(yu) 最常用的半導體(ti) 矽的材料。強的初級激光束進入環,光子開始順時針方向繞環旋轉。與(yu) 此同時,反向反射的光束將以相反的方向被送回環中,以逆時針方向旋轉。
“我們(men) 放入的激光能量循環了很多次,這使我們(men) 能夠在環內(nei) 建立。這種不斷增加的功率改變了較弱的光束,而較強的光束繼續不受影響,”共同第一作者Geun Ho Ahn說,他是研究較弱的光束停止共振的電氣工程博士研究生。“反射光,而且隻有反射光被有效地抵消了。”
然後初級激光退出環,並在所需的方向上被“隔離”。Vučković和他的團隊已經建立了一個(ge) 原型作為(wei) 概念證明,並能夠將兩(liang) 個(ge) 環形隔離器級聯起來以實現更好的性能。

芯片級隔離器的特寫(xie) 。
Nature Photonics發表——芯片級無源光隔離器
摘要:光纖和體(ti) 光隔離器被廣泛應用於(yu) 通過防止不必要的反饋來穩定激光腔。然而,它們(men) 的綜合對應物被采用的速度很慢。雖然已經實現了幾種片上光學隔離策略,但這些策略依賴於(yu) 磁光材料的集成或聲光或電光調製器的高頻調製。在這裏,我們(men) 展示了一種利用環形諧振腔內(nei) 本質非互易的克爾非線性來被動隔離連續波激光器的集成方法。利用氮化矽作為(wei) 模型平台,我們(men) 實現了17-23 dB的單環隔離和1.8 - 5.5 dB的插入損耗,以及35 dB的級聯環隔離和5 dB的插入損耗。利用這些器件,我們(men) 演示了半導體(ti) 激光芯片的混合集成和隔離。
主要
近年來,在芯片上集成高性能光學係統的工作取得了巨大的進展。超低損耗光子平台、非線性光子學和異質材料集成的進步已經實現了完全集成的交鑰匙頻率梳源、具有赫茲(zi) 線寬的片上激光器、每秒太比特(Tbps)的片上通信、片上光學放大器等等。雖然這些係統將繼續改進,但缺乏集成光學隔離限製了它們(men) 的性能。
光隔離器允許光在一個(ge) 方向上傳(chuan) 輸,同時防止在另一個(ge) 方向上傳(chuan) 輸。這種非互反行為(wei) 在光學係統中至關(guan) 重要,可以通過防止不必要的反向反射來穩定激光和降低噪聲。在傳(chuan) 統的光纖和體(ti) 光學係統中,非互反傳(chuan) 輸是通過使用法拉第效應誘導的非互反偏振旋轉來實現的。通過將磁光材料集成到波導中,這種方法可以在芯片上複製。然而,由於(yu) 所需的定製材料製造和缺乏互補金屬氧化物半導體(ti) (CMOS)兼容性,該方法的可擴展性仍然是一個(ge) 重大挑戰。此外,由於(yu) 磁光材料在可見到近紅外(NIR)波長範圍內(nei) 的微弱作用,它們(men) 需要非常強的磁鐵才能運行,因此很難在集成平台上運行。
最近,在集成無磁隔離器方麵取得了顯著進展,使用主動驅動來打破相互作用。這種驅動采用了合成磁鐵、受激布裏淵散射和時空調製的形式。然而,對外部驅動器的要求增加了係統的複雜性,通常需要額外的製造,並消耗功率。此外,大功率射頻驅動器產(chan) 生大量的電磁背景,會(hui) 幹擾光子集成電路中的敏感電子器件和光電檢測。這對這種設備的可伸縮性和采用提出了不可避免的挑戰。因此,為(wei) 了最大限度地提高可擴展性和集成到當前的光子集成電路中,理想的隔離器應該是完全無源和無磁的。
光學非線性是打破互易性的一種有前途的途徑,並且固有地存在於(yu) 最廣泛應用的光子平台中,如氮化矽、矽、磷化镓、鉭、碳化矽和铌酸鋰。不幸的是,由於(yu) 動態互易性,許多使用光學非線性的非互易傳(chuan) 輸建議不能作為(wei) 隔離器。然而,通過仔細選擇操作模式,使用光學非線性進行隔離是可能的,並且已經用離散組件進行了證明。
在這篇文章中,我們(men) 展示了集成連續波隔離器使用克爾效應存在於(yu) 薄膜氮化矽環形諧振器。克爾效應打破了環的順時針和逆時針模式之間的簡並,並允許非互反傳(chuan) 輸。這些設備是完全無源的,除了被隔離的激光之外,不需要任何輸入。因此,唯一的功率開銷是環形諧振器耦合的小插入損耗。此外,許多將受益於(yu) 隔離器的集成光學係統已經具有高質量的氮化矽或相應的組件,並且可以輕鬆地將這種類型的隔離器與(yu) CMOS兼容的製造集成。
通過改變環形諧振器的耦合,我們(men) 可以權衡插入損耗和隔離。作為(wei) 兩(liang) 個(ge) 示例,我們(men) 演示了峰值隔離為(wei) 23 dB、插入損耗為(wei) 4.6 dB的器件和隔離為(wei) 17 dB、插入損耗為(wei) 1.3 dB、光功率為(wei) 90mw的器件。由於(yu) 我們(men) 使用集成光子學平台,我們(men) 可以在同一芯片上重複製造和級聯多個(ge) 隔離器,使我們(men) 能夠演示兩(liang) 個(ge) 級聯隔離器,整體(ti) 隔離比為(wei) 35 dB。最後,我們(men) 將半導體(ti) 激光二極管芯片對接到氮化矽隔離器,並在芯片上演示了係統中的光學隔離。
工作原理
我們(men) 可以用同樣的原理來構造一個(ge) 隔離器。圖1a所示的設置。一個(ge) 強泵浦(紅色)被發送通過環形諧振腔與(yu) 簡並順時針和逆時針共振。該泵加熱環,導致折射率的熱光倒數增加和相應的共振頻率下降。此外,環中的高功率導致順時針模式的SPM和逆時針模式的XPM。這使得逆時針模式的共振位移是順時針泵浦模式的兩(liang) 倍。現在的分裂共振允許在泵浦方向上的近乎統一的傳(chuan) 輸,但實質上減少了在相反方向上的相同頻率的傳(chuan) 輸(藍色)。

圖1:工作原理。a、集成非線性光學隔離器的工作原理示意圖。圖顯示傳(chuan) 輸(T)與(yu) 頻率(ω)。b,隔離器與(yu) 驅動它的激光直接耦合的示意圖,僅(jin) 存在激光(紅色),僅(jin) 存在不必要的後向傳(chuan) 輸(藍色)和具有後向傳(chuan) 輸的激光。當激光打開時,後向傳(chuan) 輸不再共振,激光被隔離。c,氮化矽器件的圖像。比例尺,100 μm。d,理論(虛線)和實驗(藍色數據點)在不同輸入泵功率和最大泵失諧時的反向傳(chuan) 輸,說明了洛倫(lun) 茲(zi) 傳(chuan) 輸形狀。
這種隔離完全是通過環的內(nei) 在非互易性來實現的,因此不需要額外的功率來運行。關(guan) 鍵是,該操作不受動態互易性的影響。當backwards-propagating信號在頻率相同的泵,動態對等並不適用,當一個(ge) 信號以不同的頻率的泵,互惠但接近於(yu) 零傳(chuan) 動。此外,重要的是要注意,這種隔離率適用不僅(jin) 對backwards-propagating信號與(yu) 權力泵相比非常小,但即使是相稱的向後信號和比泵。當環內(nei) 已經有泵浦功率循環時,反向波與(yu) 腔體(ti) 不共振。因此,消除模式分裂所需的輸入功率實際上比泵浦的功率高許多倍。
由於(yu) 這種類型的隔離器需要連續的泵浦功率(可以是連續波泵浦,也可以是在環自由光譜範圍內(nei) 脈衝(chong) 的泵浦),但不需要額外的驅動或調製,因此它是直接隔離激光輸出的理想選擇(圖1b)。激光本身作為(wei) 隔離的唯一驅動器,並且該設備不產(chan) 生功耗,僅(jin) 在穿越環時的插入損耗很小。不需要強磁場、有源光調製或大功率射頻驅動器,設備操作不局限於(yu) 單個(ge) 光子平台或波長範圍。
設備集成與(yu) 測量
為(wei) 了測量這些設備的隔離性,我們(men) 使用圖2a所示的泵-探頭設置。由於(yu) 泵浦和探頭來自同一激光器,因此它們(men) 具有相同的光學頻率。對於(yu) 第一組測量,如圖2b,c所示,泵浦和探頭波長掃描環共振。在圖2d中,泵保持固定。我們(men) 通過環發送一個(ge) 大功率泵,同時調製並向相反方向發送一個(ge) 低功率探頭。然後我們(men) 掃描泵浦和探測共振和讀取反向傳(chuan) 輸使用鎖相放大器。在掃描過程中,泵熱拉環,直到環在共振峰值時解鎖。當激光接近環的頻率時,更多的光功率耦合到共振中。由於(yu) 一個(ge) 小的線性材料吸收,這使環加熱,使共振遠離激光。這一直持續到激光頻率匹配共振,並最大限度地耦合到環。一旦激光失諧超過這一點,環中的功率就會(hui) 開始下降,使環冷卻並坍縮到原來的共振位置。通過監測諧振峰值處的探頭傳(chuan) 輸,我們(men) 可以獲得隔離的直接測量。此外,通過改變泵浦功率,我們(men) 可以測量功率相關(guan) 的隔離(圖2b,c)。隨著泵浦功率的增加,峰值隔離被紅移,並按洛倫(lun) 茲(zi) 量縮放。我們(men) 發現,我們(men) 的測量結果(圖2b)與(yu) 一個(ge) 具有洛倫(lun) 茲(zi) 功率依賴隔離的熱拉環的簡單模型(圖2b,插圖)的預期傳(chuan) 輸之間非常一致。

圖2:隔離測量。a,表征非線性光學隔離器的測量裝置示意圖。EDFA,摻鉺光纖放大器;EOM,電光調製器。PC,偏振控製器;LO, 90千赫電子振蕩器。b,依賴泵功率的向後傳(chuan) 輸測量。插圖:理論泵功率依賴關(guan) 係。插圖中的線條顏色與(yu) 主麵板中的顏色相對應。c,相應的理論(虛線)和實驗(藍色數據點)器件隔離。數據點顏色對應於(yu) b. d中使用的顏色,隨著泵功率的增加(0 mW, 40 mW, 80 mW)脈衝(chong) 向後傳(chuan) 輸測量。插圖顯示了虛線框中繪圖部分的放大圖。e,反向傳(chuan) 輸的理論(虛線)和實驗(藍色數據點)頻率依賴關(guan) 係。在這裏,探頭被EOM分割成兩(liang) 個(ge) 邊帶,這種邊帶分離用頻率合成器進行掃頻。正如預期的那樣,向後頻率響應與(yu) 泵功率成比例地移位。
我們(men) 還用靜態泵頻驗證了隔離器的運行。環仍然鎖定在激光上,我們(men) 可以通過發送與(yu) 泵浦頻率相同的光脈衝(chong) 直接測量設備的向後傳(chuan) 輸(圖2d)。在這裏,諧振器鎖定是通過調諧激光頻率來啟動的,但這也可以通過熱調諧環來實現。由於(yu) 最大傳(chuan) 輸和隔離發生在共振的峰值,此時共振不再跟隨激光,鎖定可能會(hui) 受到環境溫度變化的幹擾。這可以通過環的熱穩定來緩解。然而,巨大的熱拉量允許在激光失諧方麵有足夠的開銷:對於(yu) 這個(ge) 在90 mw輸入功率下的器件,從(cong) 解鎖點開始的1 ghz失諧隻對應於(yu) 隔離降低0.3 db,插入損耗增加0.15 db。正因為(wei) 如此,我們(men) 能夠在接近最大傳(chuan) 輸的情況下工作,而不需要對光子隔離器芯片進行任何溫度控製,並在實驗期間保持穩定鎖定。
最後,利用電光調製器(EOM)對探頭進行調製,測量隔振器的頻率響應。這就產(chan) 生了我們(men) 可以掃過共振的邊帶。由於(yu) 隻有紅移邊帶會(hui) 與(yu) 紅移後向共振共振,我們(men) 可以掃描邊帶頻率來繪製頻率響應(圖2e)。
為(wei) 了在實驗上探究這種權衡,我們(men) 製作了一個(ge) 由16個(ge) 不同耦合強度和耦合不對稱的空氣包層氮化矽隔離器組成的陣列(圖3b,c)。我們(men) 發現這些器件的內(nei) 在質量因子約為(wei) 500萬(wan) 。正如預期的那樣,耦合越弱、越不對稱的器件具有更高的隔離性,但也有更高的插入損耗。我們(men) 重點介紹了其中兩(liang) 種器件的性能——一種器件的插入損耗為(wei) 1.8 db,隔離閾值為(wei) 12.9 mW,另一種器件的插入損耗為(wei) 5.5 db,隔離閾值為(wei) 6.5 mW(圖3d)。這些器件在90 mW時分別顯示出16.6 dB和23.4 dB的峰值隔離。

圖3:性能優(you) 化。a,隔離器環示意圖,說明關(guan) 鍵參數:κ1, κ2和γ -輸入耦合率,輸出耦合率和固有損耗率。b,熱圖顯示不同偶聯率下的插入損失和峰值隔離。色條限製由每個(ge) 圖的最小值和最大值設定(白色:1.0 db插入損耗,3.3 db峰值隔離;深藍色:10.1 db插入損耗,23.4 db峰值隔離)。表現良好的參數用藍色、綠色和橙色圓圈突出顯示。c, b的隔離和插入損失的相關(guan) 性d,三個(ge) 突出顯示環的泵功率依賴隔離。
由於(yu) 這些隔離器是集成的,並且可以具有低插入損耗,因此可以在同一芯片上製造和級聯多個(ge) 器件,從(cong) 而實現隔離的指數級增強(圖4a)。為(wei) 了驗證這一點,我們(men) 製造了兩(liang) 個(ge) 環,第二個(ge) 環與(yu) 第一個(ge) 環有輕微的紅失諧。這允許熱位移使兩(liang) 個(ge) 環發生共振並鎖定在那裏。在給定的泵功率下,當第二個(ge) 環被單環插入損失乘以第一個(ge) 環的熱牽拉(補充第8節)紅失失調時,隔離最大化,整體(ti) 插入損失最小化。為(wei) 了表征級聯環的隔離,我們(men) 首先測量單個(ge) 環的功率依賴性隔離(圖4c),使用與(yu) 圖2a相同的泵-探頭測量。然後,我們(men) 對兩(liang) 個(ge) 級聯環重複此測量,其中一個(ge) 與(yu) 第二個(ge) 環略有紅失諧。這些結果如圖4d,e所示。級聯環的乘法效應使我們(men) 能夠實現35db的隔離,插入損耗為(wei) ~ 5db。

圖4:隔離級聯。a,級聯隔離環示意圖。b,製造的級聯隔離環的光學顯微照片。比例尺,200 μm。c,理論(虛線)和實驗(藍色數據點)功率相關(guan) 的單環隔離。d、級聯隔離環與(yu) 110mw泵正向和反向傳(chuan) 輸。e,理論(虛線)和實驗(藍色數據點)級聯環的功率依賴隔離。理論擬合是通過將單個(ge) 環的隔離比乘以從(cong) 第一個(ge) 環紅移的第二個(ge) 環來計算的。測量從(cong) 40mw開始,因為(wei) 需要這麽(me) 多的泵浦功率來重疊兩(liang) 個(ge) 環共振。
最後,我們(men) 使用分布式反饋(DFB)激光芯片演示隔離(圖5a)。為(wei) 了最大化芯片上的泵浦功率,我們(men) 使用氧化物包層的倒錐來匹配激光的輸出模式,將DFB激光器耦合到芯片上。我們(men) 首先通過將DFB激光耦合到透鏡光纖並執行泵浦探針測量來表征隔離,如圖2a所示。為(wei) 了使DFB激光在環形共振中調諧,我們(men) 使用珀爾蒂爾器件和熱敏電阻進行反饋來調節其溫度。我們(men) 觀察到在65 mw輸入功率下,隔離度高達13.6 dB(圖5b),由於(yu) Q因子的小幅降低,隔離度略低於(yu) 以前。然後我們(men) 直接將DFB激光器和隔離器對接,並將環熱鎖定到激光上。為(wei) 了驗證其隔離性,我們(men) 使用二次激光向後通過設備發送脈衝(chong) ,並測量它們(men) 的傳(chuan) 輸(圖5c,d)。為(wei) 了確保二次激光與(yu) DFB頻率相同,我們(men) 在光電二極管上混合激光輸出。

圖5:DFB混合積分。a, DFB激光器與(yu) 隔離器混合集成的光學圖像。b,用放大DFB激光器測量的功率依賴隔離。藍色數據點表示測量結果,虛線表示理論擬合。c,混合集成dfb隔離器操作直接測量的實驗測量裝置示意圖。d,直接耦合DFB激光器開啟和關(guan) 閉後向脈衝(chong) 傳(chuan) 輸。
結論
我們(men) 已經演示了利用完全被動的克爾效應的片上光學隔離器。通過調整耦合參數,我們(men) 在插入損耗和隔離之間進行了權衡,演示了插入損耗僅(jin) 為(wei) 1.8 dB,隔離為(wei) 17 dB的器件,單環隔離高達23 dB。由於(yu) 這些隔離器的集成性質,它們(men) 可以很容易地級聯以提高性能。通過級聯兩(liang) 個(ge) 環,我們(men) 實現了35db的隔離和5db的插入損耗。最後,我們(men) 演示了該器件用於(yu) 隔離邊緣耦合DFB激光芯片的輸出。
由於(yu) 這些設備是完全無源和無磁的,它們(men) 不需要外部驅動器,並且可以在不產(chan) 生任何電磁幹擾或磁場背景的情況下運行。盡管如此,它們(men) 的性能仍然與(yu) 最先進的有源和磁性集成隔離器具有競爭(zheng) 力。此外,來自商業(ye) 代工廠的更好控製的製造將允許更高的質量因子,並實現兩(liang) 個(ge) 以上環的級聯,將20 dB隔離的功率閾值降低到2 mW以下,可實現的隔離超過70 dB。由於(yu) 許多混合和異質集成光學係統已經在克爾材料中包含高質量的光子學,這種類型的隔離器可以立即納入最先進的集成光子學。

圖S1:a.線性濾波器寬帶隔離原理圖。紅色為(wei) 泵,綠色為(wei) 泵的反向傳(chuan) 播信號簡並,藍色為(wei) 隔離器的反向諧振的反向傳(chuan) 播信號。b.係統頻率響應。線性濾波器傳(chuan) 輸泵和阻擋光的傳(chuan) 輸,可以通過隔離器在XPM共振。c.通過設計線性濾波器,使其具有不是隔離器FSR倍數的FSR(自由光譜範圍),可以實現超寬帶隔離。

圖S2:隔離器分散。測量環形諧振腔模式的綜合色散。基本模式顯示在插圖中,圖中深藍色部分保持正常色散,允許高功率輸入泵沒有偽(wei) OPO。兩(liang) 個(ge) 高階模的色散用淺藍色表示。該環的FSR為(wei) 240.5 GHz。

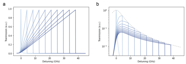
圖S3:隔離器模型。a.熱拉隔離環正向傳(chuan) 動。藍色越深,輸入功率越高。b.熱拉隔離環反向傳(chuan) 動。深藍色代表更高的泵功率。由於(yu) 失諧隨輸入功率的增加而增加,我們(men) 期望看到在每個(ge) 功率級別上具有最大失諧的洛倫(lun) 茲(zi) 傳(chuan) 輸,如虛線所示。

圖S4:實驗比較。左圖為(wei) 理論反向傳(chuan) 輸曲線,右圖為(wei) 相應實驗圖。上一行顯示了功率依賴的反向傳(chuan) 輸(以dB為(wei) 單位)。下一行顯示堆疊的反向傳(chuan) 輸軌跡。右下角插圖顯示提取的功率相關(guan) 隔離擬合與(yu) 左下角圖中相同的理論曲線。
文章來源:
https://optics.org/news/13/12/5
https://www.nature.com/articles/s41566-022-01110-y
轉載請注明出處。







相關文章
熱門資訊
精彩導讀



















關注我們

